БОЛЬШАЯ  СОВЕТСКАЯ  ЭНЦИКЛОПЕДИЯ
В ЭНЦИКЛОПЕДИИ СОДЕРЖИТСЯ БОЛЕЕ 100000 ТЕРМИНОВ

А Б В Г Д Е Ж З И Й К Л М Н О П Р С Т У Ф Х Ц Ч Ш Щ Э Ю Я



КЛЕЙДЕСДАЛЬСКАЯ-КЛИМЕНТ

КЛЕЙДЕСДАЛЬСКАЯ ПОРОДА лошадей, порода тяжеловозов, выведенная в нач. 19 в. в Шотландии, в долине р. Клайд (англ. Clydesdale) путём скрещивания шотландских тяжеловозных кобыл с клевелендскими, фландрскими и шайрскими жеребцами. В Россию К. п. завезли в 19 в. и разводили в Починковском, Деркульском, Хреновском конных заводах и в Гаврилово-Посадской (б. Владимирской) гос. заводской конюшне. Завезённые в Россию клейдесдальские жеребцы имели среднюю высоту в холке 162 см, обхват груди 194 см, обхват пясти 25,5 см, живую массу 900-1100 кг; преобладающие масти - гнедая, караковая. В СССР К. п. использовали для улучшения местных упряжных лошадей Владимирской, Ивановской, Ульяновской и Тамбовской обл. и для выведения отечественной породы лошадей - владимирской тяжеловозной. Клейдесдалей разводят в Великобритании, США, Канаде, Италии, в Юж. Америке и Австралии.

КЛЕЙМЕНИЕ ЖИВОТНЫХ, см. Меченые сельскохозяйственных животных.

КЛЕЙМЁНОВ Иван Терентьевич (13.4.1898-1938), один из организаторов и руководителей работ по ракетной технике в СССР. Чл. КПСС с 1919. Род. в с. Старая Сурава Усманского уезда, ныне Липецкой обл. Окончил Военновоздушную академию им. Н. Е. Жуковского (1928). В 1932-33 нач. Газодинамической лаборатории, в 1933-37 нач. Реактивного института. Его именем назван кратер на обратной стороне Луны.

КЛЕЙН Роман Иванович [19(31).3. 1858-3.5.1924, Москва], русский архитектор. Учился в петерб. АХ (1877-82), затем в Париже у Ш. Гарнье (до 1884). Академик петерб. АХ (1907). Преподавал в Рижском политехнич. ин-те, находившемся в эти годы в Москве (1916-18), и в Высшем технич. уч-ще в Москве (1918-23). Сооружения К. отличаются высоким качеством исполнения, но эклектичны по характеру (преим. модернизов. классика). Гл. произв. К. в Москве - здание Музея изобразит, иск-в им. А. С. Пушкина (1898-1912), а также Средние торговые ряды на Красной площади (1892), здание универсального магазина "Мюр и Мерилиз" (ныне Центральный универмаг; 1908), Бородинский мост (1912). В 1918-24 К. участвовал в ряде архит. конкурсов на проекты рабочих посёлков для Донбасса, Грозного, Туапсе.

Р. И. Клейн. Здание Центрального универмага в Москве. 1908.

КЛЕЙН (Klein) Феликс (25.4.1849, Дюссельдорф, - 22.6.1925, Гёттинген), немецкий математик, чл.-корр. Германской АН в Берлине (1913). В 1865 поступил в Боннский ун-т, учился у Ю. Плюккера; доктор философии Боннского ун-та (1868). С 1872 проф. математики в Эрлангене, с 1875 в Мюнхенской Высшей технич. школе, а с 1880 в Лейпцигском ун-те. В 1886 К. переехал в Гёттинген, где оставался до конца жизни. Осн. работы К. по неевклидовой геометрии, теории непрерывных групп, теории алгебраич. уравнений, теории эллиптич. функций, теории автоморфных функций. Свои геометрич. идеи К. изложил в работе "Сравнительное рассмотрение новых геометрических исследований" (1872), известной под назв. эрлангенской программы. К. стремился раскрыть внутр. связи между отд. ветвями математики и между математикой, с одной стороны, физикой и техникой - с другой. К. в сотрудничестве с нем. учёным А. Зоммерфельдом написал 4-томное соч. "Теория волчка" (1910-23). Большой труд был вложен К. в создание "Энциклопедии математических наук" ("Enziklopadie der mathematischen Wissenschaften"). В течение почти 40 лет (с 1876) К. был гл. редактором журнала "Mathematische Annalen". Много занимался вопросами математич. образования; перед 1-й мировой войной организовал междунар. комиссию по реорганизации преподавания математики.

