БОЛЬШАЯ  СОВЕТСКАЯ  ЭНЦИКЛОПЕДИЯ
В ЭНЦИКЛОПЕДИИ СОДЕРЖИТСЯ БОЛЕЕ 100000 ТЕРМИНОВ

А Б В Г Д Е Ж З И Й К Л М Н О П Р С Т У Ф Х Ц Ч Ш Щ Э Ю Я



ГИПЕРИОН-ГИПСОВЫЕ

ГИПЕРИОН (греч. Hyperion), спутник планеты Сатурн. Диаметр ок. 500 км, расстояние от Сатурна 1 480 000 км. Открыт в 1848 Дж. Бондом. См. Спутники планет.

ГИПЕРКАПНИЯ (от гипер... к греч. kapnps - дым), повышенное парциальное давление (и содержание) CO2 в артериальной крови (и в организме). Встречается при недостаточности внеш. дыхания различного происхождения, при асфиксии (удушье), при избытке CO2 в окружающей среде.

ГИПЕРКЕРАТОЗ (от гипер.... и греч. keras, род. падеж keratos - рог, роговое вещество), чрезмерное развитие рогового слоя кожи человека. Г. может быть вызван внешними (длит, давление, трение, действие смазочных масел и т. п.) и внутренними (нарушение функции эндокринных желез, гиповитаминоз А, проф. интоксикации) факторами. Г. проявляется образованием роговых пластинок, различной величины узелков, выступов, шипов; кожа становится сухой, потоотделение уменьшается. Г. может сопровождаться образованием болезненных трещин (ладони, подошвы). Г. бывает ограниченным (мозоли, бородавки, кера-трмы) и диффузным, распространяющимся на большие поверхности или весь кожный покров (ихтиоз). Лечение: содовые или мыльные ванны, витаминотерапия, растворяющие роговое вещество леч. средства.

ГИПЕРКИНЕЗ (от гипер... и греч. kinesis - движение), чрезмерные насильственные непроизвольные движения, появляющиеся при органич. и функциональных поражениях нервной системы. Г. возникают обычно при поражениях коры головного мозга, подкорковых дви-гат. центров или стволовой части мозга. К Г. относят атетоз, хорею, дрожат, паралич, миоклонию (короткое вздрагивание мышцы или мышечного пучка с молниеносным темпом сокращения) и др.

ГИПЕРКОМПЛЕКСНЫЕ ЧИСЛА, обобщение понятия о числе, более широкое, чем обычные комплексные числа. Смысл обобщения состоит в том, чтобы обычные арифметич. действия над такими числами одновременно выражали нек-рые геометрич. процессы в многомерном пространстве или давали количеств, описание к.-л. физич. законов. При попытках построить числа, к-рые играли бы для 3-мерного пространства ту же роль, какую играют комплексные числа для плоскости, выяснилось, что здесь не может быть полной аналогии; это привело к созданию и развитию систем Г. ч.

Г. ч. представляют собой линейные комбинации (с действит. коэффициентами x1, x2, ..., xn) нек-рой системы е1, е2, ...,еn "базисных единиц":

подобно тому, как комплексные числа x + iy являются линейными комбинациями двух "базисных единиц": действит. единицы 1 и мнимой единицы г. Для того чтобы использовать Г. ч., надо в первую очередь установить правила арифметич. действий над ними. Сложение и вычитание Г. ч., очевидно, получают однозначное определение, если для новых чисел сохранить обычные правила арифметики; именно, компоненты x1, x2, ..., Xn "базисных единиц" должны соответственно складываться или вычитаться. Истинное значение проблемы отчётливо выступает только при установлении правила умножения; для установления почленного перемножения Г. ч. вида (*) приходят к необходимости установить значения n2 произведений eiеk (i = 1, 2, ..., n; k = l, 2, ..., n). Задача состоит в том, чтобы этим произведениям приписать значения вида (*), сохраняющие в силе все обычные правила арифметич. операций. Этому требованию удовлетворяет (кроме простейшего случая действительных чисел) единственная система Г. ч.- система комплексных чисел. При установлении же всякой другой системы Г. ч. необходимо отказаться от того или иного правила арифметики; обычно такими правилами, терпящими нарушение, оказываются: однозначность результата деления; переместительность умножения; правило, в силу к-рого равенство нулю произведения двух чисел влечёт за собой обращение в нуль, по крайней мере, одного из сомножителей, и т. п. Важнейшая система Г. ч. - кватернионы - получается при отказе от коммутативности (переместительности) умножения и сохранения остальных свойств сложения и умножения.

Лит.: Математика, ее содержание, методы и значение, т. 3, M., 1956, гл. 20.

ГИПЕРМЕТАМОРФОЗ (от гипер... и греч. metamorphosis - превращение), сложный способ развития нек-рых насекомых (нарывников, веероносцев и нек-рых др. жуков, веерокрылых, сет-чатокрылых, мух-жужжал' и нек-рых перепончатокрылых), при к-ром строение и образ жизни личинок разных возрастов резко различаются. В первом возрасте личинки активно передвигаются, расселяются, но не питаются. Питающиеся личинки старших возрастов обитают в спе-цифич. среде (в теле насекомого-хозяина при паразитизме, в запасах пищи пчёл и т. д.). Иногда переход от одной активной формы к следующей требует перестройки, при к-рой личинка не питается и неподвижна (ложнокуколка, аналогичная куколке). М. С. Гиляров.

ГИПЕРМЕТРОПИЯ (от гипер... и Греч, metron - мера и ops, род. падеж opos- глаз), нарушение зрения; то же, что дальнозоркость.

ГИПЕРМОРФОЗ (от гипер... и греч. morphe - вид, форма), гипертелия, сверхспециализация, тип филогенетич. развития, ведущий к нарушению отношений организма со средой вследствие гипертрофии отд. органов (напр., клыков у ископаемого саблезубого тигра - махайрода, рогов у гигантского оленя, клыков у совр. кабана - бабируссы и т. п.). Частный случай Г.- общее увеличение размеров тела, ведущее к нарушению корреляций отд. органов. Г.- показатель отставания эволюции организма от изменений условий существования; при значит, проявлении ведёт к вымиранию.

Лит.: Шмальгаузен И. И., Пути и закономерности эволюционного процесса, М. -Л., 1940.

ГИПЕРНЕФРОМА (от гипер... и греч. nephros - почка и -ота - окончание в названиях опухолей), опухоль, развивающаяся из клеток коры надпочечников (истинная Г.) или эпителия почечных канальцев (см. Почки). Истинная Г. обычно доброкачественная, проявляется извращением вторичных половых признаков (гирсутизм, вирилизм и др.), гипертонией и повышением темп-ры тела, у детей - преждевременной половой зрелостью. Лечение хирургическое. Г. почки, опухоль Граница, почечноклеточный рак - зло-качеств, опухоль, исходящая из эпителия почки. Впервые описана нем. патологом П. А. Гравицем в 1883. Встречается чаще у мужчин в возрасте 40- 60 лет. Лечение хирургическое.

Лит.: Шапиро И. Н., Опухоли почек, лоханок и мочеточников, в кн.: Многотомное руководство по хирургии, отв. ред. Б. В.Петровский, т. 9, М., 1959.

В. М. Вертепова, В. Г. Цомык.

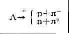
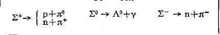
ГИПЕРОНЫ (от греч. hyper - сверх, выше), тяжёлые нестабильные элементарные частицы с массой, большей массы нуклона (протона и нейтрона), обладающие барионным зарядом и большим временем жизни по сравнению с "ядерным временем" Известно несколько типов Г.: лямбда

омега [значки-, О, + справа сверху у символа частиц означают соответственно отрицательно заряженную, нейтральную и положительно заряженную частицы]. Все Г. имеют спин 1/2, кроме , спин к-рого, согласно теоретич. представлениям, должен быть равен 3/2 (т. е. Г. являются фермионалш). Г. участвуют в сильных взаимодействиях, т. е. принадлежат к классу адронов. Время жизни Г. порядка 10-10 сек (за исключением к-рый, по-видимому, имеет время жизни порядка 10-20 сек); за это время они распадаются на нуклоны и лёгкие частицы (я-мезоны, электроны, нейтрино).

Г. были открыты в космических лучах англ, физиками Рочестером и Бат-лером в 1947, однако убедит, доказательства существования Г. были получены к 1951. Детальное и систематич. изучение Г. стало возможным после того, как их начали получать на ускорителях заряженных частиц высокой энергии при столк новениях быстрых нуклонов, я-мезонов и К-мезонов с нуклонами атомных ядер. Открытие Г. существенно расширило физич. представления об элементарных частицах, поскольку были впервые открыты частицы с массой, большей нуклонной, и установлена новая важнейшая характеристика элементарных частиц - странность. Введение странности понадобилось для объяснения ряда парадоксальных (с точки зрения существовавших представлений) свойств Г. Интенсивное рождение Г. при столкновении адронов высокой энергии с несомненностью свидетельствовало о том, что они обладают сильным взаимодействием. С другой стороны, если бы распад Г. вызывался сильным взаимодействием, их время жизни должно было бы составлять по порядку величины 10-23 сек, что в 1013 раз (на 13 порядков) меньше установленного на опыте. Время жизни Г. можно объяснить, если считать, что их распад происходит за счёт слабого взаимодействия, относит, интенсивность к-рого в этой области энергий как раз на 12-14 порядков меньше сильного (а следователь но, время распада во столько же раз больше). Парадоксом казалось то, что частицы, обладающие сильным взаимодействием, не могут распадаться с помощью этого взаимодействия.

Важное значение для разрешения этого парадокса имел тот факт, что при столкновении я-мезонов и нуклонов с нуклонами Г. всегда рождаются совместно с К-мезонами (рис. 1), в поведении которых обнаруживаются те же странности, что и у Г. Особенности поведения Г. и К-мезонов были объяснены в 1955 Гелл-Маном и Нишиджимой существованием особой характеристики адронов - странности (S), к-рая сохраняется в процессах сильного и электромагнитного взаимодействий. Если приписать - и-мезонам странность S = + 1, а .- равное по величине и противоположное по знаку значение странности, S --1, и считать странность я-мезонов и нуклонов равной нулю, то сохранение суммарной странности частиц в сильных взаимодействиях объясняет и совместное рождение с К-мезонами, и невозможность распада частиц с неравной нулю странностью (такие частицы получили название странных частиц) с помощью сильных взаимодействий на частицы с нулевой странностью. При этом , к-рые рождаются совместно с двумя К-мезонами, следует приписать S = -2, а - странность S = -3. Распады Г. указывают на то, что процессы, обусловленные слабыми взаимодействиями, протекают с изменением странности. Рис. 2 иллюстрирует процессы сильного и слабого взаимодействия Г.

Согласно совр. теории элементарных частиц, каждому Г. должна соответствовать античастица, отличающаяся от своего Г. знаком электрического и барион-ного зарядов и странности. Все антигипе-роны наблюдались на опыте; последним был открыт (1971) антиомега-Г. , или (рис. 3).

Сильное взаимодействие Г. Помимо сохранения странности, сильные взаимодействия Г. обладают определ. симметрией, наз. изотопической инвариантностью. Эта симметрия была установлена ранее для нуклонов и -мезонов и проявляется в том, что частицы группируются в нек-рые семейства - изотопические мультиплеты [(р, n) и , где р означает протон, а n - нейтрон]. Частицы, входящие в опре дел. изотопич. мультиплет, одинаково участвуют в сильном взаимодействии, имеют почти равные массы и отличаются лишь электромагнитными характеристиками (электрич. зарядами, магнитными моментами). Число частиц в изотопич. мультиплете характеризуется специальным квантовым числом - изотопическим спином I и равно 2I + 1. Г. образуют 4 изотопич. мультиплета (см. табл.).

Предположение о существовании изотопич. мультиплетов Г. позволило Гелл-Ману и Нишиджиме предсказать существование до их экспериментального открытия.

по ряду своих свойств аналогичны нуклонам. Эта аналогия послужила исходным пунктом в поисках симметрии сильных взаимодействий, более широкой, чем изотопич. инвариантность. Наибольший успех при этом имела т. н. унитарная симметрия (SU3-симметрия), на основе к-рой была создана систематика адронов. С помощью этой симметрии удалось, напр., предсказать существование и свойства (см. Элементарные частицы).

Распады Г. Основные способы распада Г. указаны в табл. Распады Г. подчиняются след, закономерностям: 1) S = = 1 - странность изменяется по абс. величине на единицу; исключение составляет распад на и фотон, протекающий за счёт электромагнитного взаимодействия (отсюда и время жизни должно быть~ 10-20 сек, а не 10-10 сек) и поэтому не сопровождающийся изменением странности. Этот закон запрещает прямой распад. на нуклон и л-мезоны, т. к. при таком распаде странность изменилась бы на две единицы. Распад происходит в два этапа: ; (где N означает нуклон). Поэтому . называют каскадным. Каскадные распады претерпевают также

2) Q= S - в распадах с испусканием лептонов изменение заряда Q адронов равно изменению странности S. Этот закон запрещает, напр., распад ( - положит, мюон, - нейтрино).

3) - изотопич. спин меняется на 1/2. Это правило позволяет объяснить соотношения между вероятностями различных наблюдаемых способов распада Г.

При взаимодействии быстрых частиц с ядрами могут возникать гипер-ядра, в к-рых один или несколько нуклонов в результате сильного взаимодействия превратились в Г.

Лит.: Гелл-Манн M., Розенбаум П. E., Элементарные частицы, в кн.: Элементарные частицы, пер. с англ., M., 1963 (Над чем думают физики, в. 2); Эдер P. К., Фаулер Э. К., Странные частицы, пер. с англ., M., 1966; Фриш Д., Торндайк А., Элементарные частицы, пер. с англ., M., 1966. Л. Г. Ландсберг.


Таблица гиперонов
А-гиперон (синглет)
S-гиперон (триплет)
3-гиперон (дублет)
Q-пшерон (синглет)
Состав изотопического мультиплета
Масса , Мэв
1115,6
1314,7 1321,3
1672,4
Изотопический спин I
0
1
1/2
0
Странность S
-1
-1
-2
-3
Время жизни, сек
2,52*10-10
0, 80*10-10 по теоретич. 1,49*10-10 оценкам 10-20
3,03*10-10 1,66*10-10
1 ,3*10-10
Основные схемы распада*
* В таблице не указаны распады гиперонов с испусканием лептонов; они составляют по порядку величины доли процента от основных способов распада.



ГИПЕРОСМИЯ (от гипер... и греч. osme - запах, обоняние), повышенная чувствительность к запахам. Может возникать при беременности и нек-рых др. состояниях.


ГИПЕРПАРАТИРЕОЗ [от гипер... и лат. (glandula) parathyreoidea - околощитовидная железа], заболевание, обусловленное избыточной продукцией гормона околощитовидных желез (паратгор-мона); обычно наблюдается при аденоме (опухоли) этих желез. Избыток парат-гормона мобилизует содержащийся в костях кальций, повышает его уровень в крови и снижает уровень фосфора; повышает количество кальция и фосфора в выделяемой моче. В результате происходят размягчение, деформации костей и их самопроизвольные или вызванные миним. травмой переломы. Висцеропа-тич. формы Г. характеризуются отложением кальция во внутр. органах; наиболее распространена почечная форма (образование камней в почках и мочевыводя-щих путях). Причины, вызывающие образование аденом околощитовидных желез, неизвестны. Чаще Г. поражает женщин. Лечение: удаление опухоли; при костных формах - ортопедич. лечение, при почечнокаменной болезни- удаление камней. Л.М.Гольбер

ГИПЕРПИТУИТАРИЗМ [от гипер... и лат. (glandula) pituitaria - гипофиз], повышение всех или отдельных внутрисекреторных функций гипофиза. Проявляется расстройствами роста и развития организма (гигантизм, акромегалия, нарушения половой функции). Г. может возникнуть при опухолях гипофиза, разрастании его ткани, а также при беременности. Лечение: гормонотерапия; в нек-рых случаях - лучевое лечение, хирургич. операция.

ГИПЕРПЛАЗИЯ (от гипер... и греч. plasis - создание, образование), увеличение числа структурных элементов тканей и органов. У человека и животных в основе Г. лежат усиленное размножение клеток и образование новых структур. Г. наблюдается при разнообразных патологич. разрастаниях тканей (хронич. продуктивное воспаление, опухоль), при регенерации и гипертрофии. Часто Г. носит компенсаторный характер. Г. у растений - местное разрастание тканей в результате митотиче-ского или амитотического деления клеток: возникает при поражении вредителями, возбудителями болезней, при травмах, воздействии стимуляторов роста, ядохимикатов и др. препаратов. Результат Г.- образование галлов, каллю-сов, капов и т. п.

ГИПЕРПОВЕРХНОСТЬ, обобщение понятия обычной поверхности 3-мерного пространства на случай w-мерного пространства. Обычно Г. задаётся одним ур-нием F(XI, ..., Хп) = 0 между координатами. Если в евклидовом n-мерном пространстве Г. задаётся одним линейным ур-нием, то она наз. гиперплоскостью.


ГИПЕРСЕНСИБИЛИЗАЦИЯ (от гипер... и лат. sensibilis-чувствительный, заметный), метод повышения светочувствительности галоидосеребряного фотогра-фич. материала путём промывания его в воде, в водном или водно-аммиачном растворе азотнокислого серебра или растворе триэтаноламина. С помощью Г. чувствительность можно повысить в несколько раз, особенно в случае инфрахромати-ческих материалов. Однако возможности Г. довольно ограничены, в частности потому, что она должна производиться непосредственно перед фотографич. съёмкой. Эффект Г. проявляется в большей мере в области добавочной чувствительности фотографич. материала (обусловленной наличием в эмульсии молекул красителя-сенсибилизатора; см. Сенсибилизация оптическая), нежели в области его собственной чувствительности (обусловленной свойствами самого галоидного серебра), а также при больших выдержках и низких освещённо-стях на слое. Природа Г. заключается, во-первых, в уменьшении концентрации в эмульсионном слое ионов брома, к-рые уменьшают светочувствительность слоя, но усиливают избират. действие проявителя, и, во-вторых, в удалении с поверхности кристаллов галоидного серебра адсорбированных им окисленных молекул красителя-сенсибилизатора.

Ю. Н. Гороховский.

ГИПЕРСОМНИЯ (от гипер... и лат. somnus-сон), повышенная сонливость. Различают пароксизмальную и перманентную Г. Для

пароксизмальной Г. характерны приступы непреодолимого сна в дневное время, в неадекватной обстановке продолжительностью от неск. мин (нарколепсия) до неск. сут (периодич. спячка). При нарколепсии часты нарушения ночного сна и приступы внезапной мышечной слабости при различных эмоциях (катаплексия). Перманентная Г., встречающаяся при нейроинфекциях, нарушениях мозгового кровообращения, опухолевых процессах, проявляется постоянной сонливостью с засыпанием в естественных, привычных условиях. В отличие от нек-рых форм пароксизмаль-ных Г., страдающих перманентной Г. обычно нетрудно разбудить, но предоставленные самим себе, они скоро вновь засыпают. В основе всех Г. лежит нарушение функционирования мозговой системы бодрствование - сон. Наряду со снижением бодрствования большую роль играет нарушение регулирования фаз быстрого, десинхронизированного и медленного, синхронизированного сна.

Лечение проводят в зависимости от формы Г.: при нарколепсии - стимуляторы нервной системы; при периодич. спячке и др. сходных с нею формах - общеукрепляющая терапия, контроль за функциями дыхания и кровообращения; при перманентной Г.- устранение вызвавших её причин. Н. Н. Яхно.

ГИПЕРСТЕН (от гипер... и греч. sthe-nos - сила, крепость), минерал из группы пироксенов (Fe, Mg)2 [Si2O6], содержит больше 14% FeO. Кристаллизуется в ромбич. системе, кристаллы призматические. Цвет тёмно-зелёный до буровато-чёрного. Тв. по минералогич. шкале 5-6; плотность 3300-3500 кг/л3. Породообразующий минерал осн. извер-женных горных пород.

ГИПЕРТЕЛИЯ (от гипер... и греч. te-los - цель, предел), сверхспециализация, переразвитие, тип филогенетического развития; то же, что гиперморфоз.

ГИПЕРТЕРМИЯ (от гипер... и греч. therme - тепло), перегревание, накопление избыточного тепла в организме человека и животных с повышением темп-ры тела, вызванное внеш. факторами, затрудняющими теплоотдачу во внеш. среду или увеличивающими поступление тепла извне. Г. возникает при макс, напряжении физиол. механизмов терморегуляции (потоотделение, расширение кожных сосудов и др.) и, если вовремя не устранены вызывающие её причины, неуклонно прогрессирует, заканчиваясь при темп-ре тела ок. 41-42;С тепловым ударом. Г. сопровождается повышением и качественными нарушениями обмена веществ, потерей воды и солей, нарушением кровообращения и доставки кислорода к мозгу, вызывающими возбуждение, иногда судороги и обмороки. Высокая темп-pa при Г. переносится тяжелее, чем при мн. лихорадочных заболеваниях. Развитию Г. способствуют повышение теплопродукции (напр., при мышечной работе), нарушение механизмов терморегуляции (наркоз, опьянение, нек-рые заболевания), их возрастная слабость (у детей первых лет жизни). Искусств. Г. применяется при лечении нек-рых нервных и вяло текущих хронич. заболеваний. См. Перегревание организма.

П. Н. Весёлкин.

ГИПЕРТИРЕОЗ [от гипер... и лат. (glandula) thyreoidea - щитовидная железа], повышение функции щитовидной железы. Г.- одно из проявлений зоба диффузного токсического. Т. возникает обычно в результате психич. травмы, иногда при различных заболеваниях и состояниях (туберкулёз, ревматизм, беременность и др.), реже вследствие перенесённой инфекции. Проявляется повышенной возбудимостью нервной системы, усилением рефлексов, лёгкой психич. возбудимостью, быстрой утомляемостью, учащением пульса, дрожанием рук, потливостью, повышением осн. обмена веществ, похуданием. Г. часто сочетается с расстройствами функций др. желез внутренней секреции. Лечение: средства, успокаивающие нервную систему, микродозы иода и др.

Л. М. Гольбер.

ГИПЕРТОНИЧЕСКАЯ БОЛЕЗНЬ, заболевание сердечно-сосудистой системы, главным проявлением к-рого является повышение кровяного давления. Впервые Г. б. была описана сов. учёным Г. Ф. Лангом в 1922. Причины возникновения Г. б. до конца ещё не выяснены. Существуют две точки зрения на её возникновение. Первая исходит из ведущей роли нарушения нервной регуляции сосудистого тонуса на фоне ряда факторов, предрасполагающих к возникновению Г. б. Это - наследственная недостаточность гормональных механизмов, регулирующих состояние сосудистой системы; перенесённые в прошлом заболевания почек, обусловливающие нарушение кровообращения в них, возрастные изменения сосудов (особенно головного мозга и почек); эндокринные нарушения при климаксе.

Нервно-психич. напряжение, хронич. переутомление, не вызывающие в случае устойчивости гуморальных механизмов к.-л. патологич. изменений, при наличии предрасполагающих факторов приводят к спазму артериол и повышению кровяного давления. Повышение тонуса мышц кровеносных сосудов (артериол), с чем связан подъём кровяного давления, происходит в связи с активизацией системы ренин - гипертензин (группа биологически активных веществ, взаимодействие между к-рыми обусловливает повышение кровяного давления), повышением содержания в крови гормона альдостерона, изменением обмена натрия, изменением кровообращения в головном мозге, в почке и т. д. Все эти изменения связаны с нарушением нервной регуляции указанных процессов.

Вторая точка зрения исходит из положения о роли прессорного (повышающего кровяное давление) и депрессорного факторов почки в повышении артериального кровяного давления. Почка содержит в себе т. н. юкста-гломерулярный аппарат, обусловливающий выработку прессорного фактора - ренина. В свою очередь, ренин специфически стимулирует выработку корой надпочечников второго фактора - альдостерона, регулирующего водный обмен, обмен ионов калия и натрия и влияющего на содержание этих элементов в гладких мышцах кровеносных сосудов. Увеличение содержания натрия в гладких мышцах сосудов повышает их тонус, что определяет повышение кровяного давления. Одновременно альдосте-рон блокирует пути выведения натрия из организма. Т. о. почечный фактор может сам по себе вызвать повышение кровяного давления. Однако почка обладает и депрессорными, понижающими кровяное давление свойствами. Истощение этих свойств может привести, по мнению приверженцев почечной теории, к преобладанию прессорного действия и развитию Г. б.

Частота заболеваемости Г. б. увеличивается с возрастом. Так, до 40 лет чаще болеют мужчины, после 40 лет заболеваемость среди женщин и мужчин приблизительно одинакова. Г. б.- одно из наиболее частых заболеваний сердечнососудистой системы гор. населения, среди к-рого встречается почти в 3 раза чаще, чем у сел. жителей. Чаще болеют люди, труд к-рых в большей степени связан с нервно-психич. напряжением: инж.-технич. персонал, рабочие точных производств, работники связи, транспорта и т. д.

По течению и характеру клинич. картины Г. б. разделяют на 3 стадии. Для 1-й, транзиторной стадии характерно крат-коврем. повышение кровяного давления, возникающее обычно после переутомления или нервного перенапряжения. Кровяное давление быстро нормализуется без применения спец. лекарств, средств под влиянием отдыха или успокаивающих (седативных) препаратов. В этот период больные жалуются на повышенную нервную возбудимость, головные боли, головокружения, сердцебиения. Отмечаются нек-рое увеличение сердца, иногда систо-лич. шум на верхушке; на электрокардиограмме - признаки начинающейся гипертрофии миокарда. 2-ю стадию разделяют на две фазы. Для 1-й фазы (лабильная гипертония) характерны колебания уровня кровяного давления от незначит. повышения до высоких цифр. Во 2-й фазе (стабильная гипертония) кровяное давление стойко устанавливается на высоких цифрах. К 1-й фазе относят заболевания, когда кровяное давление снижается в условиях покоя применением обычных успокаивающих средств. Во 2-й стадии, помимо характерных для Г. б. симптомов - шума в ушах, головокружений, головных болей, сердцебиений, могут появляться признаки сердечной недостаточности (одышка, отёки, тахикардия, аритмия) и коронарной недостаточности (боли за грудиной и в области сердца, развитие инфаркта миокарда).

3-я стадия характеризуется развитием артериолосклероза (см. Атеросклероз) с поражением почек, сердца и сосудов мозга на фоне высокой и стойкой гипертонии. В этой стадии возможны развитие почечной недостаточности, Рубцовых изменений в миокарде, нарушение кровоснабжения в мозге.

В течении Г. 6. выделяют т. н. г и-пертонические кризы, представляющие собой кратковременное обострение болезни. Характерным для них является внезапное резкое повышение кровяного давления, сопровождающееся головными болями, головокружениями, рвотой, тахикардией, ознобом, иногда отмечаются нарушения зрения. При ги-пертонич. кризах возможно нарушение коронарного и мозгового кровообращения (инфаркт миокарда, инсульт).

Лечение: в 1-й стадии - достаточный сон, исключение нервных, пси-хич. и физич. перегрузок; запрещение алкогольных напитков, курения; применение успокаивающих средств; в поздних стадиях - снижающие кровяное давление, успокаивающие и снотворные средства, диета. Хирургич. лечение широкого распространения не получило. Профилактика: возможное устранение нервного перенапряжения, пси-хич. травматизаций, рациональная организация режима труда и отдыха, достаточный сон.

Лит.: Ланг Г. Ф., Гипертоническая болезнь, [Л.], 1950; Мясников А. Л., Гипертоническая болезнь, М., 1954; Мясников А. Л. и Замы слова К. Н., Гипертоническая болезнь, в кн.: Многотомное руководство по внутренним болезням, под ред. Е. М. Тареева, т. 2, М., 1964.

Е. И. Чазов.

ГИПЕРТОНИЧЕСКИЕ РАСТВОРЫ, растворы, осмотическое давление к-рых выше осмотич. давления в растит, или животных клетках и тканях. В зависимости от функциональной, видовой и эко-логич. специфики клеток осмотич. давление в них различно, и раствор, гипер-тоничный для одних клеток, может оказаться изотоничным или даже гипотонич-ным для др. При погружении растит, клеток в Г. р. он отсасывает воду из клеток, к-рые уменьшаются в объёме, а затем дальнейшее сжатие прекращается и протоплазма отстаёт от клеточных стенок (см. Плазмолиз). Эритроциты крови человека и животных в Г. р. также теряют воду и уменьшаются в объёме. Г. р. в сочетании с гипотоническими растворами и изотоническими растворами применяют для измерения осмотич. давления в живых клетках и тканях. В. А. Соловьёв.

ГИПЕРТОНИЯ (от гипер... и греч. tonos - напряжение), повышение напряжённости (тонуса) тканей и органов; чаще термином Г.обозначают повышение кровяного давления, являющееся основным признаком гипертонической болезни, нефрита и др.

ГИПЕРТРИХОЗ (от гипер... и греч. thrix, род. падеж, thrichos - волос), чрезмерное развитие у человека волосяного покрова; то же, что волосатость.

ГИПЕРТРОФИЯ (от гипер... и греч. trophe - питание, пища), увеличение объёма органа тела или отдельной его части. Г. у человека (или животного) может происходить либо в результате увеличения объёма отд. составных элементов органа (клеток и тканей), либо вследствие увеличения их количества (гиперплазия). Различают истинную и ложную Г. К истинной Г. относится увеличение объёма или массы специфич. элементов в результате усиленной функциональной нагрузки (т.н. рабочая, или компенсаторная, Г.) или при нарушении регулирующих влияний со стороны нервной и эндокринной систем. Рабочая Г. может возникать в здоровом организме у лиц, занятых физич. трудом, спортсменов (чфизиол. Г. мышц), а также при поражении части к.-л. органа, напр, сердца при его пороке (компенсаторная Г.) или при гибели парного органа, напр, почки (викарная Г.). Во всех случаях рабочей Г. происходит компенсация нарушенных функций. Примерами Г., наступающей в результате нарушения нейро-эндокринных влияний, являются акромегалия, гинекомастия; в этих случаях Г. не имеет компенсаторного значения, а сопровождается значит, расстройствами функций. Ложной Г. называют увеличение органа в результате избыточного разрастания межуточной, чаще всего жировой, ткани при атрофии паренхимы (функциональной ткани); функция органа при этом обычно бывает снижена. Л. Л. Шимкевич. Г. органов у растений осуществляется на основе увеличения объёма их клеток. Она может быть результатом усиления синтеза веществ клеточных оболочек, цитоплазмы, отложения запасных соединений, возникновения многоядерности, полиплоидии и т. п. Причины Г.- нарушение синтеза и обмена фенольных соединений, аминокислот, белков, углеводов и жиров, дефицит микроэлементов и т.п. Г. могут вызывать вирусы, бактерии, грибы, беспозвоночные и растения-паразиты; она может сопровождать мн. мутации, прививки, воздействие на растения ионизирующими излучениями, ультразвуком и др. Г. обычно взаимосвязана с гиперплазией и нарушениями дифференциации тканей в органах. Во мн. случаях, напр, при возникновении опухолей и галлов, Г. возникает вслед за клеточным делением; при механич. повреждениях, физ. и хим. воздействиях она нередко первична. Г. наблюдается как у высших, так и у низших растений. Э. И. Слепян.