Соч.: Gesammelte mathematische Abhandlungen, Bd 1 - 3, В., 1921-23; в рус. пер.Высшая геометрия, М.- Л., 1939; Элементарная математика с точки зрения высшей, т. 1, 3 изд., т. 2, 2 изд., М.- Л., 1934-35; Неевклидова геометрия, М. -Л., 1936; Лекции о развитии математики в 19 столетии ч. 1, М.- Л., 1937.

КЛЕЙНА ПОВЕРХНОСТЬ, бутылка Клейна, замкнутая односторонняя поверхность, введённая в рассмотрение Ф. Клейном (1874). К. п. может быть получена из трубы (рис., я), открытой с обеих сторон, если, изогнув трубу, пропустить более узкий её конец через стенку и "склеить" (идентифицировать) оба граничных круга, изгибая внешний, широкий круг внутрь, а внутренний, узкий круг наружу. Т. о., получается поверхность (рис., б), имеющая линию самопересечения. К. п. без самопересечения может быть реализована лишь в четырёхмерном пространстве

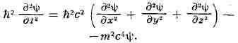
КЛЕЙНА - ГОРДОНА УРАВНЕНИЕ,квантовое релятивистское (т. е. удовлетворяющее требованиям относительности теории) ур-ние для частиц со спином нуль. Исторически К.- Г. у. было первым релятивистским ур-нием квантовой механики для волновой функции частицы ф; оно было предложено в 1926 Э. Шрёдингером (как релятивистское обобщение Шрёдингера уравнения) и независимо от него швед, физиком О. Клейном (О. Klein), сов. физиком В. А. Фоком, нем. физиком В. Гордоном (W. Gordon) и др.

Для свободной частицы К.- Г. у. записывается в виде:
7-7.jpg

Ему соответствует релятивистское соотношение между энергией Е и импульсом р частицы: Е2 = р2с2 + т2с4 (т - масса частицы, с - скорость света).

Решением ур-ния является функция ф (х, у, z, t), зависящая только от координат (х, у, г) и времени (t). Следовательно, частицы, описываемые этой функцией, не обладают никакими дополнительными внутр. степенями свободы, т. е. действительно являются бесспиновыми (к таким частицам относятся, напр., л- и К-мезоны). Однако анализ ур-ния показал, что его решение ф принципиально отличается по своему физ. смыслу от обычной волновой функции как амплитуды вероятности обнаружить частицу в заданном месте пространства в заданный момент времени: ф (x, у, z, t) не определяется однозначно значением ф в начальный момент времени (такая однозначная зависимость постулируется в квантовой механике), и, более того, выражение для вероятности данного состояния наряду с положит, значениями может принимать также и лишённые физ. смысла отрицат. значения. Поэтому сначала от К.- Г. у. отказались. Однако в 1934 В. Паули н В. Вайскопф нашли правильную интерпретацию этого уравнения в рамках квантовой теории поля (они рассмотрели его как ур-ние поля, аналогичное Максвелла уравнениям для электромагнитного поля, и проквантовали его; при этом ф стало оператором). М. Л. Либерман.

КЛЕЙНМИХЕЛЬ Пётр Андреевич [30.11(11.12).1793, Петербург,- 3(15).2. 1869, там же], русский гос. деятель, ген. от инфантерии (1841). Адъютант А. А. Аракчеева (с 1812); нач. штаба военных поселений (с 1819). Один из приближённых Николая I, ген.-адъютант (1826). Был руководителем восстановления сгоревшего в 1837 Зимнего дворца, за что в 1839 получил графский титул. Чл. Гос. совета (с 1842). В 1842-55 главноуправляющий путями сообщения и публичными зданиями. За время его управления были построены Николаевский (ныне лейтенанта Шмидта) мост через Неву и здание Нового Эрмитажа в Петербурге, сооружена железная дорога Петербург - Москва. К. был замешан в крупных злоупотреблениях по службе, что привело к его отставке в 1855.