ГИПЕРТРОФИЯ ПРЕДСТАТЕЛЬНОЙ ЖЕЛЕЗ , устаревшее назв. аденомы предстательной железы.

ГИПЕРФУНКЦИЯ (от гипер... и функция), усиление деятельности (функции) к.-л. органа, ткани, системы. В одних случаях Г. может быть приспособитель-ной реакцией на условия жизни (напр., увеличение размеров - гипертрофия - и увеличение силы сокращений сердечной мышцы у спортсменов), в других - Г.- нарушение, ведущее к заболеванию организма (напр., при Г. щитовидной железы - усилении выработки гормона тироксина - возникает гипертиреоз). Ср. Гипофункция.

ГИПЕРЭЛЛИПТИЧЕСКИЕ ИНТЕГРАЛЫ, интегралы вида

где R(x,y)-рациональная функция от х и у, а у обозначает квадратный корень из многочлена относительно х степени выше четвёртой.

ГИПЕР-ЯДРО, гипер-фрагмент, атомное ядро, в состав к-рого наряду с нуклонами входит гиперон. Г.-я, образуется при взаимодействии частиц высокой энергии с нуклонами ядра или при захвате ядром медленного К--мезона. В результате этого возникает медленный гиперон, образующий связанную систему с ядром. Время жизни Г.-я. определяется временем жизни-гиперона(~10-10сек). Первое Г.-я. было обнаружено в 1952 польскими физиками M. Данышем и E. Пневским с помощью ядерных эмульсий, экспонированных в потоке космических лучей (см. рис.). Все известные Г.-я. являются лямбда-Г.-я., т. е. ядрами, содержащими -гиперон. Это происходит потому, что все остальные гипероны вступают в быстрые реакции с нуклонами ядра, а для-гиперона такие реакции запрещены правилами отбора. Г.-я. обозначается хим. символом элемента с индексом слева внизу. Напр., ядро гипергелия, состав к-рого: , обозначается символом Г.-я. изучают с помощью ядерных фотоэмульсий и пузырьковых камер. Известны характеристики более десяти видов лёгких Г.-я. При взаимодействии частиц высокой энергии с тяжёлыми ядрами фотоэмульсии наблюдается образование тяжёлых Г.-я. с Л до 100. Существование Г.-я. свидетельссвует о том, что между гипе-р'онами и нуклонами действует сила притяжения. В 1963 было обнаружено первое двойное Г.-я. , а в 1966- . Изучение свойств двойных Г.-я. позволяет выяснить характер сил, действующих между двумя гиперонами.

Лит.: Телегди В. Л., Гиперядра, в кн.: Физика атомного ядра, M., 1965 (Над чем думают физики, в. 4); Филимонов В. А., Обнаружение второго случая двойного гиперядра, "Успехи физических наук", 1967, т. 92. в. 3. с. 535. В. С Евсеев.

ГИПИДИОМОРФНОЗЕРНИСТАЯ СТРУКТУРА (от гипо... и греч. idios - особенный, свойственный данному предмету и morphe - форма, вид), структура глубинных горных пород, беспорядочно-зернистая, характеризующаяся различной степенью идиоморфизма минералов (см. Идиоморфизм).

ГИПЛЕР, Хиплер (Hipler) Вендель (ок. 1465-1526, Гейдельберг), один из вождей Крестьянской воины 1524-26 в Германии. Дворянин. В 1490-1514 секретарь графа Гогенлоэ. С началом восстания во Франконии (кон. марта 1525) примкнул к крест, движению; стал одним из наиболее влият. вождей неккар-таль-оденвальдского (т. н. Светлого) отряда (был начальником полевой канцелярии). Представитель умеренных элементов движения, ориентировавшихся на союз бюргерства с оппозиц. дворянством и стремившихся использовать ре-волюц. движение крестьян в интересах умеренной имперской реформы. Из кругов, близких Г., вышла т. н. Гейль-броннская программа. По его настоянию командиром Светлого отряда был избран Гёц фон Берлихинген. Во время разгрома крестьян у Кёнигсхофена (2 июня 1525) Г. бежал; позднее был схвачен. Умер в тюрьме. М. М. Смирин.

ГИПНОЗ (от греч. hypnos - сон), особого рода сноподобное состояние человека и высших животных. Г. известен с глубокой древности. Однако вплоть до сер. 19 в. представления о Г. основывались на спиритуалистич. (см. Спиритуализм) допущениях особых флюидов или магнетич. волн - особых токов, якобы распространяемых гипнотизёром. В кон. 19 в. работами рус. учёных В. М. Бехтерева, О. О. Мочутковского, А. А. Токарского, франц.- Ш. Рише, Н. Бергейма, Ж. Шарко, англ.-Дя:. Брей-да, швейц.- А. Фореля начата науч. разработка проблемы Г., установлено леч. значение Г., а также выяснена роль внушения как метода психотерапии. Работы И. П. Павлова и его учеников показали, что в основе Г. лежит процесс торможения, захватывающий кору больших полушарий головного мозга. Торможение это носит дробный характер, распространяясь на разных участках мозга на различную глубину и захватывая разные участки головного мозга. Между заторможёнными участками лежат бодрствующие участки активной деятельности коры и подкорковых образований. Эти участки - сторожевые пункты- обеспечивают, в частности, возможность контакта (раппорта) больного с гипнотизирующим его врачом и возможность лечебного воздействия словом (внушением) при изоляции других раздражений из внеш. и внутр. мира больного, погружённого в гипнотич. состояние. Торможение при Г. сходно с торможением при физиологич. сне.

В состоянии бодрствования сила возбуждения корковых клеток соответствует силе раздражения. Различная глубина торможения в разных областях головного мозга сопряжена с наличием в них фазовых состояний, переходных от сна к бодрствованию. Для фазовых состояний характерно изменение реакции клеток на воздействие раздражителя: при уравнительной фазе слабые и сильные раздражители действуют одинаково (напр., слово врача, произнесённое тихо или громко, вызывает одинаковый эффект). При более глубоком торможении наступает парадоксальная фаза, когда слабые раздражители (напр., слово) действуют одинаково или даже эффективнее, чем сильные (напр., боль), к-рые иногда даже совсем не вызывают реакции. Отсюда возможность целебного воздействия внушением словом в состоянии Г.

У человека Г. достигается воздействием ритмичных, монотонных, б. ч. слабых раздражений на органы осязания (поглаживание), слуха (тихая успокаивающая музыка, монотонная речь врача) и длительного, ритмично-монотонного влияния на др. органы чувств. Эти ритмичные монотонные раздражители сопровождаются при Г. словесным внушением, создающим у больного представление об успокоенности, желании заснуть, нарастающем чувстве тяжести в веках, оцепенении, засыпании и последующем углублении сна. Сочетанием этих раздражений и словесного внушения засыпания, сна обеспечивается возникновение в коре головного мозга б. или м. распространённого и различного по глубине торможения, что проявляется в нарастающей сонливости (1-я стадия Г.- ощущение тяжести в теле, трудности открыть глаза, говорить, последовательно думать - ги-потаксия). При продолжении сеанса появляется неглубокий сон со своеобразной оцепенелостью мышц, когда рука, нога и т. п. застывают в приданном врачом положении (каталепсия). Понятия и явления, внушаемые при этом врачом, не только воспринимаются больным, но и хорошо запоминаются, усваиваются и воспроизводятся им в дальнейшем. Возникающие при Г. повышенная внушаемость, гипотаксия, каталепсия, сомнамбулизм характеризуются понятием гипнотизм.

В стадии глубокого Г. (сомнамбулизм) больной полностью отгорожен от к.-л. ощущений и представлений внеш. мира и собственного организма и сохраняет контакт только с врачом. После сеанса он не может сообщить, что было с ним во время Г., однако содержание внушённого врачом в последующем выполняет. Эффект внушения и глубина (стадия) Г. не всегда равнозначны. Высокий эффект внушения возможен и в первой стадии Г. и даже вне гипнотич. состояния (внушение наяву). В сом-намбулич. фазе Г. условия восприятия и последующей реализации внушённого обычно наиболее благоприятны.

Развивающийся во время Г. сон служит сам по себе целебным фактором (регуляция головным мозгом функции обмена веществ, внутр. органов, деятельности сердечно-сосудистой и др. систем организма). Г. может применяться как самостоят, вид лечения или служить частью терапевтич. комплекса (наряду с медикаментами, физиотерапевтич. процедурами, диетой и др. леч. методами). Г. пользуются для лечения нек-рых форм неврозов, психопатий, реактивных состояний. Воздействие Г. возможно для любого человека; быстрота и стадия достигаемой глубины Г. (гипнабельность) индивидуальны. Лечение Г. вопреки желанию больного проводить не целесообразно. Ошибочно представление об универсальной пользе лечения Г. любого больного с любым, заболеванием. Применение Г. за пределами леч. целей недопустимо, а использование его не врачами (напр., для зрелищных демонстраций) советским законодательством запрещено.

Лит.: Лебединский М. С., Очерки психотерапии, М., 1959 (библ.); Платонов К. И., Слово как физиологический фактор, 3 изд., М., 1962 (библ.).

Б. С. Бамдас.

ГИПНОПЕДИЯ (от греч. hypnos - сон и paideia - обучение, воспитание), обучение во время естеств. сна. Термин Г. не применяется по отношению к процессу приобретения знаний в состоянии гипноза или любого другого искусственно вызванного сна (электросон, медикаментозный сон), поскольку в этих случаях процесс обучения носит характер гипнотич. или постгипнотич. внушения.

Использование сна (как естественного, так и искусственного) для приобретения знаний применялось ещё в древности (буддийские священники в Китае, факиры и йоги в Индии, лебаши в Эфиопии и др.). Первая попытка практич. применения Г. в новейшее время (1923) была сделана Д. А. Финнеем (США) в мор. училище в Пенсаколе (штат Флорида). В СССР впервые такая попытка была предпринята А. М. Свядощем в 1936. Интерес к Г. и стремление дать ей тео-ретич. обоснование возобновились в 50-е - нач. 60-х гг. 20 в. В зарубежной Г. заметно влияние идеалистич., гл. обр. фрейдистских концепций - Д. Кёртис (США), Ж. Женеве (Франция) и др. (см. Фрейдизм). Сов. учёные (Л. А. Близ-ниченко, В. П. Зухарь и др.) объясняют возможность Г. на основе павловского учения о наличии т. н. сторожевых пунктов в коре больших полушарий головного мозга во время сна.

Экспериментальные данные свидетачь-ствуют о том, что усвоение информации, подаваемой гипнопедическим путём, зависит от характера памяти, возраста обучающегося, от количества сеансов и объёма программы за один сеанс обучения, от интонационной характеристики речи.

Мн. теоретич. и практич. проблемы Г. (работоспособность, утомляемость после длит, применения Г., изменение функционального состояния нервной системы в результате систематич. использования Г. и т. д.) недостаточно ясны. Очевидно, что Г. не может заменить естеств. пед. процесс; может быть полезной для закрепления в памяти лишь нек-рых видов информации (иностр. слова, телеграфная азбука, формулы, таблицы).

ГИПНОТИЗМ, совокупность явлений (повышенная внушаемость, гипотаксия, каталепсия, сомнамбулизм), возникающих при гипнозе.

ГИПО... (от греч. hypo - под, внизу), часть сложных слов, указывающая на нахождение внизу, а также на понижение против нормы, напр, гиподерма, гипоксия.

ГИПОБИОЗ (от гипо... и греч. bios - жизнь), состояние пониженной жизнедеятельности организмов. Понятие Г. применяется как обобщённый термин для обозначения различных по своей природе явлений, характеризующихся снижением уровня обмена веществ и общей активности: гипотермии, спячки, диапаузы, покоящихся стадий развития и т. п. Глубокий Г. может перейти в анабиоз.

ГИПОБЛАСТ (от гипо... и греч. blastos - зародыш, росток), внутренний слой клеточной стенки дискобластулы у пресмыкающихся, птиц и млекопитающих, содержащий гл. обр. материал внутр. зародышевого листка - энтодермы. У нек-рых животных отделён от наружного слоя (эпибласта) полостью - бластоцелем.

ГИПОБРОМИТЫ, соли бромноватистой кислоты НВrО.

ГИПОВИТАМИНОЗ (от гипо... и витамины), болезненное состояние, возникающее при нарушении соответствия между расходованием витаминов и поступлением их в организм; то же, что витаминная недостаточность.

ГИПОГАЛАКТИЯ (от гипо... и греч. gala, род. падеж galaktos - молоко), недостаточное выделение молока молочной железой. Различают первичную и вторичную Г. Первичная, или ранняя, Г. встречается редко и выявляется сразу после родов; бывает обычно у первородящих инфантильных женщин (см. Инфантилизм) при аномалиях развития молочных желез, а также после тяжёлых токсикозов беременности, истощающих заболеваний, оперативных вмешательств при родах. Иногда Г. является результатом позднего прикладывания недоношенного или больного ребёнка к груди. Полное отсутствие выделения молока из груди (агалактия) у родивших женщин встречается крайне редко. Вторичная, или поздняя, Г. связана обычно с редким, беспорядочным кормлением ребёнка грудью, плохим сцеживанием остатков молока после кормления. Причинами её могут быть также недостаточное количеств, и качеств, питание, переутомление, психич. травмы, недостаточный сон и недостаточное пребывание на свежем воздухе. Если ребёнок получает мало молока, он кричит, беспокоится, редко мочится. Устанавливают Г. при взвешивании ребёнка до и после кормления (неск. раз в течение дня) с учётом количества сцеженного после кормления молока.

Профилактика: массаж молочных желез, при втянутых и плоских сосках - их вытягивание по 4-5 раз в день через марлю; после родов - прикладывание ребёнка к груди через 6-12 ч. В последующем - кормление с равными промежутками в течение 15-20 мин в определ. время суток с обязательным 6-часовым ночным перерывом; сцежива-ние молока после кормления.

Лечение: при первичной Г. - стимулирующие лактацию и общеукреп-ляющие препараты; при вторичной - правильный режим, рациональное питание, витаминотерапия, физио- и психотерапия. Е. И. Семёнова.