КЛЕЙНОДЫ (от нем. Kleinod и польск. klejnot - драгоценность, драгоценный предмет), регалии, являвшиеся войсковыми знаками отличия в казачьих войсках и символами власти польск. и укр. гетманов, укр. и донских казачьих гаманов в 16-18 вв. Заимствованы у турок и жаловались польск. королями и рус. царями (впервые в 70-х гг. 16 в. Стефаном Баторием укр. гетману и запорожским казакам). К. составляли: знамя (хоругвь), бунчуки, булава и её разновидности (палица, пернач), литавры, трубы и барабаны, войсковая печать, насекапосох. Личным знаком гетмана или войскового атамана была булава.

КЛЕЙСТ (Kleist) Генрих фон (18.10. 1777, Франкфурт-на-Одере,- 21.11.1811, Ванзе, около Потсдама), немецкий писатель. В трагедиях "Семейство Шроффенштейн" (изд. 1803), "Роберт Гискар" (сохранился фрагмент), "Пентесилея" (1805-07, изд. 1808) и в драме "Кетхен из Гейльбронна, или Испытание огнём" (1807, изд. 1810) К. пытался сочетать моменты жизненной достоверности с иррациональным, патологическим в поступках героев. Комедия "Разбитый кувшин" (изд. 1811) заключает в себе элементы социальной сатиры. В канун освободит, движения против наполеоновской Франции К. обращается к нац. проблематике: стихи, драма "Битва Германа" (1808, изд. 1821), воззвание "Катехизис немцев" (1809). При этом К. оставался верен юнкерской Пруссии - её прошлое он прославляет в драме "Принц Фридрих Гомбургский" (1810, изд. 1821). "Новеллы" К. (1810-11) отличаются напряжённым драматизмом, чужды романтич. идеализации героев. Самая значит. из них - "Михаэль Кольхаас" (1810). Наследие К.- предмет острой идеологич. борьбы. Марксистское литературоведение стремится выявить гуманистич. тенденции, присущие лучшим его произв.

Соч.: Werke, Bd 1 - 2. Weimar, 1961; в рус. пер.- Пьесы, М., 1962; Драмы. Новеллы, М., 1969.

Лит.: М е р и н г Ф., Кленст, в его кн.: Литературно-критические статьи, т. 1. М.Л., 1934; Б е р к о в с к н и Н. Я., Клейст, в кн.: Немецкая романтическая повесть, т. 2, М.- Л., 1935; Heinrich von Kleist..., Darmstadt, 1967. Л. Е. Генин.

КЛЕЙСТ (Kleist) Эвальд (8.8.1881, Браунфельс на Лане,- окт. 1954), нем.фаш. ген.-фельдмаршал (1943). В армии с 1900, окончил воен. академию (1913). Участник 1-й мировой войны 1914-18, затем служил в рейхсвере в кавалерии. В 1938 уволен за монархич. убеждения, в 1939 снова призван. Командовал танк, корпусом во время нападения фаш. Германии на Польшу в 1939 и Францию в 1940. С нояб. 1940 командующий 1-й танк, группой (с 6 окт. 1941 наз. 1-й танк, армией), действовавшей в 1941 во время фаш. агрессии против Югославии и Греции и в 1941-42 против СССР. С 22 нояб. 1942 по 31 марта 1944 командующий группой армий "А" на Сев. Кавказе и Юж. Украине. В 1944 уволен в отставку за поражения и несогласие со стратегией Гитлера. В конце войны взят в плен англичанами и в 1946 как воен. преступник передан Югославии, а затем СССР. Был осуждён и умер в заключении.

КЛЕЙСТЕР (нем. Kleister), клейкий раствор, получаемый нагреванием водной суспензии картофельного (до 7075 °С) или кукурузного (до 80-85 °С) крахмала. К. применяется для приклеивания бумаги к картону, дереву и т. п., малярных, переплётных и др. работ; при аппретировании тканей К. должен содержать 6-10% крахмала.

КЛЕЙСТОГАМИЯ (от греч. kleistosзапертый и gamos - брак), самоопыление и самооплодотворение растений с нераскрывающимися, т. н. к л е йстогамными, обычно мелкими, невзрачными цветками. Пыльцы в таких цветках немного, она высыпается на рыльце внутри закрытого цветка или, реже, прорастает в пыльниках, пробивает их стенки и врастает в пестик. К. наблюдается у растений из различных семейств: арахиса, мн. фиалок, у недотроги, мокрицы, льнянки, кислицы, ячменя и мн. др. Иногда у типичных клейстогамных растений в благоприятных условиях может наблюдаться и перекрёстное опыление (напр., у нек-рых фиалок). Ср. Хазмогамия.

КЛЕЙСТОКАРПИЙ (от греч. kleistos - запертый и karpos - плод), замкнутое плодовое тело нек-рых сумчатых грибов (плектасковых и мучнисторосяных грибов). К. шаровидной формы с оболочкой (перидий), без отверстия; сумки и споры освобождаются после разрыва или разрушения его оболочки. Иногда К. наз. клейстотецием.

КЛЕЙТОНА ЗАКОН, антитрестовский закон, принятый конгрессом США и подписанный президентом В. Вильсоном 15 окт. 1914. Назван по имени автора законопроекта Г. Клейтона (Clay ton). Предусматривал ограничение деятельности трестов и создание Федеральной торг, комиссии по контролю над ними. Формально освобождал рабочие и фермерские opr-ции от преследований, к-рым они подвергались по антитрестовскому закону Шермана (см. Шермана закон 1890). Однако на практике их суд. преследование на основе антитрестовского законодательства продолжалось.

КЛЕЙТОНА - БУЛВЕРА ДОГОВОР 1850, первый договор между США ц Великобританией по вопросу о будущем канале между Атлантическим и " Тихим ок. в Центр. Америке. Подписан в Вашингтоне 19 апр. 1850 гос. секретарём США Дж. М. Клейтоном (Clayton) и брит, посланником в США У. Г. Литтон-Булвером (Lytton Bulwer). Стороны обязывались не захватывать к.-л. новых территорий в Центральной Америке, гарантировать нейтралитет канала, считать его открытым на равных правах для всех стран, к-рые присоединятся к этой гарантии, и применить принципы договора к любым другим межокеанским путям, которые могут быть проложены через Центральную Америку. Договор носил характер временного компромисса. Был заменён Хея-Паунсфота договором 1901.

КЛЕМАН (Clement) Жан Батист (31.5. 1836, Булонь-сюр-Сен,-23.2.1903, Париж), французский поэт, обществ, деятель и публицист. За выступления против режима Второй империи в стихах и памфлетах К. подвергался преследованиям. В 1871 чл. Парижской Коммуны, к-рую воспел в стихах, осудив её палачей ("Кровавая неделя", 1871) и выразив веру в победу народа ("Коммунарда", 1871). После падения Коммуны эмигрировал в Бельгию, затем в Англию. По возвращении на родину (1880) К. обличал лицемерие бурж. демократии и церкви, призывал к борьбе с Третьей республикой ("Песни", 1885, "Сто новых песен", 1899). Песни К. по жанровому разнообразию, образности и простоте стиля восходят к франц. нар. творчеству. К.- автор незаконченных воспоминаний о Коммуне "Реванш коммунаров" (1886-87) и бесед "Социальные вопросы в общедоступном изложении..." (т. 1-2, 1887-88).

Соч.: La chanson populaire, P., 1900; в рус. пер,- Избранные песни, М., 1951.

Лит.: Данилин Ю., Поэты Парижской Коммуны, т. 1, М., 1947; История французской литературы, т. 3, М., 1959; R еm у Т., Le temps des cerises (J.-B. Clement), P., [1968]. В. С. Лозовецкий.

КЛЕМАН (Clement) Рене (р.18.3.1913, Бордо), французский кинорежиссёр. Учился на архит. отделении парижской Школы изящных иск-в. В кино начинал деятельность в качестве кинооператора, снимал рекламные и видовые фильмы, в конце 30-х гг. работал в Армейской кинослужбе. Во время 2-й мировой войны 1939-45 был участником Движения Сопротивления. Первая большая режиссёрская работа, принёсшая ему известность,- "Битва на рельсах" (1946). Картина в суровой документальной манере рассказывала о борьбе франц. железнодорожников против нем. оккупантов. Значит, место в творчестве режиссёра занимает тема 2-й мировой войны: "Проклятые" (1947), "Запрещённые игры" (1952), "День и час" (1963), "Горит ли Париж?" (1966). Мотивы поэтического реализма, характерного для предвоенного франц. кино, прозвучали в фильме "По ту сторону решётки" (1949, в сов. прокате "У стен Малапаги"). К. принадлежит одна из лучших экранизаций Э. Золя - "Жервеза" (1956, по роману "Западня"). К.- один из организаторов труппы начинающих кинематографистов "Центр молодых", к-рая в 1943 была преобразована в Институт высшего кинообразования. Фильмы К. неоднократно получали премии международных кинофестивалей.