ГИПОГЕННЫЕ МЕСТОРОЖДЕНИЯ, магматогенные месторо ж-дения, эндогенные месторождения, месторождения полезных ископаемых, связанные с геохим. процессами глубинных частей земной коры и подкорового материала. Местом их локализации служат глубинные гео-логич. структуры, определяющие условия накопления минерального вещества, форму и строение тел полезных ископаемых. Г. м. формируются из магматич. расплавов или из газовых возгонов и горячих водных растворов в обстановке высоких давлений и темп-р. Среди Г. м. выделяются пять гл. генетич. групп: магматические, пегматитовые, карбона-титовые, скарновые и гидротермальные. Магматич. месторождения образуются при застывании расплавов, содержащих ценные элементы (хром, титан, железо, платину, медь, никель и др.). Пегматитовые представляют собой отщепления конечных продуктов остывающей магмы; содержат полевой шпат, кварц, мусковит, флюорит, драгоценные камни, соединения лития, бериллия. Карбонатитовые месторождения образованы скоплениями карбонатов кальция, магния и железа; ассоциируют с ультраосновными щелочными магматич. породами и заключают руды железа, меди, ниобия, апатит и флогопит. Скарновые месторождения возникают под воздействием горячих паров на вмещающие породы близ разогретых контактов магматич. пород (руды железа, меди, вольфрама, свинца, цинка, бора и др.). Гидротермальные месторождения состоят из руд, представляющих собой осадки, циркулирующие на глубине горячих водных растворов (руды цветных, редких, благородных и радиоактивных металлов). Лит.: Татар и нов П. М., Условия образования месторождений рудных и нерудных полезных ископаемых, 2 изд., М., 1963; Смирнов В. И., Геология полезных ископаемых, 2 изд., М., 1969.

В. И. Смирнов.

ГИПОГЕННЫЕ МИНЕРАЛЫ (от гипо... и греч. -genes - рождающий, рождённый), минералы, образующиеся в глубинах земной коры. К Г.м. относятся все минералы, кристаллизующиеся при застывании силикатных и сульфидно-окисных магматических расплавов (полевые шпаты, пироксены, оливин, хромит, титаномагнетит и др.), минералы остаточных (пегматитовых) расплавов, богатых газообразными соединениями (слюды, топаз, берилл и др.), минералы контактово-метасоматич. процессов (гранаты, везувиан, магнетит, пироксены, шеелит и др.), минералы гидротермальных рудных жил (флюорит, вольфрамит, касситерит, сульфиды железа, меди, свинца, цинка и др.) и минералы вулканич. возгонов (сера, нашатырь и др.). Большинство Г. м. на поверхности Земли неустойчиво и под влиянием процессов выветривания разрушается и переходит в гипергенные минералы.

ГИПОГЛИКЕМИЯ (от гипо... и гликемия), снижение содержания сахара в крови ниже 80-70 мг%. Г. встречается у здоровых людей при повыш. мышечной работе, вследствие значит, расхода глюкозы как источника энергии, если при этом затраты организма не восполняются легкоусвояемыми углеводами. Иногда Г. возникает при обильном приёме углеводов, вследствие рефлекторного выделения поджелудочной железой чрезмерного количества инсулина. Г. наблюдается при нек-рых заболеваниях островкового аппарата поджелудочной железы, гипота-ламич. области головного мозга, нек-рых заболеваниях др. желез внутр. секреции, печени (нарушение функции печени как основного депо гликогена), а также при передозировке инсулина (гипоглике-м и ч. ш о к). При гипогликемич. шоке после кратковрем. периода возбуждения центральной нервной системы развивается состояние, сопровождающееся чувством слабости, сонливости, голода, психич. нарушениями и др.; при снижении содержания сахара до 40% и ниже наступает дрожание, потеря сознания, судороги. Такое состояние устраняется введением глюкозы. При лечении нек-рых болезней гипогликемич., или инсулино-вый, шок вызывается искусственно.

Лит.: Генес С. Г., Гипогликемия. Гипогликемический симптомокомплекс, М., 1970 (библ. с. 224-35).

ГИПОДЕРМА (от гипо... и греч. derma - кожа), у беспозвоночных животных (ракообразных, паукообразных, насекомых и др.) - тонкий слой обычно цилиндрич. эпителия, лежащий непосредственно под кутикулой, образующейся в результате секреторной деятельности клеток Г. В Г. располагаются различные кожные железы, осязат. и обонят. волоски и т. п. У нематод, га-стротрих и нек-рых др. червей Г. представляет собой синцитий, выделяющий кутикулу.

Г. у растений - один или несколько слоев клеток, расположенных под эпидермисом (кожицей) стеблей, листьев, семян и плодов или под эпиблемой (волосконосным слоем) корней. Г. входит в состав первичной коры стеблей, нередко представлена клетками с утолщёнными стенками и по функциям может быть отнесена к механич. тканям. Наиболее характерна для суккулентов. В листьях Г. представлена одним или, чаще, неск. слоями клеток водоносной ткани, напр, у ряда тропич. растений и мн. др., или механич. тканью (у сосен, саговников и др.). В листе Г. образуется при делении клеток эпидермы перегородками, параллельными поверхности листа (у фикусов, бегоний), или из клеток меэофила ткани листа, лежащей под эпидермой (у нек-рых пальм). В корнях Г. иногда наз. наружные слои клеток первичной коры - экзодерму.

ГИПОДЕРМАТОЗЫ, хронич. болезни крупного рогатого скота, вызываемые личинками подкожных оводов рода Ну-poderma. Экономич. ущерб выражается в снижении удоев, потере массы животного и в обесценивании кожи. Чаще поражается молодняк. Из отложенных самкой овода на волосы животных яиц через 3-5 дней вылупляются личинки. Они пробуравливают кожу и совершают сложную миграцию, во время к-рой проникают в просвет спинномозгового канала (Н. bovis) или ткани пищевода (Н. Н-neatum). Достигнув подкожной клетчатки в области спины, личинки линяют; в местах их локализации формируются оводовые желваки. На теле животных может быть до 150 и более желваков, основное кол-во к-рых локализуется в области спины и поясницы. Во время миграции личинки вызывают механич. повреждение тканей, сопровождающееся воспалит, явлениями.

Лечение: в течение 1-2 мес после окончания лёта оводов животных обрабатывают однократно 8%-ным раствором хлорофоса, к-рый наносят на кожу спины. В целях профилактики в период лёта оводов животных пасут ночью или через каждые 20-25 дней опрыскивают 1%-ным раствором хлорофоса.

Лит.: Потемкин В. И., Гиподер-матозы, в кн.: Ветеринарная энциклопедия, т. 2, М., 1969. В. И. Потемкин.

ГИПОИДНАЯ ПЕРЕДАЧА (сокр. от гиперболоидная), особый вид винтовой зубчатой передачи, осуществляемой коническими колёсами со скрещивающимися осями. В Г. п. ось малого зубчатого колеса (шестерни) смещена относительно оси большого зубчатого колеса. При передаточном числе i = 1-2,5 смещение E <= (0,33-0,23) DK, где DK - диаметр колеса (рис.), при i > 2,5 смещение E<=0,20 DK. Колёса Г. п. могут иметь косые, или криволинейные, зубья; угол скрещивания осей обычно равен 90°. Передаточное число большинства Г. п. не превышает 10, однако в нек-рых случаях достигает 30 и более. Нагрузочная способность Г. п. по сравнению с др.

передачами со скрещивающимися осями выше благодаря линейному контакту зубьев и увеличению числа пар зубьев, находящихся в зацеплении. В Г. п. обеспечивается хорошее притирание сопряжённых поверхностей; этим объясняется плавная и бесшумная работа передачи. При тех же DК и i шестерня Г. п. имеет больший размер, чем обычная коническая; это позволяет увеличить диаметр вала шестерни и т. о. сделать его более жёстким, применить подшипники большего размера, т. е. повысить их долговечность.

Гипоидная передача.

Недостатком Г. п. является повышенная опасность заедания, обусловленная скольжением вдоль линий контакта зубьев. Это явление сопровождается снижением несущей способности масляного клина. Опасность заедания устраняется применением противозадирной смазки (гипоидного масла) и термич. обработкой зубьев, обеспечивающей высокую твёрдость их поверхности.

Г. п. применяют в приводах ведущих колёс автомобилей и тракторов, в тепловозах, в текст, машинах для передачи вращения от одного вала многим десяткам веретён, в станках для обеспечения высокой точности при большом передаточном числе, в прецизионных станках вместо червячных передач.

Лит.: Проектирование зубчатых, конических и гипоидных передач, пер. с англ., M., .1963; Решетов Д. H., Детали машин, 2 изд., M., 1964. А. А. Пархоменко.

ГИПОКАПНИЯ (от гипо... и греч. kap-nos - дым), пониженное парциальное давление (и содержание) СО2 в артериальной крови (и в организме). Возникает при увеличенной вентиляции лёгких, при высотной болезни и др.


ГИПОКАУСТ (лат. hypocaustum, от греч. hypo - под, внизу и kaustos - нагретый, раскалённый), отопительное устройство для обогрева бань и жилых помещений, применявшееся в Др. Риме (особенно в сев. провинциях). Г. состоял из печи, обычно расположенной вне отапливаемого помещения, и системы каналов и труб, проводящих тёплый воздух, под полом и в стенах здания.

ГИПОКОТИЛЬ, гипокотиле (in-ternodium hypocotyle), самый нижний участок стебля растения - от места перехода стебли в корень (корневой шейки) до первых зародышевых листьев (семядолей); то же, что подсемядольное колено.

ГИПОКСАНТИН, 6-оксипурин, продукт дезаминирования аденина, образующийся при распаде нуклеотидов и нуклеозидов в тканях животных и человека. Г. окисляется в ксантин и дальше в мочевую к-ту - конечный продукт пуринового обмена у человека.

ГИПОКСЕМИЯ (от гипо..., лат. оху-genium - кислород и греч. haima - кровь), понижение содержания кислорода в крови в результате нарушения кровообращения, повышенной потребности тканей в кислороде (чрезмерная мышечная нагрузка и др.), уменьшения газообмена в лёгких при их заболеваниях, уменьшения содержания гемоглобина в крови (напр., при анемиях), уменьшения парциального давления кислорода во вдыхаемом воздухе (высотная болезнь) и др. Следствием Г. является гипоксия.

ГИПОКСИЯ (от гипо... и лат. oxygenium - кислород), кислородное голодание, кислородная недостаточность, понижение содержания кислорода в тканях. Возникающее при Г. патологич. состояние обусловливается тем, что поступление кислорода к тканям (при снижении его содержания в крови - гипоксемии) или способность тканей использовать кислород оказывается ниже, чем их потребность в нём. Вследствие этого в жизненно важных органах развиваются необратимые изменения. Наиболее чувствительны к кислородной недостаточности центральная нервная система, мышца сердца, ткани почек, печени. Различают следующие формы гипоксич. состояний (по классификации 1949, принятой на конференции по Г. в Киеве): гипоксическая Г.- форма кислородной недостаточности, обусловленная снижением содержания кислорода во вдыхаемом воздухе, напр, при подъёме на высоту (см. Высотная болезнь)', при затруднении проникновения кислорода в кровь из органов дыхания вследствие их заболеваний и нарушения проводимости ды-хат. путей; при расстройстве дыхания. Гемическая Г., возникающая при уменьшении количества гемоглобина, способного присоединить кислород (уменьшении кислородной ёмкости крови), развивается при кровопотерях, отравлении окисью углерода, при радиац. воздействиях. Циркуляторная Г. наблюдается при нарушениях кровообращения, приводящих к снижению количества крови, притекающей к тканям в единицу времени. Тканевая Г.- форма, связанная с изменениями активности дыхательных ферментов, вследствие чего ткани не могут использовать кислород, содержащийся в омывающей их крови (развивается при нарушениях обмена витаминов, при отравлениях нек-рыми ядами, напр, цианидами).

В зависимости от скорости нарастания Г. различают острую и хронич. Г. При острой Г. в первую очередь страдает функция высших отделов центр, нервной системы, а при хронич.- функция сердечно-сосудистой системы, дыхания, системы крови. Устойчивость к Г. может быть повышена тренировкой в барокамере или в условиях горного климата. При этом в организме вырабатывается ряд приспособит, механизмов (рефлекторное усиление дыхания, кровообращения, увеличение числа эритроцитов за счёт выхода их из кровяных депо, увеличение содержания гемоглобина в эритроцитах и т. п.), улучшающих самочувствие и повышающих работоспособность в условиях недостатка кислорода. Установлено, что с повышением устойчивости организма к к.-л. вредоносному фактору повышается сопротивляемость к др. неблагоприятным влияниям. Так, с повышением устойчивости организма к острой Г. повышается устойчивость к действию ускорений, ионизирующих излучений, тепловым воздействиям, большим физич. нагрузкам и др.

Лит.: Барбашова 3. И., Акклиматизация к гипоксии и её физиологические механизмы, М.- Л., 1960; Петров И. Р.,

Кислородное голодание головного мозга, [Л.], 1949. Н. А. Агаджанян.

ГИПО-ЛАДЫ, диатонические натуральные лады; см. Древнегреческие лады, Средневековые лады.

ГИПОМОРФОЗ (от гипо... и греч. morphe - форма, вид), путь филогене-тич. развития организмов, ведущий к упрощению их организации. Имеет место в связи с выпадением смены среды, характерной для онтогенеза предков (напр., неотения водных хвостатых земноводных), или упрощением условий существования (напр., при паразитизме), при уменьшении размеров тела (напр., у коловраток, тихоходок и др.). Г.- разновидность морфо-физиологич. регресса.

Лит.: Шмальгаузен И. И., Пути и закономерности эволюционного процесса, М.- Л., 1940.

ГИПОНАСТИЯ (от гипо... и греч. nas-tos - уплотнённый, утолщённый), более быстрый рост нижней стороны у листьев, лепестков, чашелистиков и др. органов растений по сравнению с верхней стороной, в результате чего орган изгибается кверху. Г. может определяться возрастным состоянием органа, напр, молодые цветочные бутоны остаются плотно замкнутыми благодаря Г., к-рая позднее сменяется эпинастией, т. е. более быстрым ростом верхней стороны чашелистиков и лепестков, вследствие чего цветок раскрывается. Г. может вызываться и изменениями условий окружающей среды; так, в пасмурную, сырую или холодную погоду иногда происходит Г. околоцветников и цветки закрываются.

ГИПОПАРАТИРЕОЗ [от гипо... и лат. (glandula) parathyreoidea - околощитовидная железа], болезненное состояние, вызываемое недостаточной секреторной деятельностью околощитовидных желез. Г. может возникнуть после удаления околощитовидных желез или их травмы при операции на щитовидной железе. Г. сопровождается расстройствами кальциевого обмена, нарушением усвояемости кальция в желудочно-кишечном тракте, понижением содержания его в крови, деформацией зубов и др. Вследствие нарушений кальциевого обмена повышается возбудимость нервной системы и выявляется наклонность к судорогам (см. Тетания). Судороги возникают самопроизвольно или при воздействии провоцирующих факторов (мышечное напряжение, перегревание тела, ушибы и др.) в симметричных группах мышц, чаще верхних конечностей, реже нижних, ещё реже в мышцах лица и др. Различают скрытую и явную формы Г. Скрытая форма может внешне не проявляться и выражается лишь в похолоданиях конечностей, ощущениях ползания мурашек по телу, спазмах. Беременность, менструации, механич., термич. раздражения, отравление, инфекции могут стимулировать переход скрытой формы в явную. Лечение: гормоно- и витаминотерапия. Л. М. Гольбер.

ГИПОПИТУИТАРИЗМ [от гипо... и лат. (glandula) pituitaria - гипофиз], хроническое болезненное состояние, вызываемое ослаблением внутр. секреции мозгового придатка (гипофиза). Проявляется недостаточностью функций щитовидной железы, коры надпочечников и половых желез. Г. могут вызывать травмы, опухоли, инфекции, кровоизлияния в области основания мозга. Г. проявляется задержкой роста (см. Нанизм), нарушением жирового обмена - ожирением, или резким истощением (кахексией), недоразвитием половых органов. У женщин при Г. прекращаются менструации, атрофируются матка, яичники, молочные железы; у мужчин атрофируются яички, половой член. Характерны физич. и психич. вялость, частые головокружения, шум в ушах, головные боли, сонливость, быстрая утомляемость, понижение осн. обмена веществ. Лечение: при опухолях гипофиза - рентгене- и радиотерапия, хирургич. операция; при др. формах - гормональная терапия.

Л. М. Голъбер.

ГИПОПЛАЗИЯ (от гипо... игреч. plasis- создание, образование), гипогене-з и я, недоразвитие ткани, органа, части тела или всего организма. В основе Г., как и аплазии, лежит нарушение внутриутробного развития плода вследствие воздействия на организм матери лучистой энергии, при нарушении питания, нек-рых инфекциях, передающихся от матери плоду (краснуха, токсоплазмоз, полиомиелит и др.). См. также Пороки развития.

ГИПОСМИЯ (от гипо... и греч. osme - запах, обоняние), снижение обоняния. Г. может быть по отношению ко всем или лишь к нек-рым запахам, двусторонней или односторонней. Г. возникает при нарушении носового дыхания, острых или хронич. воспалениях слизистых оболочек полости носа (см. Насморк)', при заболеваниях периферич. отдела обонятельного нерва, поражениях центра обоняния. Диагноз ставится с помощью элементарных запаховых проб или о л ь-факто метра - прибора, измеряющего остроту обоняния. Лечение, как правило, направлено на устранение причины, вызвавшей Г. Л. Е. Маневич.

ГИПОСПАДИЯ (от греч. hypospao - оттягиваю вниз, разрываю снизу), врождённое недоразвитие мочеиспускат. канала, заключающееся в отсутствии его ниж. стенки, причём наружное отверстие канала открывается не на обычном месте (головка полового члена), а на ниж. поверхности члена, мошонке или промежности. Г.- самая частая аномалия развития органов мочеполовой системы у мужчин. Проявляется расстройствами мочеиспускания, у взрослых, кроме того, и нарушениями половой функции. При значительно выраженной Г. из-за деформации полового члена половая жизнь затруднена, а иногда и невозможна. При тяжёлых мошоночной и промежностной Г. часты ошибки в определении пола. Незначительно выраженная Г. лечения не требует, в остальных случаях - хирургич. операция.

ГИПОСТАЗ (hypostasis), подавление проявления в фенотипе (т. е. в структурных и функциональных свойствах организма) данного гена (гипостатического) др. геном или генами, расположенными в др. участках хромосомы или в др. хромосомах (т. е. неаллельными генами; см. Аллели). Гены, подавляющие активность гипостатических генов, наз. э п и с т а-тическими (см. Эпистаз). При скрещивании генетически различающихся организмов Г. может вызвать изменение соотношения признаков во втором поколении; при этом характер изменения зависит от того, доминантен или рецессивен эпистатичный ген (см. Доминантность, Рецессивность) по отношению к гипо-статичному гену. Если оба гена доминантны, то во втором поколении вместо обычного расщепления признаков в фенотипе 9:3:3:1 (см. Менделя законы) произойдёт расщепление в соотношении 12:3:1. Напр., у овса при скрещивании организмов, несущих доминантные гены чёрной (А) и серой (В) окраски зерновки, у потомков, несущих и ген А и ген В, может проявиться только один ген А. В таком случае расщепление будет иметь формулу - 12 чёрных: 3 серых: 1 белый. В случае рецессивности эпистатичного и гипостатичного генов расщепление будет иметь формулу 9:3:4. В. Н. Соифер.

ГИПОСТАЗ (от гипо... и греч. stasis - застой), скопление крови в капиллярной сети нижележащих частей тела и отд. органов. Прижизненный Г. обусловлен сердечной недостаточностью и развивается вследствие венозного застоя. Г. в лёгких возникает при вынужденном длит. положении ослабленного больного на спине. При этом ухудшается кровообращение в лёгочном круге, увеличивается кислородное голодание, часто развивается гипостатич. пневмония. Атональный Г. наблюдается при длит, умирании по мере ослабления деятельности сердца. Трупный Г. выявляется через 3-6 ч после смерти в виде фиолетовых или тёмно-багровых пятен на коже нижележащих частей трупа вследствие стекания крови. Время появления и интенсивность этих пятен имеют значение в суд.-мед. практике для выяснения времени и механизма смерти. Л. Е. Маневич.

ГИПОСТИЛЬ (от греч. hypostylos - поддерживаемый колоннами), обширное крытое помещение (зал храма или дворца), потолок к-рого опирается на многочисл., часто поставленные колонны. Г., или гипостильные залы, были распространены в архитектуре народов Др. Востока (Египет, Иран).

Гипостильный зал храма Амона-Ра в Карнаке. 14-12 вв. до н. э. Реконструкция.

ГИПОСУЛЬФИТ, бытующее название тиосульфата натрия 2S2О3.

ГИПОТАКСИС (от гипо... и греч. taxis - расположение), в грамматике отношение подчинения предложений, приводящее к зависимости одного из них от другого. В сложноподчинённом предложении главное и придаточное находятся в отношениях Г. Ср. Паратаксис.

ГИПОТАЛАМУС (hypothalamus), под-бугровая область, часть головного мозга, расположенная под зрит, буграми; входит в состав межуточного мозга, образует стенки и дно 3-го желудочка (диэнце-фальная область). От Г. на тонкой ножке свисает нижний мозговой придаток - гипофиз. Г.- совокупность высших адаптивных центров, осуществляющих интеграцию и приспособление функций к целостной деятельности организма. Ему принадлежит осн. роль в поддержании уровня обмена веществ, в регуляции деятельности пищеварит., сердечно-сосудистой, эндокринной и др. физиологич. систем. Т. о., Г.-одно из важнейших звеньев функциональной системы, координирующей вегетативные функции с психическими и соматическими. В Г. более трёх десятков парных скоплений нервных клеток - ядер. Он связан большим числом нервных путей с выше- и нижележащими отделами центральной нервной системы. В нервных клетках ядер Г. образуются нек-рые гормоны (напр., вазопрессин), а также различные биологически активные вещества (см. Нейросекреция), поступающие по сосудам и нервным волокнам в гипофиз и способствующие выделению его гормонов (т. н. высвобождающие, или релизинг-факторы). Г. осуществляет ней-ро-гуморально-гормонал ьный контрол ь функций, регулирует деятельность желез внутр. секреции в соответствии с потребностями клеток, органов, физиологич. систем, целостного организма. Г. снабжён богатой сетью сосудов и рецепторов, улавливающих тончайшие сдвиги темп-ры, содержания сахара, солей, воды, гормонов и др. во внутр. среде организма. Колебания в составе и свойствах внутр. среды обусловливают запуск соответствующих механизмов, организующих пищ. и сексуальное поведение (см. Мотивации), создают условия для поддержания постоянства темп-ры тела. В Г. представлены также структуры, входящие в сложную систему, регулирующую смену и поддержание сна и бодрствования. В задних отделах Г. представлены гл. обр. структуры, осуществляющие в осн. с помощью периферич. симпато-адреналовых аппаратов вегетативно-эндокринное обеспечение активной физич. и психич. деятельности, приспособление организма к изменениям внеш. и внутр. среды (т. н. эрго-тропное состояние организма). Передние отделы Г. регулируют преим. восстановительные, ассимиляторные процессы (т. н. трофотропное состояние организма) и поддержание относит. постоянства внутр. среды организма (гомеостаз). При повреждениях Г. возникают эндокринные, обменно-трофич. или вегетативные нарушения, в т. ч. сдвиги терморегуляции, сна и бодрствования, эмоциональной сферы.

Лит.: Физиология и патология диэнцефаль-ной области головного мозга. [Сб. ст.], М., 1963; Гращенков Н. И., Гипоталамус, его роль в физиологии и патологии, М., 1964; Физиология и патофизиология гипоталамуса, М., 1966; Monnier M., Functions of the nervous system, v. 1, Amst., 1968.

А. М. Вейн.

ГИПОТЕЗА (греч. hypothesis - основание, предположение, от hypo - под, внизу и thesis - положение), то, что лежит в основе, - причина или сущность. Напр., атомы Демокрита, идеи Платона, перводвигатель Аристотеля. В совр. словоупотреблении Г.- выраженное в форме суждения (или суждений) предположение или предугадывание чего-либо: напр., предугадывание природы в формулировке естественнонауч. законов. При этом первонач. смысл термина Г. вошёл в содержание понятия научная Г., выражающего предположит, суждение о закономерной (или причинной) связи явлений. По выражению И. Канта, Г.- это не мечта, а мнение о действительном положении вещей, выработанное под строгим надзором разума. Являясь одним из способов объяснения фактов и наблюдений - опытных данных, Г. чаще всего создаются по правилу: то, что мы хотим объяснить, аналогично тому, что мы уже знаем. Любая науч. Г. начинается с познавательного вопроса. Напр., Если небесные тела подчиняются закону свободного падения, то каким образом возможно движение планет?. Вопрос выражает потребность познания - перейти от незнания к знанию, и возникает тогда, когда для ответа на него уже имеются нек-рые данные - факты, вспомогат. теории или Г. и др. В этом смысле науч. Г. по своей гносеологич. роли является связующим звеном между знанием и незнанием (отсюда роль Г. в процессах науч. открытия), а по своей логич. роли - формой развития естествознания, поскольку оно мыслит... (Энгельс Ф., см. Маркс К. и Энгельс Ф., Соч., 2 изд., т. 20, с. 555). Характеристика Г. как осн. формы мысленного освоения мира отражает не только роль Г. в естествознании, но в равной мере и её роль в обществ, науках. Примером может служить выдвинутая К. Марксом Г. материализма в социологии, к-рая, по словам Ленина, впервые возвела социологию на степень науки (см. Поли. собр. соч., 5 изд., т. 1, с. 136-37, 139-40).

Для того чтобы быть научной, Г. должна удовлетворять след, требованиям. 1-е требование: науч. Г. должна быть (хотя бы в принципе) проверяемой, т. е. следствия, выведенные из неё путём логич. дедукции, должны поддаваться опытной проверке и соответствовать (или удовлетворять) результатам опытов, наблюдений, имеющемуся фактическому материалу и т. д. Отсюда - тенденция науки придавать науч. Г. точную логич. (математич.) формулировку, обеспечивающую включение Г. в качестве общего принципа в дедуктивную систему с последующим сравнением результатов дедукции с результатами наблюдений и экспериментов. Чисто логич. скелета-процедуры введения Г. в (дедуктивное) доказательство и их исключения даётся, напр., правилами т. н. естественного логического вывода (см. Логика). Техника методов подтверждения Г., в частности её вероятности при данном уровне знания, исследуется в индуктивной и вероятностной логике (см. Индукция), в теории статистич. решений. 2-е требование: Г. должна обладать достаточной общностью и предсказательной силой, т. е. объяснять не только те явления, из рассмотрения к-рых она возникла, но и все связанные с ними явления. Кроме того, она должна служить основой для вывода заключений о неизвестных ещё явлениях (свойство, характерное, в частности, для т. н. математич. Г.). 3-е требование: Г. не должна быть логически противоречивой. Из противоречивой Г. по правилам логики можно вывести любые следствия, как проверяемые в смысле 1-го требования, так и их отрицания. Противоречивая Г. заведомо лишена познавательной ценности. 1-е и 2-е требования отличают науч. Г. от т. н. рабочих Г., рассчитанных только на условное объяснение данного явления и не претендующих на отображение действительного положения вещей. Рабочие Г. часто используются как промежуточные звенья в науч. построениях благодаря их дидактич. ценности.

Лит.: Нави ль Э., Логика гипотезы, СПБ, 1882; Джевонс С., Основы науки, СПБ, 1881, гл. 23; Асмус В. Ф., Гипотеза, в кн.: Логика, М., 1956; Кузнецов И. В., О математической гипотезе, Вопросы философии, 1962, № 10; Поиа Д., Математика и правдоподобные рассуждения, пер. с англ., М., 1957; Копнин П. В., Гипотеза и познание действительности, К., 1962; Новосёлов М. М., К вопросу о корректном применении вероятностных методов при анализе мыслительных задач, Вопросы психологии, 1963, №2;Вилькеев Д. В., Роль гипотезы в обучении, Советская педагогика, 1967, №6; Баженов Л. Б., Современная научная гипотеза, в кн.: Материалистическая диалектика и методы естественных наук, М., 1968.

Б. В. Бирюков, М. М. Новосёлов.

ГИПОТЕНЗИВНЫЕ СРЕДСТВА (от ги-по... и лат. tensio - напряжение, давление), лекарств, вещества, вызывающие снижение артериального кровяного давления; применяют при лечении гипертонич. болезни. См. Сосудорасширяющие средства.

ГИПОТЕНУЗА(греч. hypoteinusa), сторона (АВ на рис.) прямоугольного треугольника ABC, лежащая против прямого угла, наибольшая сторона прямоугольного треугольника.

ГИПОТЕРМАЛЫНЫЕ МЕСТОРОЖДЕНИЯ, один из классов гидротврмалъ-ных месторождений полезных ископаемых, образовавшихся на макс, гл-убине, при большом давлении и при высокой темп-ре (500-300;С). Выделен амер. геологом В. Линдгреном (1907).

Лит.: Смирнов В. И., Геология полезных ископаемых, 2 изд.,, М., 1969. В. И. Смирнов.

ГИПОТЕРМИЯ (от гипо... и греч. ther-me - тепло), охлаждение, понижение темп-ры тела у теплокровных животных и человека в результате отдачи тепла, превосходящей его образование в организме. При низкой темп-ре среды человека и животных защищает от Г. теплоизоляция (жировой слой, мех, перья, одежда); при её недостаточности возникают физиологич. реакции на охлаждение: ограничение теплоотдачи с кожи вследствие оттока от неё крови к внутр. органам, резкое повышение обмена и увеличение теплопродукции в мышцах при движениях, работе, мышечной дрожи. Г. у человека на холоде может развиться только после истощения этих механизмов, засыпания от усталости или при полной неподвижности, но легко возникает при нарушенной терморегуляции (опьянение, шок, наркотич. сон, кровопотеря и др.). В холодной воде теплоотдача возрастает в огромной степени, повышение тештопроизводства её не компенсирует. При темп-ре воды 0 - 4 ;С смерть от Г. может наступить через 40-60 мин. Снижение темп-ры тела до 33-32; С вызывает сонливость и помрачение сознания, ниже 30 ;С-прогрессирующее снижение обмена, кровяного давления, замедление сердцебиений, дыхания, при 27-26;С - потерю сознания, ок. 23-20;С - остановку дыхания, потом сердца. Физиологич. Г. наблюдается у нек-рых животных при зимней спячке как приспособит, реакция, позволяющая им месяцами обходиться без пищи при малой потере массы. Охлаждённые ткани (мозга, сердца и др.), обмен к-рых при Г. резко снижен, легче переносят недостаток кислорода и длительнее переживают прекращение кровообращения. На этом основано применение искусств. Г. в совр. хирургии.