Лит.: Л е про он П., Современные французские кинорежиссеры, пер. с франц., М., 1960; Farwagi A., Rene Clement, P., 1967. Я. Б. Иоскевич.

КЛЕМАНСО (Clemenceau) Жорж (28.9.1841, Муйрон-ан-Паре, -24.11. 1929, Париж), французский политич. и гос. деятель. По образованию врач. Чл. Франц. академии (1918). В период Второй империи участвовал в радикально-респ. движении. После ряда поражений Франции в войне с Пруссией (1870-71) выступал за её продолжение; как депутат Нац. собрания голосовал против Франкфуртского мирного договора 1871. В дни Парижской Коммуны 1871 пытался "примирить" коммунаров с версальцами. С нач. 80-х гг. К.- лидер бурж. радикалов. Выдвинул широковещат. план демократич. реформ, частично заимствованный из программы Рабочей партии (осн. 1879). Будучи ярым сторонником реваншистской войны против Германии, К. выступал в 80-х гг. в палате депутатов и в прессе с резким осуждением франц. правящих кругов за политику колон, экспансии, ослаблявшую, по его мнению, положение Франции в Европе. Эти выступления, способствовавшие падению кабинетов Гамбетты, Ферри, Бриссона, создали ему репутацию "сокрушителя министерств". За темпераментные и резкие ьыступления в парламенте получил прозвище "Тигр". Косвенно замешанный в панамской афере (см. "Панама"), К. не был избран в 1893 в парламент. Активно защищал А. Дрейфуса (см. Дрейфуса дело). В 1902 и 1909 избирался в сенат. Ъ марте - окт. 1906 мин. внутр. дел. В окт. 1906 - июле 1909 пред. Совета Министров. Придя к власти, применял жестокие репрессии против участников рабочего и демократич. движения. В годы перед 1-й мировой войной 1914-18 вёл интенсивную шовинистич. и милитаристскую пропаганду, боролся против социалистов, резко критиковал своих политич. соперников из бурж. лагеря Р. Пуанкаре, А. Бриана, Ж. Кайо за их якобы недостаточно жёсткий курс во внутр. и внеш. политике. С начала войны требовал её продолжения до полного разгрома Германии, не считаясь ни с какими жертвами. В нояб. 1917 стал пред. Совета Министров и одновременно воен. мин., пытался установить в стране диктаторский режим. Активный организатор антисов. интервенции, поддерживал белогвардейских генералов - Колчака и Деникина. Сыграл большую роль в организации подавления Венг. сов. республики. Являясь пред. Парижской мирной конференции 1919-20, главой франц. делегации на ней, одним из авторов Версальского мирного договора 1919, К. добивался установления воен.-политич. гегемонии франц. империализма в Европе. Потерпев поражение на президентских выборах 1920, отошёл от активной политич. жизни.

Лит.: Русанов Н. С., Галлерея современных французских знаменитостей, СПБ, 1906; Mordacq H., Le ministere Clemenceau, v. 1 - 4, P., 1930 - 31; H a d a ncourt G., Clemenceau..., P., 1958; R atinaud J., Clemenceau ou la colere et la gloire, 7 ed., P., 1958; King J., Foch versus Clemenceau, Camb., 1960. Б. Л. Вулъфсон.

КЛЕМЕНТИ (Clementi) Муцио (23.1. 1752, Рим,- 10.3.1832, Ившем, Англия), пианист, педагог, композитор, дирижёр. По национальности итальянец. С 1766 жил в Англии. Завоевал известность как пианист-виртуоз и педагог (среди учеников - И. Крамер, И. Мошелес, Дж. Филд и др.). Основатель и глава т. н. лондонской школы пианизма. В нач. 19 в. подолгу работал в европ. странах (в т. ч. в России - 1802, 1804-05). Наибольшую ценность представляет его фп. творчество. К.- один из создателей классич. формы фп. сонаты. В педагогическом репертуаре сохранились его этюды (сб. "Путь к Парнасу"), Свой исполнит, и пед. опыт К. обобщил в труде "Метода для фортепьяно" (изд. 1801, в рус. пер."Клементьев легкий способ научиться играть на фортепьяно", ок. 1818). Был владельцем неск. муз. издательств и фабрики фп.

Лит.: Соколов Ф., Муцио Клемента и русская народная песня, "Советская музыка, 1961, № 1; Р а г i Ь е n i G. P., Muzio Clementi nella vita e nell'arte, Mil., 1921. М. М. Яковлев.