П. Н. Весёлкин.

Г. искусственная - общее охлаждение теплокровного организма, достигаемое с профилактич. и леч. целями на фоне торможения центральных механизмов терморегуляции. Первые исследования по действию холода на организм человека и возможность леч. использования Г. связаны с именем англ, хирурга Д. Л. Кар-ри (1798). Дальнейшее изучение Г. проводилось в 19 - нач. 20 вв. на животных. В 1940 амер. учёные Л. Смит и Т. Фей предприняли попытку лечения рака, проводя Г. в течение 5-8 дней. Попытка не увенчалась успехом, но была доказана возможность длит, сохранения жизненных функций организма человека в условиях общей Г. при 28-30;С и наркоза. Широкое внедрение Г. в клинич. практику началось после 1950, когда канад. учёный У. Бигелоу в экспериментах на животных доказал возможность безопасного выключения сердца и прекращения кровообращения на 10-15 мин при t 26-28;С. В 1952 амер. врачи Ф. Леви и М. Тау-фик выполнили первую в мире операцию на открытом сухом сердце (т. е. с выключением сердца из кровообращения) в условиях умеренной Г., а спустя ещё неск. лет операции на сердце под Г. прочно вошли в повредневную практику. Основной эффект Г. обусловлен снижением под действием холода интенсивности обменных процессов и в связи с этим уменьшением потребностей органов и тканей в кислороде.

При блокаде механизмов терморегуляции потребление кислорода организмом снижается. Установлено, что при г 26 - 27;С общее потребление кислорода снижается на 40%, потребление кислорода мышцей сердца уменьшается на 50%, мозгом - на 33% .

Г. может быть осуществлена погружением больного в ванну с холодной водой, обкладыванием тела пузырями со льдом, использованием спец. одеял, в к-рых циркулирует холодная вода, помещением больных в спец. установки, куда нагнетается холодный воздух, и т. д. Применяют также различные методы охлаждения крови вне организма с помощью теплообменников - экстракорпоральное охлаждение. Начинает получать распространение методика кранио-церебральной гипотермии (КЦГ), состоящая в охлаждении головы, что наиболее эффективно при оживлении организма и при крайне тяжёлых (терминальных) состояниях.

Однако Г. является патологич. состоянием для теплокровного организма. Под влиянием Г. изменяется работа сердца, повышается его раздражимость. Отмечаются преходящие нарушения функции почек, печени, сосудистого тонуса и др. Наилучшим способом предупреждения ответной реакции организма на Г. является поверхностный наркоз на фоне полного расслабления мышц (курарепо-добными средствами) и торможения ней-роэндокринной системы комплексом спец. фармакологич. средств.

Наиболее целесообразным при операциях на сердце является Г. при (29 - 30 ;С, т. к. охлаждение до более низких темп-р чревато опасностью нарушения сердечной деятельности (фибрилляции сердца). Допустимый срок выключения сердца при этой темп-ре не более 10 мин.

В леч. целях при последствиях гипоксии, тяжёлой черепно-мозговой травме, выраженной гипертермии и др. Г. может применяться в течение мн. дней. Леч. эффект Г. во многом зависит от своевреценного, (раннего её применения. См. также Криотерапия.

Лит.: Бартон А. и Эдхолм О., Человек в условиях холода, пер. с англ., М., 1957; Петров И. Р. иГублер Е. В., Искусственная гипотермия, Л., 1961; Петровский Б. В., Соло вьёвГ.М., Бунятян А. А., Гипотермическая перфузия в хирургии открытого сердца, Ер., 1967; Дарбинян Т. М., Современный наркоз и гипотермия в хирургии врождённых пороков сердца, М., 1964; Cooper К. and Ross D., Hypothermia in surgical practice, L., 1960. А. А. Бунятян.

ГИПОТИАЗИД, венгерский лекарственный препарат, обладающий сильным мочегонным действием; соответствует советскому дихлотиазиду.

ГИПОТИРЕОЗ [от гипо... и лат. (glan-dula) thyreoidea - щитовидная железа], понижение функции щитовидной железы. Г.- нерезко выраженная форма ми-кседемы. Осн. признаки Г.: утомляемость, физич. и психич. вялость, сонливость, медлительность, снижение памяти, зябкость, одутловатость лица, отёчность век, сухость кожи, выпадение волос, запоры, понижение основного обмена и др. Лечение: гормонотерапия.

ГИПОТОНИЧЕСКИЕ РАСТВОРЫ в биологии, различные растворы, осмотическое давление к-рых ниже, чем в клетках растительных или животных тканей. В Г. р. клетки насасывают воду, увеличиваясь в объёме, и теряют часть осмотически активных веществ (органич. и минеральных). Эритроциты крови животных и человека в Г. р. разбухают до такой степени, что их оболочки лопаются и они разрушаются. Это явление наз. гемолизом. Ср. Гипертонические растворы и Изотонические растворы.

ГИПОТОНИЯ, гипотензия [от гипо... и греч. tonos (лат. tensio) - напряжение], снижение тонуса (напряжения) ткани, органа или системы. Наиболее часто термин Г. применяют для обозначения понижения кровяного давления ниже 105/65 мм рт. ст. (14/8,7кн/м2) у мужчин и 96/60 мм рт. ст. (13,2/8 кн/м2) у женщин вследствие снижения тонуса сердечно-сосудистой системы. Выделяют неск. форм сосудистой Г.

Физиологическая, или адаптационная, форма Г. встречается у мн. людей (физически тренированные люди, спортсмены, жители юж. р-нов и др.); понижение артериального давления не сопровождается к.-л. болезненными симптомами и полностью компенсируется гемодинамич. величинами. Спец. лечения не требуется. Симптоматическая Г. - один из признаков ряда заболеваний (мн. инфекц. болезни, туберкулёз, опухоли, нек-рые заболевания сердца и др.). Лечение направлено на устранение осн. заболевания. Первичная, или неиро-циркуляторная, Г. развивается как самостоят, патологич. процесс в результате вредных влияний на нейрогу-моральный аппарат, регулирующий сосудистый тонус (отрицат. эмоции, перегрузка нервной системы в результате умственного перенапряжения, вредные привычки - курение, употребление алкоголя; нек-рые проф. вредности и т. п.). Эта форма Г. может возникать внезапно и проявляться коллапсом, обмороком, шоком. Хронически протекающая первичная Г, проявляется головными болями, головокружением, понижением адаптации к перемене положения тела, плохим сном, сердцебиением и т. п. В случае прогрессирования процесса развивается гипото-нич. болезнь. Лечение: возможное устранение причины, вызвавшей Г., правильный режим труда, отдыха и питания, леч. гимнастика, физиотерапевтич. процедуры, медикаментозная терапия; сан.-курортное лечение.

Лит.: Молчанов Н. С., Гипотонические состояния, Л., 1962 (библ.).

Н. С. Молчанов.

ГИПОФАРИНКС (от гипо... и греч. pharynx - глотка), 1) язычкообразное выпячивание стенки ротовой полости у насекомых. Начинается между жвалами, нижней челюстью и нижней губой, с к-рой обычно частично срастается. У кровососущих двукрылых насекомых Г.- важный элемент хоботка. 2) У позвоночных животных и человека - нижний отдел глотки.

ГИПОФИЗ (от греч. hypophysis - отросток), нижний мозговой придаток (hypophysis cerebri, glandula pituitaria), железа с внутренней секрецией, играющая у всех позвоночных животных и у человека ведущую роль в гормональной регуляции. Г. расположен в турецком седле осн. кости черепа, у основания головного мозга и связан с ним посредством ножки (воронки), представляющей собой вырост дна 3-го мозгового желудочка. Форма, размер и вес Г. различны у разных видов и зависят от возраста и физиологич. состояния организма. У человека Г. весит 0,5 - 0,6 г. В Г. различают три доли: переднюю (железистую), среднюю (промежуточную) и заднюю (нервную). Передняя и средняя доли закладываются у зародыша в виде выпячивания эпителия крыши первичной ротовой полости; задняя доля образуется из дна воронки промежуточного мозга. Эмбриональный зачаток передней и средней долей в дальнейшем отделяется от эпителия первичной ротовой полости, растёт по направлению к мозгу и срастается с зачатком задней доли. Лишь у нек-рых хрящевых рыб связь передней доли Г. с эпителием первичной ротовой полости сохраняется и у взрослых организмов. У одних млекопитающих, напр, у кошки, задняя доля Г. имеет полость, сообщающуюся с полостью 3-го желудочка, у других, напр, у собаки, полость сохраняется только в ножке, соединяющей Г. с промежуточным мозгом; у нек-рых млекопитающих (напр., у кролика и у всех приматов) задняя доля и ножка Г. лишены полости и представляют собой плотные образования. У взрослого организма Г. тесно связан анатомически с головным мозгом. Г. снабжён большим кол-вом нервных волокон, вступающих в него через ножку из гипотала-мич. области (см. Гипоталамус) и по стенкам гипофизарных артерий - из нервного сонного сплетения.

Передняя доля Г. взрослого организма состоит из железистого эпителия, в к-ром выделяют 3 типа клеток, различающихся по способности окрашиваться кислыми или осн. красками: хромофобные, или главные, клетки; оксифильные, или эозинофильные, клетки и базофильные клетки. Хромофобные клетки - резервный материал, из к-рого развиваются оксифильные и базофильные клетки. Соотношение оксифильных и базофиль-ных клеток в передней доле Г. меняется в зависимости от пола, возраста и физиологич. состояния организма. Так, после удаления щитовидной железы (тиреоид-эктомия) кол-во оксифильных клеток резко уменьшается, вплоть до полного исчезновения, базофильные клетки, дегенерируя, превращаются в т. н. клетки тиреоидэктомии; после кастрации базофильные клетки гипертрофируются и превращаются в т. н. клетки кастрации. Изменения в клеточном составе передней доли Г., наступающие после удаления щитовидной железы или кастрации, могут быть предотвращены или устранены введением тироксина или половых гормонов. Средняя доля Г. состоит из эпителиальной ткани. Задняя доля Г. образована нейроглией, в к-рой содержатся большие пирамидальные или веретенообразные клетки, т. н. питуициты. Наиболее сложна и разнообразна физиологич. роль передней доли Г., от нормальной функции к-рой зависят рост и размножение, основной, углеводный, минеральный, жировой и белковый обмен. Из экстракта передней доли Г. выделено 7 гормонов: гормон роста, или соматотропный гормон, тиреотропный гормон, фоллику-лостимулирующий гормон, лютеинизи-рующий гормон, лютеотропный гормон, пролактин (лактогенный) и адренокор-тикотропный гормон (АКТГ). Все гормоны передней доли имеют белковую природу и получены в очищенном виде, нек-рые из них, напр, гормон роста и лактогенный, выделены в кристаллич. форме, др. синтезированы (напр., АКТГ). Тиреотропный и гонадотропные гормоны продуцируются базофильными клетками, к-рые в соответствии с этим делят на два типа: т. н. тиреотрофы и гонадотрофы. Оксифильные клетки вырабатывают гормон роста и пролактин. Вопрос о клетках, продуцирующих АКТГ, не решён; вероятно, он образуется базофилами.

Гормон роста. Хирургич. удаление Г. (гипофизэктомия) у молодого животного приводит к остановке роста. Инъекции таким животным гипофизар-ного экстракта, содержащего гормон роста, восстанавливают у них нормальный рост. Введение гормона роста молодым растущим животным резко стимулирует рост и приводит к гигантизму (в эксперименте были получены гиганты амбистомы, крысы, собаки и др. животных); у человека избыточное выделение гормона роста вызывает заболевание с явлениями гигантизма или акромегалии. Пониженное выделение гормона роста обусловливает карликовый рост (см. Нанизм). Ф о л-ли кулостимулирующий, лютеинизйрующии и лютео-тропный гормоны. Атрофия половой системы, наступающая после удаления Г., может быть предотвращена введением гонадотропных гормонов. У инфантильных животных введение этих гормонов вызывает преждевременное половое созревание. Инъекция гипофизар-ного экстракта, содержащего гонадотроп-ные гормоны, лягушкам вызывает у них икрометание и сперматогенез в осеннее и зимнее время; из икры после оплодотворения развиваются нормальные головастики. Фолликулостимулирующий гормон регулирует рост фолликулов в яичниках и сперматогенез. Лютеинизирующий гормон вызывает у самок преждевременный рост фолликулов, овуляцию, образование жёлтого тела, а у самцов - секрецию муж. полового гормона межуточными клетками семенника, т. е. клетками Лей-дига. Лютеотропный гормон поддерживает функцию жёлтого тела; у нек-рых животных (крыса, овца) этот гормон вызывает лактацию. Пролактин (лак-тогенный гормон). Участвует в регуляции процесса выделения молока. Удаление передней доли Г. у лактирующих самок прекращает секрецию молока; введение пролактина восстанавливает лактацию. Тиреотропный гормон. Удаление передней доли Г. вызывает атрофию щитовидной железы и, как следствие этого, снижение основного обмена. Инъекции гипофизарного экстракта, содержащего Тиреотропный гормон, вызывают увеличение щитовидной железы и усиление её функции. А К Т Г стимулирует деятельность коры надпочечников и выделение ею кортикостероидных гормонов, а также восстанавливает атрофированную в результате удаления Г. железу. Влияние передней доли Г. на обмен веществ осуществляется через гормон роста, АКТГ и др. гормоны.

Средняя доля Г. вырабатывает гормон интермедии, или меланоци-тостимулирующий гормон, влияющий на окраску кожи рыб и земноводных. Физиологич. значение этого гормона у птиц и млекопитающих неясно.

Задняя доля Г. принимает участие в регуляции уровня кровяного давления, мочеотделения (гормон вазопрес-с и н) и деятельности мускулатуры матки (гормон окситоцин). Вазопрессин и окситоцин образуются в паравентрику-лярных и супраоптических ядрах гипоталамуса, откуда они поступают в заднюю долю Г. Оба гормона синтезированы.

Функции Г. зависят от условий внеш. среды. Из опытов, проводимых на птицах и млекопитающих, установлено, что свет регулирует гонадотропную, тиреотроп-ную и адренокортикотропную функции Г.; действие света на Г. осуществляется через центральную нервную систему. Доказано также, что эндокринные функции Г. находятся под контролем гипоталамуса, в к-ром вырабатываются особые нейрогуморальные вещества пептидной природы - т. н. высвобождающие, или релизинг-факторы, стимулирующие гуморальным путём секрецию гормонов Г. (см. Нейрвсекреция).

Патология Г. Нарушения нормальной деятельности Г. могут выражаться повышением (гиперпитуитаризм) или ослаблением (гипопитуитаризм) его отдельных функций, реже - в полном их выпадении. Повышение внутр. секреции Г. проявляется расстройствами роста и развития в детском возрасте - гигантизмом, у взрослых - акромегалией. Ослабление или выпадение функций Г. в детском возрасте приводит к задержке роста (карликовый рост), психич. развития, инфантилизму, атрофии щитовидной железы и коры надпочечников, глубоким изменениям углеводного и жирового обмена, понижению окислит, процессов и др.; у взрослых - к ожирению, прекращению полового цикла, атрофии щитовидной, половых желез и коры надпочечников и др. В механизме развития ряда т. н. гипофизарных заболеваний (Иценко-Ку-шинга болезнь, диабет несахарный, преждеврем. половое созревание и др.) решающее значение имеют первичные нарушения деятельности гипоталамуса. Лит.: Киршенблат Я. Д., Общая эндокринология, М., 1965; Гипоталамическая регуляция передней части гипофиза, пер. с англ., Будапешт, 1965; Лейте с С. М., Лаптева Н. Н., Очерки по патофизиологии обмена веществ и эндокринной системы, М., 1967; Э с к и н И. А., Основы физиологии эндокринных желез, М., 1968; Тонких А. В., Гипоталамо-гипофизарная область и регуляция физиологических функций организма, М.- Л., 1965; S с h г е i-b е г V., The hypothalamo-hypophysial system, Prague, 1963. И. А.Эскин, Л.М.Голъбер.

ГИПОФОСФАТЫ, соли фосфорноватой кислоты Н4Р2О6. См. Фосфор.

ГИПОФОСФИТЫ, соли фосфорноватистой кислоты Н3РО3. См. Фосфор

ГИПОФУНКЦИЯ (от гипо... и функция), недостаточная интенсивность деятельности (функции) к.-л. органа, ткани, системы, что мажет вести и к нарушению жизнедеятельности организма (напр., Г. щитовидной железы - уменьшение выработки гормона тироксина - ведёт к понижению обмена веществ и микседеме). Ср. Гиперфункция.

ГИПОХЛОРИТЫ, соли хлорноватистой кислоты НСlО.

ГИПОХОЛЕСТЕРИНЕМИЧЕСКИЕ СРЕДСТВА, лекарственные вещества, понижающие содержание холестерина в крови и применяемые для лечения и профилактики атеросклероза. По механизму действия выделяют три осн. группы Г. с.: нарушающие всасывание холестерина из кишечника, блокирующие синтез холестерина и усиливающие его выделение и распад.

К 1-й группе относятся препараты, содержащие растит, стерты (напр., бета-ситостерин), действующие по принципу конкурентного антагонизма с холестерином и нек-рые вещества, содержащие сапонины (напр., диоспонин), к-рые при взаимодействии с холестерином образуют труднорастворимые комплексы.

Ко 2-й группе относят производные уксусной кислоты (напр., фенексан, цета-мифен), к-рые задерживают синтез холестерина. Из препаратов 3-й группы наиболее известны d-тироксин и тироксино-подобные вещества. Гипохолестеринемич. действие оказывают также препараты и масла, содержащие ненасыщенные жирные кислоты (линетол, кукурузное масло). Содержание холестерина в крови в некоторых случаях снижается в результате применения нейротропных средств (барбамила, фенобарбитала, хлоралгидрата, аминазина, тропафена, бензогексо-ния и др.), витаминов С, B6,B12, Е, РР, нек-рых желчегонных средств, муж. половых гормонов, и др.

Лит.: Мясников А. Л., Атеросклероз, М., 1960; Машковский М. Д., Лекарственные средства, 6 изд., ч. 1, М., 1967. Р. И. Квасной.

ГИПОХОРДА (от гипо... и греч. chorde - струна), тяж мезодермального происхождения, располагающийся под хордой у зародышей большинства позвоночных. Сохраняется на ранних стадиях развития и исчезает у взрослых форм. У круглоротых, рыб и земноводных Г. развита лучше, чем у пресмыкающихся и птиц, у к-рых она рудиментарна. У млекопитающих наличие Г. точно не установлено.

ГИПОЦЕНТР (от гипо... и лат. centrum - центр), центральная точка очага землетрясения. Глуб. залегания Г. колеблется от 0 до 700 км. Источником подземного толчка служат подвижки по тектонич. разрывам, обладающим б. или м. значит, протяжённостью, до сотен км, и тогда под Г. надо понимать точку, откуда началось вспарывание разрыва. В верх, части земной коры (до 20 км) Г. появляются в результате хрупких деформаций в толще пород; более глубокие Г. возникают на общем фоне преобладания пластических деформаций.

ГИПОЦИКЛОИДА, плоская линия.

ГИППАРИОН (Hipparion), род ископаемых трёхпалых лошадей. Существовали с верхнего миоцена до конца плиоцена. Размером с небольшую лошадь (высота в холке до 1,5 м). Коренные зубы более низкие, чем у лошадей рода Equus, боковые пальцы (2-й и 4-й) небольшие, но могли раздвигаться в стороны, препятствуя погружению конечностей в грунт. Г. жили многочисл. стадами (до неск. тыс. особей) на травянистых равнинах (типа саванн) с редкими перелесками и водоёмами. Были распространены в верхнем миоцене в Сев. Америке, где впервые появились; затем заселили все материки, кроме Юж. Америки и Австралии. Известно более 50 видов Г.; все они вымерли, не оставив потомков. Г. заменила однопалая лошадь, возникшая от близкого рода плиогиппус, к-рая была лучше приспособлена к условиям жизни в степях и расселилась из Сев. Америки по всем континентам.

Лит.: Ковалевский В. О., Палеонтология лошадей, М., 1948; Громова В., Гиппарион (род Hipparion), Тр. Палеонтологического ин-та, 1952, т. 36; Габуния Л. К., К истории гиппарионов, М., 1959. Б. А. Трофимов.

ГИППАРХ (Hipparchos) (ок. 180-190, Никея,-125 до н. э., Родос), древнегреч. учёный, один из основоположников астрономии. Вёл первые систематические наблюдения и исследования неба. Разработал теорию и составил таблицы движения Солнца и Луны, а также солнечных затмений (всё в геоцентрич. системе, идею гелиоцентризма Г. отвергал как недостаточно обоснованную гипотезу). Описал движение Луны вблизи полнолуния и новолуния; довольно точно оценил расстояние Луны от Земли. Составил (ок. 129 - 127 до н. э.) огромный по тем временам каталог положений 850 звёзд, где ввёл их разделение по блеску на б степеней (величин). Сравнивая свои положения звёзд с более ранними (3 в. до н. э.), открыл явление прецессии и довольно точно оценил её величину. В связи с этим определил продолжительность тропического года (ошибка не более 6') и различие его с сидерическим годом (15 мин, современное - 20 мин), определил наклон экватора к эклиптике (с ошибкой 5')- Г. ввёл геогр. координаты - широту и долготу. Соч. Г. в оригинале не сохранились, основные сведения о его трудах - в Альмагесте Птолемея.

Лит.: Селешников С. И., Астрономия и космонавтика, К., 1967; Еремеева А. И., Выдающиеся астрономы мира, М., 1966, с. 32 - 34 (список лит-ры о Г.).

А. И. Еремеева.

ГИППЕАСТРУМ (Hippeastrum), род луковичных травянистых многолетних растений сем. амариллисовых. Ок. 75 субтропич. и тропич. амер. видов, повсеместно разводимых (часто под назв. амариллис) в комнатной культуре и оранжереях, а на юге - ив открытом грунте. Растения с длинными лентовидными или ремне-видными листьями и крупными различной окраски воронковидными или колокольчатыми цветками, располож. на высоких цветоносах. В СССР в культуре Г. ленточный (Н. vittatum), Г. высокий (Н. procerum) и др. виды.

Лит.: Dictionary of gardening, 2 ed., v. 2, Oxf., 1956. М. Э. Кирпичников.

ГИППЕЛЬ (Hippel) Теодор Готлиб (1741-1796), немецкий писатель; см. Хиппель Т. Г.

ГИППИЙ И ГИППАРХ (Hippias, Hipparchos), правители-тираны в Афинах в 527-510 до н. э. (Др. Греция), сыновья и преемники Писистрата (Писистрати-ды). В нач. правления продолжали политику отца, в дальнейшем усилением политич. произвола и экономич. гнёта, внешнеполитич. неудачами вызвали возмущение афин. демоса. В 514 Гиппарх был убит заговорщиками, а Гиппий в 510 изгнан демосом, восставшим под руководством Клисфена.

Лит.: Лурье С. Я., Клисфен и Писистратиды, Вестник древней истории, 1940, № 2(11). С. С. Соловьёва.

ГИППИУС Евгений Владимирович [.р. 24.6(7.7).1903, Царское Село, ныне г. Пушкин Ленингр. обл.], советский музыковед и муз. этнограф, доктор искусствоведения (1958). Учился на Общественном факультете Петроградского ун-та. Окончил Ленингр. ин-т истории иск-в (1924) и науч.-композиторский ф-т Ленингр. консерватории (1928) по классам композиции М. О. Штейнберга, дирижирования Н. А. Малько и истории музыки Б. В. Асафьева. Специализировался в области собирания и изучения нар. музыки и поэзии. Участвовал в экспедициях по рус. Северу (Пинега, Мезень, Печора), Центр. России, Белорус. Полесью, Армении, Узбекистану. Изучал фольклор народов Сибири, угро-финских и тюркских народов, цыган, песни рус. рабочего и междунар. революционного движения. Основатель (1927) и науч. руководитель (до 1943) фонограмархива АН СССР, в 1939-41 зав. кафедрой нар. музыки Ленингр, консерватории, в 1944-49 проф. и зав. кафедрой муз. фольклора Моск. консерватории. В 1946-52 старший науч. сотрудник Ин-та этнографии, в 1959-63 - Моск. ин-та истории иск-в. С о ч?: Крестьянская лирика, в кн.: Русский фольклор, Л., 1935; Песни Пинежья,

кн. 2, М., 1937 (совм. с 3. В. Эвальд); Интонационные элементы русской частушки, Советский фольклор, 1936, № 4-5; Эй, ухнем. Дубинушка. История песен, М., 1962; Красное знамя. Из истории песни трех русских революций, М., 1969 (совм. с П. Г. Ширяевой).

ГИППИУС Зинаида Николаевна [8(20). 11.1869, Белев, ныне Тульской обл.,-9.9. 1945, Париж], русская писательница. Жена Д. С. Мережковского. В 1888 опубл. первые стихи. Характерная представительница декадентства в русской литературе, Г. сочетала в своих стихах проповедь чувственной любви, ницшеанские мотивы возвеличения личности с религ. смирением. Автор романов Чёртова кукла (1911), Роман-царевич (1913), пьес Маков цвет (1908, совм. с Д. Мережковским и Д. Философовым) и Зелёное кольцо (1916), мемуаров Живые лица (1925). Как критик (псевд. Антон Крайний) Г. выступила с защитой символизма (Литературный дневник, 1908). Октябрьскую революцию встретила крайне враждебно. В эмиграции (с 1920) выступала в статьях и стихах с резкими нападками на сов. строй.

Соч.: Собр. стихов, кн. 1 - 2, М., 1904-10.

Лит.: История русской литературы конца XIX - начала XX века. Библиографич. указатель, М. - Л., 1963.

ГИППОДАМ из Милета (Hip-podamos), древнегреческий архитектор-градостроитель 5 в. до н. э. С именем Г. связывают разработку принципа регулярной планировки городов (т. н. гипподамо-ва система; подробнее см. в ст. Греция Древняя). Г. приписывают планировку Пирея (после 446 до н. э.), г. Родоса (408-407 до н. э.), Фурий (на терр. совр. Италии; 443 до н. э.).

Лит.: Castagnoli F., Ippodamo di Mileto..., Roma, 1956.

ГИППОДРОМ (греч. hippodromes), у древних греков и римлян место конных скачек и состязаний в езде на колесницах; см. Ипподром.

ГИППОКРАТ (Hippokrates) [460 до н. э., о. Кос,-377 до н. э. (по др. данным - 356 до н. э.), ок. Ларисы, Фессалия], древнегреческий врач, реформатор антич. медицины. Мед. образование получил под руководством своего отца Геракли-да, мать Г., Фенарета, была повитухой. Считают, что Г. относился к 17-му поколению врачебной семьи, из к-ррй вышла косская школа врачей. Г. вёл жизнь странствующего врача (периодевта) в Греции, М. Азии, Ливии; посетил берега Чёрного м., был у скифов, что позволило ему ознакомиться с медициной народов Передней Азии и Египта. Сочинения, дошедшие до нас под именем Г., представляют собой сборник из 59 сочинений различных авторов, собранных воедино учёными Александрийской б-ки. Самому Г. приписывают чаще всего след, соч.: О воздухе, воде и местности, Прогностика, Диета в острых болезнях, 1-я и 3-я книга Эпидемии, Афоризмы, Вправление сочленений, Переломы, Раны головы.

Заслугой Г. было освобождение медицины от влияний жреческой, храмовой медицины и определение пути её самостоят, развития. Г. учил, что врач должен лечить не болезнь, а больного, принимая во внимание индивидуальные особенности организма и окружающую среду. Он исходил из мысли об определяющем влиянии на формирование телесных (конституция) и душевных (темперамент) свойств человека факторов внешней среды. Г. выделял эти факторы (климат, состояние воды, почвы, образ жизни людей, законы страны и пр.) с точки зрения их влияния на человека. Г. явился родоначальником географии медицинской. Различал по конституции осн. 4 типа людей - сангвиники, холерики, флегматики и меланхолики. Разрабатывал вопросы этиологии, отрицая при этом сверхъестественное, божественное происхождение болезней. Установил осн. стадии развития болезни, разрабатывал вопросы диагностики. Выдвинул 4 принципа лечения: приносить пользу и не вредить, противоположное лечить противоположным, помогать природе и, соблюдая осторожность, щадить больного. Г. известен и как выдающийся хирург; разработал способы применения повязок, лечение переломов и вывихов, ран, фистул, геморроя, эмпием. Г. приписывают текст т. н. врачебной клятвы (Клятва Гиппократа), сжато формулирующей моральные нормы поведения врача (хотя первоначальный вариант клятвы существовал ещё в Египте). Г, называют отцом медицины.

Соч.: Избранные книги, пер. с греч.. [М.], 1936; Сочинения, пер. с греч., т. 2-3, М.- Л., 1941-44.

Лит.: Бородулин Ф. Р., Лекции по истории медицины, Лекция 4-6, М., 1955; История медицины. [Ред. Б. Д. Петрова], т. 1, М., 1954. И.Б.Розанов.

ГИППОКРАТ ХИОССКИЙ (Hippokrates) (2-я пол. 5 в. дон. э.), древнегреческий геометр, автор первого систематич. соч. по геометрии (не дошедшего до нас), к-рое, вероятно, охватывало материал первых 4 книг Начал Евклида. В поисках решения квадратуры круга Г. X. нашёл квадратуры трёх т. н. гиппокра-товых луночек.

Лит.: Кольман Э., История математики в древности, М., 1961, с. 103 - 05.

ГИППОКРАТОВЫ ЛУНОЧКИ, три фигуры, указанные Гиппократом Хиосским, каждая из к-рых ограничена дугами двух окружностей и для каждой из к-рых с помощью циркуля и линейки можно построить равновеликие прямолинейные фигуры. Построение одной из Г. л. ясно из рисунка; площадь заштрихованной Г. л. равна площади равнобедренного треугольника ABC. Другие Г. л. получаются более сложным путём.

ГИППОПОТАМ (греч. hippopotamos, букв.- речная лошадь), парнокопытное млекопитающее; то же, что бегемот.