КЛЕМЕНЦ Дмитрий Александрович [15(27). 12.1848, дер. Горяиновка, ныне Саратовской обл.,-8(21).!.1914, Москва], народник, революц. деятель России 19 в., этнограф, археолог. В 1867-71 учился в Казанском, а затем Петерб. ун-тах. С 1871 в Петербурге принимал участие в обществе чайковцев. Один из инициаторов "хождения в народ", чл. "Земли и воли". С кон. 1878 - нач. 1879 ред. журн. "Земля и воля". В 1879 арестован, в 1881 выслан в Восточную Сибирь. В Минусинске начал научную деятельность. Экспедиции К. в Кузнецкий Алатау, Саяны, Урянхайский край, Монголию, Турфан внесли вклад в изучение географии, геологии, этнографии и археологии этих областей. Участвовал в создании и деятельности Минусинского и Иркутского музеев. К. сотрудничал в газетах: "Сибирская газета", "Восточное обозрение". В сер. 90-х гг. К. вернулся в Петербург, где работал в Музее антропологии и этнографии АН (до 1900), затем организовал этнографич. отдел Рус. музея и руководил им до 1910. Автор мемуаров "Из прошлого" (1925).

Лит.: Левин Ш. М., Д. А. Клеменц, М., 1929 (библ.); Токарев С. А., Д. А. Клеменц, в сб.: Отечественные экономико-географы XVIII-XX вв., М., 1957; Д э в л е т М. А., Д. А. Клеменц как археолог, "Советская археология ", 1963, № 4.

КЛЕМКЕ (Klemke) Вернер (р.12.3.1917, Берлин), немецкий график (ГДР). Чл. Герм, академии иск-в (1961). В 1937-39 работал как художник-мультипликатор. в 1947-50 сформировался как мастер книжной и газетно-журнальной графики. С 1951 доцент, с 1956 проф. Высшей школы изобразит, и прикладного иск-ва в Берлине (Вейсензе), Творчество К. отличается широтой интересов, разнообразием тем, жанров, технич. приёмов, острой выразительностью стиля и графич. языка. Произв.: илл. к сказкам ор. Гримм (1962), поэме Маяковского "Хорошо!" (1957) и др. Нац. пр. ГДР (1962 и 1969). Илл. см.: т. 7, стр. 260; т. 10, табл. III (стр. 208-209).

Лит.: Л и ом а н М., Вернер Клемке, "Искусство", 1965, № 6; Kunze H., Werner Klemke's gesammelte Werke, Dresden, [1972].

КЛЕММЕНСЕНА РЕАКЦИЯ, замена атома кислорода альдегидной или кетонной группы двумя атомами водорода при действии амальгамированного цинка и соляной кислоты:

7-8.jpg

К. р. применяется в лабораторном органич. синтезе наиболее широко для получения жирноароматич. углеводородов путём восстановления соответствующих кетонов. Напр., из ацетофенона с выходом 80% получается этилбензол.

Реакция разработана амер. химиком Э. К. Клемменсеном (Е. Ch. Clemmenssn) в 1913-14.

Лит.: Органические реакции, пер. с англ., сб. 1, М., 1948, с. 194-266.

КЛЕММОВОЕ СОЕДИНЕНИЕ (от нем. Klemme - зажим), фрикционновинтовое соединение, служит для закрепления на валах или осях с помощью винтов различных деталей (рычагов, установочных колец, шкивов и др.), имеющих разъём или прорезь. Соединение обеспечивается силами трения, действующими между поверхностями вала и отверстия детали (рис.). В отличие от шпоночного соединения и зубчатого соединения, К. с. позволяет закреплять деталь на валу под любым углом и в любом месте по его длине, а также облегчает сборку.

Клеммовые соединения деталей, имеющих разъём а и прорезь б; Рзат - сила затяжки винтов.

КЛЕМПЕРЕР (Klemperer) Отто (p. 14. 5. 1885, Бреслау, ныне Вроцлав, Польша), немецкий дирижёр. С 1901 учился в консерватории во Франкфурте-на-Майне, затем в Берлине. Дебютировал в 1906. Был дирижёром оперных театров в Праге, Гамбурге, Страсбурге, Кёльне, Висбадене, в Берлинском "Кролль-театре" (1927-31), Берлинской гос. опере (1931-33). В 1933 покинул Германию и до 1939 возглавлял симф. оркестр Лос-Анджелеса (США). В 1947 - 1950 руководил Будапештским оперным театром; одновременно осуществил совместно с В. Фельзенштейном постановку оперы "Кармен" в Берлинском театре "Комише опер". Живёт в Лондоне, сотрудничает с Лондонской филармонией. В 1961-62 осуществил (как дирижёр и режиссёр) пост, опер "Фиделио" Бетховена и "Волшебная флейта" Моцарта в "Ковент-Гарден". Гастролировал в различных странах. Неоднократно выступал в СССР (впервые в 1924).