ГИППУРИТЫ (Hippuritidae), вымершее семейство двустворчатых моллюсков отр. рудистов (Rudistae). Найдены в верхнемеловых отложениях. Створки раковины резко различаются: правая - бокаловидная, до 1 л высотой, левая - слабо выпуклая или вогнутая. Обитали в морях. Вели прикреплённый образ жизни, прирастали к грунту правой створкой.

Лит.: Основы палеонтологии. Моллюски - панцирные, двустворчатые, лопатоногие, М.. 1960.

ГИППУРОВАЯ КИСЛОТА, бензоилглицин, C6H5CONH2CH2COOH, соединение остатков бензойной кислоты и глицина. Бесцветное кристаллическое вещество, tпл 187,5°С. Образуется у большинства животных и у человека преим. в печени. Выводится с мочой. Биологич. значение синтеза Г. к. в организме - связывание бензойной к-ты, освобождающейся при разрушении ароматич. соединений, входящих в состав растит, тканей. В кли-нич. практике пробой на синтез Г. к. (проба Квика) устанавливают способность печени обезвреживать ядовитые вещества.

ГИПС (от греч. gypsos - мел, известь), минерал, водная сернокислая соль кальция CaSO4*2H2O; в чистом виде содержит 32,56% CaO, 46,51% SO3 и 20,93% H2O. Кристаллизуется в моноклинной системе. Структура кристаллич. решётки Г. относится к типу слоистой. Двойные слои состоят из тетраэдров [SO4], связанных через кальций. Кристаллы пластинчатые, столбчатые (одиночные или сросшиеся в виде двойников - т. н. ласточкин хвост, см. рис.), игольчатые и волокнистые. Встречается преим. в виде сплошных зернистых (алебастр) и волокнистых (селенит) масс, а также различных кристаллич. групп (гипсовые цветы и пр.). Чистый Г. бесцветен и прозрачен, при наличии примесей имеет серую, желтоватую, розоватую, бурую и др. окраски. Твёрдость по минералогич. шкале 1,5; плотн. 2300 кг/м3; растворимость 2,05 г/л при 200C (наибольшая - между 32 и 410C). Осаждается из водных растворов, богатых сульфатными солями (при усыхании мор. лагун и солёных озёр). Г. выпадает при относительно небольшой солёности, при её повышении вместо Г. начинает выпадать безводный сернокислый кальций - ангидрит, а затем соли. Вследствие этого Г. часто встречается совместно с ангидритом, реже с галитом и др. солями. Мн. месторождения образовались при гидратации ангидрита. Осн. месторождения Г. относятся к осадочному типу и широко распространены в отложениях различного возраста. В СССР наиболее крупные месторождения находятся в Донбассе, Московской, Куйбышевской, Пермской областях, на Кавказе и в Средней Азии. Г. широко применяют для получения вяжущих материалов (см. Гипсовые вяжущие материалы); для изготовления гипсобетона, гипсовых и гипсобетонных изделий', как поделочный (селенит) и облицовочный камень; в производстве красок, эмали, глазури; для гипсования почвы; в медицине, оптике. Г. служит исходным материалом в растворах, предназначенных для выполнения полых форм со скульпт. оригинала; в этих формах отливают тождеств, оригиналу копии из бронзы, фарфора и др. материалов, либо из Г. (детали лепного архит. декора; см. также Слепок). Г. входит в состав ганча и стукко, хорошо поддаётся тонировке и раскраске.

Лит.: Будников П. П., Гипс, его исследование и применение, 3 изд., М.- Л., 1943. В. П. Петров.

ГИПСОБЕТОН, гипсовый бетон, вид бетона, изготовляемого на основе гипсовых вяжущих материалов (гл. обр. строит, гипса). Применяется для произ-ва гипсобетонных изделий (см. Гипсовые и гипсобетонные изделия). Для изготовления Г. используются каменные минеральные (преим. с пористой и шероховатой поверхностью) и органические (древесные опилки, сечка соломы и пр.) заполнители. В Г. вводятся добавки, замедляющие схватывание, а также повышающие его водо- и атмосферостой-кость. Прочность Г. зависит от тех же факторов, что и прочность обычного цементного бетона (см. Бетон).

ГИПСОВАНИЕ ПОЧВ, внесение в почву гипса для устранения избыточной щёлочности, вредной для многих с.-х. растений; способ химич. мелиорации солонцов и солонцеватых почв. Гипсование основано на замене натрия, поглощённого почвой, кальцием, в результате чего улучшаются её неблагоприятные физико-химич. и био-логич. свойства и повышается плодородие. Дозы гипса (устанавливают по количеству натрия в корнеобитаемом слое почвы, к-рый необходимо заместить кальцием) от 3-4 до 10-15 т/га, наибольшие - на содовых солонцах. Гипс вносят в 2 приёма: перед вспашкой и после неё под культивацию. На солонцеватых почвах, содержащих меньшее количество натрия, чем солонцы, гипс (3-4 ц/га) вносят в рядки вместе с семенами. Г. п. проводят в комплексе с агротехнич. мероприятиями: глубокая вспашка (на 40 - 50 см) с перемешиванием солонцового слоя (это даёт возможность переместить гипс, содержащийся в подпахотном слое, в пахотный слой), орошение, внесение органич. удобрений, снегозадержание и задержание талых вод, посев многолетних трав.

Для Г. п. применяют в основном сыро-молотый гипс (из природных залежей), фосфогипс - отходы произ-ва удобрений, отходы содовой пром-сти. Продолжительность перехода солонцов под действием гипса в культурную почву, т. е. мелиоративный период, 8-10 лет в неорошаемых условиях и 5-6 лет при орошении. Ср. прибавка урожая зерна при внесении гипса составляет в чернозёмной зоне (без орошения) 3-6 ц/га, в зоне каштановых почв 2-7 ц/га. На орошаемых землях эффективность Г. п. повышается.

Лит.: Химизация сельского хозяйства. Научно-технический словарь-справочник, под ред. Л. Л. Балашева и С. И. Вольфкови-ча, 2 изд., М., 1968, с. 5-6. Л. Л. Балашев.

ГИПСОВАЯ ПОВЯЗКА, быстро отвердевающая повязка, широко применяемая для иммобилизации (ооездвижения) при лечении повреждений и заболеваний опор-но-двигат. аппарата. Первым Г. п. применил Н. И. Пирогов во время Крымской войны 1853-56. Для наложения Г. п. применяют гипсовые бинты, т. е. марлевые бинты с втёртым в них гипсом, к-рые опускают в таз с водой комнатной темп-ры, отжимают и накладывают или непосредственно на тело больного (бесподстилочная Г. п.), или на подстилку из серой ваты (подстилочная Г. п.). Плотно и равномерно прилегая к телу и точно воспроизводя контуры и форму соответствующей его части, Г. п. надёжно фиксирует повреждённую часть тела. Г. п. широко применяется в виде круговых повязок, гипсовых шин (лонгет), корсетов, кроваток и т. п. (см. рис.) при лечении закрытых, открытых переломов костей, .повреждений суставов, костно-суставного туберкулёза, для исправления деформаций, после различных операций на опорно-двигат. аппарате, при обширных ранах и язвах конечностей, в протезном деле и др. После наложения Г. п. на конечность в ней может нарушиться (из-за сдавления кровеносных сосудов) кровообращение. В случае появления синюшности или бледности периферич. отделов конечности, отёка, сильных болей, ощущения ползания мурашек, нарушения чувствительности и др. всю повязку немедленно разрезают вдоль. Над местом ограниченного давления, во избежание пролежня, вырезают окно (отверстие). А. В. Каплан.

ГИПСОВЫЕ ВЯЖУЩИЕ МАТЕРИАЛЫ, воздушные вяжущие материалы, получаемые на основе полуводного сульфата кальция либо безводного сульфата кальция (ангидритовые вяжущие). По условиям термич. обработки, а также по скорости схватывания и твердения Г. в. м. делятся на 2 группы: низкообжиговые (быстросхватывающиеся и быстротвер-деющие) - строит, и формовочный гипс, высокопрочный гипс, гипсоцементнопуц-цолановые вяжущие; высокообжиговые (медленно схватывающиеся и медленно твердеющие) - ангидритовый цемент, высокообжиговый гипс (эстрих-гипс).

Строительный гипс получают термич. обработкой в варочных котлах, вращающихся печах и др. техно-логич. установках при темп-ре 140- 190;С дроблёного или предварительно измельчённого в порошок природного гипса (гипсового камня). Начало схватывания гипсового теста наступает через 4- 15 мин после затворения водой. Предел прочности строит, гипса при сжатии достигает 10 Мн/м2 (100 кгс/см2). Строит, гипс применяется для произ-ва гипсовых изделий (гл. обр. для внутр. частей зданий), а также для штукатурных и кладочных работ.

Формовочный гипс и высокопрочны и гипс получают в основном теми же способами, что и строит, гипс, но из более чистого сырья; они отличаются повыш. прочностью, используются для изготовления различных форм и моделей в керамич. и нек-рых др. отраслях пром-сти, а также для произ-ва отделочных материалов и архит. деталей.

Гипсоцементнопуццолано-вые вяжущие (ГЦПВ), предложенные сов. учёным А. В. Волжен-ским, получают смешиванием строит, гипса и др. видов гипсовых вяжущих с портландцементом (или пуццолановым портландцементом) и кислой гидравлич. добавкой (трепел, диатомит, вулканич. пепел, трасс, туф, золы от сжигания бурых углей и др.). Эти смешанные вяжущие материалы отличаются от чистых Г. в. м. способностью к гидравлич. твердению и повыш. водостойкостью. Изделия из них имеют значительно меньшие пластич. деформации, чем изготовленные из строит, гипса и др. гипсовых вяжущих. ГЦПВ обычно содержат 50 - 75% гипса, 15-25/6 пуццолановой добавки (с активностью по поглощению окиси кальция более 200-250 мг/г). Соотношение между портландцементом и пуццолановой добавкой, от к-рого зависит долговечность изделий, определяется по спец. методике.

Ангидритовый цемент изготовляют обжигом природного гипса при темп-ре 600-700;С с последующим его измельчением совместно с добавками-катализаторами твердения (известь, бисульфат или сульфат натрия с железным или медным купоросом и пр.). Он используется для приготовления строит, растворов, бетонов, искусств, мрамора, декоративных изделий.

Высокообжиговый гипс (эстрих-гипс) получают обжигом природного гипса при темп-ре 800-1000;С с последующим тонким измельчением; применяется в тех же случаях, что и ангидритовый цемент. Изделия из эстрих-гипса, по сравнению с изделиями из строит, гипса, обладают более высокой водостойкостью и меньшей склонностью к пластич. деформациям.

Лит.: Будников П. П., Гипс, его исследование и применение, 3 изд., М.- Л., 1943; Волженский А. В., Роговой М. И., Стамбулко В. И., Гипсоцементные и гипсошлаковые вяжущие материалы и изделия, М., I960; Волженский А. В., Буров Ю. С., Колокольников В. С., Минеральные вяжущие вещества (технология и свойства), М., 1966. Г. С. Коган.

ГИПСОВЫЕ И ГИПСОБЕТОННЫЕ ИЗДЕЛИЯ, строительные изделия, изготовляемые на основе гипсовых вяжущих материалов (преим. строит, гипса) и гипсобетона. К Г. и г. и. относятся: панели , и плиты для перегородок, панели оснований полов, санитарно-технич. кабины, вентиляц. блоки, обшивочные листы (гипсовая сухая штукатурка) и др. Обладая рядом положит, свойств (сравнительно небольшая объёмная масса, огнестойкость, хорошая звукоизоляция), изделия из гипса и гипсобетона имеют и существ, недостатки (недостаточная водостойкость, сравнительно низкая прочность, ползучесть под нагрузкой, особенно при повыш. влажности), поэтому они в основном применяются в ненесущих и малонагруженных конструкциях, защищённых от влаги. Для повышения водостойкости изделия покрывают водонепроницаемыми защитными красками или пастами; повышение водостойкости и уменьшение ползучести достигаются также применением гипсоцементнопуццолановых вяжущих. Г. и г. и. могут быть сплошными и пустотелыми (при объёме пустот не менее 15%), армированными и неармированными.

Панели для перегородок из гипсобетона (рис. 1) применяют в помещениях с относит, влажностью воздуха не более 60% . Для жилых зданий панели изготовляют как сплошными, так и с проёмами для дверей и фрамуг размером на комнату (или на часть комнаты), высотой до 3, длиной до 6 м, толщиной 80 - 100 мм. Гипсобетон для панелей должен иметь предел прочности при сжатии не менее 3,5 Мн/м2 (35 кгс/см2). Требованиям звукоизоляции и прочности панелей удовлетворяет гипсобетон с объёмной массой 1250-1400 кг/м3. Панели изготавливаются преим. методом непрерывного формования на прокатных станах (рис. 2).

Применяется также кассетный способ изготовления в вертикальных формах. Для перегородок, подвергающихся при эксплуатации увлажнению (напр., в сан. узлах), используют панели, изготовляемые на основе гипсоцементнопуццола-нового вяжущего.

Плиты для перегородок выпускаются сплошные и пустотелые; изготовляются из гипсобетона или из гипсового теста (без заполнителей) с размерами 800x400 мм, толщиной 80 - 100 мм. Для формования плит применяют карусельные формовочные машины.

Панели оснований полов выпускаются размером на комнату или на часть комнаты, толщиной 50 - 60 мм. Изготовляются из гипсобетона на гипсоцементнопуццолановом вяжущем с керамзитом или древесными опилками и армируются деревянными реечными каркасами. Гипсобетон в высушенном до постоянного веса состоянии должен иметь предел прочности при сжатии не менее 7 Мн/м2 (70 кгс/см2) и объёмную массу до 1200 кг/м3. Укладка панелей на железобетонные плиты перекрытий осуществляется по звукоизоляционным прокладкам.

Санитарно-технич. кабины - объёмные элементы, формуемые в вертикальных формах или собираемые из отд. панелей. Для изготовления кабин применяется гипсобетон на гипсоцементнопуццолановом вяжущем. Стенки кабины армируются стальной сеткой. Поддоном кабины служит железобетонная плита, облицованная керамич. плиткой.

Вентиляционные блоки - плиты высотой на этаж, толщиной 180 мм, со сквозными вертикальными пустотами диаметром 140 мм. Изготовляются из гипсобетона на гипсоцементнопуццолановом вяжущем с песчаным заполнителем и формуются на передвижных вагонетках-формах.

Обшивочные листы (гипсовая сухая штукатурка) - листовой материал, применяемый для внутр. отделки стен и потолков в помещениях с относит, влажностью воздуха не более 70%. Листы состоят из гипсового сердечника, оклеенного картоном; изготавливаются на формовочных конвейерах и выпускаются дл. 2500-3300 мм, шир. 1200 мм, толщиной 8-10 мм. Обшивочные листы огнестойки, легко обрабатываются. Наряду с гипсовой сухой штукатуркой применяется также гипсоволокни-стая сухая штукатурка, изготовляемая без картона; в качестве армирующего материала применяют ор-ганич. волокнистые наполнители (измельчённая древесина, бумажная макулатура и др.), добавляемые к гипсу в количестве до 10% . Из гипса и гипсобетона с лёгкими заполнителями изготовляют также теплоизоляц. плиты и блоки, огнезащитные изделия для облицовки металлич. конструкций, шахт лифтов и т. п.