К.- один из крупнейших дирижёров 20 в. Его интерпретации отличаются масштабностью, глубиной проникновения в авторский замысел. Наиболее ярко дарование К. проявилось в истолковании музыки Л. Бетховена, И. Брамса, Г. Малера, В. А. Моцарта. Автор оперы "Цель", симфонии, мессы, фп. пьес, вокальных и инструментальных произведений.

Соч.: Мои воспоминания..., в кн.: Исполнительское искусство зарубежных стран, в. 3, М., 1967, с. 193 - 225.

Лит.: В о 1 1 е г t W., О. Klemperer, "Musica", 1955, v. 9.

КЛЁН (Acer), род деревьев или кустарников сем. кленовых. Листья опадающие, супротивные, цельные или перистосложные. Цветки б. ч. желтовато-зелёные, в щитках или кистях. Плод - двойная крылатка. Ок. 150 видов К. произрастает в Европе, Азии, Сев. Африке, Сев. и Центр. Америке. В СССР - 29 видов: в Европ. части, на Д. Востоке и в Ср. Азии. К. растёт в лиственных я смешанных лесах; чистых кленовых насаждений почти не образует. Древесина К. обладает высокими технич. качествами и применяется для изготовления мебели, муз. инструментов и пр. Сок К. содержит до 2-5% сахара.

Клён остролистный: 1 - соцветие; 1а - обоеполый цветок: 16 - лист; 1в - плод. Клён полевой: 2 - лист; 2а - плод. Клён татарский: 3 - ветвь с цветками и плодами.

Медонос. Разнообразная форма листьев, принимающих осенью красную, оранжевую или жёлтую окраску, придаёт К. декоративность. В СССР наиболее распространены 3 вида. К. остролистный, или платановидный (A. platanoides),- дерево до 30 м выс. и иногда до 1 м в диам. Растёт в Европ. части совместно с др. широколиственными породами и с хвойными. Теневынослив и морозостоек. К. полевой (A. campestre) - дерево выс. до 1520 м и диам. до 50-60 см. Растёт в лесостепной зоне Европ. части (до Волги), а также в Крыму и на Кавказе. Засухоустойчив и сравнительно солеустойчив. К. татарский (A. tataricum) - небольшое деревце или крупный кустарник. Распространён в широколиственных лесах Европ. части. Засухоустойчив. В засушливых р-нах для озеленения применяется К. ясенелистный (A. negundo) родом из Америки.

Лит.: Пояркова А. И., Ботаникогеографический обзор клёнов СССР в связи с историей всего рода Acer L., в кн.: Флора и систематика высших растений, в. 1, Л., 1933 (Тр. Ботанического ин-та АН СССР. Сер. 1); Флора СССР, т. 14, Л.-М., 1949. С. К. Черепанов.

КЛЕНОВЫЙ, посёлок гор. типа в Ворошиловградской обл. УССР, в 7 км от железнодорожной ст. Дарьевка (на линии Дебальцево - Лихая). Добыча кам. угля.

КЛЕНЦЕ (Klenze) Лео фон (29.2.1784, Шладен, ныне в Ниж. Саксонии, ФРГ, 27.1.1864, Мюнхен), немецкий архитектор. Учился в Германии, Франции, Италии; был придворным архитектором Жерома Бонапарта в Касселе (1808-13) и баварского короля Людвига I в Мюнхене (с 1815). Градостроит. работы К. в Мюнхене (с 1816) и Афинах (1839-51) отличаются торжеств., строгой регулярностью. В своих тяжеловесных парадных постройках (Глиптотека, 1816-30, и Старая пинакотека, 1826-36, в Мюнхене; Новый Эрмитаж в Ленинграде, 1839-52) К. комбинировал мотивы др.-греч. зодчества, к-рые воспроизводил с педантичной точностью и сухостью.

Л. К л е н ц е. Пропилеи в Мюнхене, 1846-60.

Лит.: Hederer О., Leo von Klenze, Munch., 1964.

КЛЕОЛ, раствор канифоли в смеси 95% этилового спирта и эфира с добавлением подсолнечного масла. Клейкая жидкость; применяется для укрепления хирургич. повязок.

КЛЕОМЕ (Cleome), род растений сем. каперсовых (иногда выделяется в сем. клеомовых). Однолетние или многолетние травы или полукустарники, б. ч. с железистым опушением. Листья очередные, простые или тройчатые. Цветки в кистях; околоцветник 4-членный; тычинок 4-6; плод - стручковидный. Ок. 150 видов, гл. обр. в тропиках и субтропиках. В СССР ок. 10 видов: в Ср. Азии, на Кавказе и юге Европ. части; растут по сухим склонам и галечникам. Наиболее распространена К. птиценог а я (С. ornithopodioides), наз. также левантской горчицей; семена её могут заменять горчицу.

КЛЕОМЕН III (Kleomenes) (ок. 260219 до н. э.), царь Спарты в 235-221. Вслед за царём Лгисом IV пытался ликвидировать социальный кризис, охвативший спартанское общество в результате разорения б. ч. спартиатов, восстановить могущество Спарты. К. III провёл в нар. собрании решения об уничтожении должности эфоров, переделе земли (вся земля была объявлена гос. собственностью н разделена между спартиатами и частично периэками), кассации долгов, реорганизации системы гос. воспитания и др. Увеличение в результате реформ количества полноправных спартиатов усилило армию и дало возможность К. III в войне с Ахейским союзом захватить Флиунт, Трезен, Клеоны, Аргос и др. Успехи Спарты и широкое движение демоса Пелопоннеса, требовавшего проведения реформ, аналогичных реформам К. III, заставили объединиться Ахейский союз (во главе с Аратом) и Македонию, к-рые разбили войско К. III в битве при Селласии (222/221). К. III бежал в Египет, где погиб. Его преобразования были полностью отменены.

Лит.: Бергер А., Социальные движения в древней Спарте, М.-Л., 1936. И. В. Поздеева.

КЛЕОН (Kleon) (ум. 422 до н. э.), др.-греч. политич. деятель, вождь наиболее радикального крыла афин. рабовладельч. демократии. Происходил из торг.ремесл. слоев демоса (владелец кожевенного предприятия). На политич. арене К. выступил в 430 как противник Перикла, а после его смерти (429) как противник вождя умеренно-демократич. группировки Никия. Политич. преобладания К. добился проведением мер, популярных в среде радикальной демократии: увеличение жалованья членам гелиэи до 3 оболов, введение эйсфоры (чрезвычайного воен. налога с богатых граждан), увеличение вдвое фороса (налога с союзников), выведение клерухий на земли союзников (напр., на Лесбос), укрепление роли Афин в Делосском союзе и подавление недовольства союзников беспощадными репрессиями (расправа над восставшей в 428 против Афин Митиленой). К. был поборником активизации воен. действий против Спарты и её союзников, "сам участвовал в Пелопоннесской войне 431-404 в качестве стратега (в 425 вместе с Демосфеном овладел о. Сфактерия, в 422 руководил воен. действиями против спартанского полководца Брасида во Фракии, но потерпел поражение и пал в битве под Амфиполем). Дошедшие о К. сведения антич. авторов исходят из лагеря его политич. противников. С. С. Соловьёва.

КЛЕОПАТРА VII (греч. Kleopatra) (69 до н. э., Александрия,-30 до н. э., там же), последняя царица династии Птолемеев, дочь Птолемея XII (Авлета), сестра, супруга и соправительница (с 51) Птолемея XIII, с к-рым вела борьбу за власть. В 48 К. VII была изгнана в Сирию, но в 47 после Александрийской войны возвратилась в Египет с помощью Ю. Цезаря, увлёкшегося умной и образованной царицей (от Цезаря она имела сына Цезариона). После 41 была союзницей и любовницей М. Антония, к-рый в 37 женился на ней вопреки рим. обычаям; поддерживала его в борьбе с Октавианом (Августом). После поражения при Акции (31) и вступления армии Октавиана в Египет Антоний, а за ним и К. VII покончили жизнь самоубийством. Согласно преданию, ей была принесена ядовитая змея, укус к-рой, по егип. представлениям, сулил бессмертие. Образ К. VII нашёл широкое отражение в литературе (У. Шекспир, Б. Шоу) и искусстве (Д. Тьеполо, П. Рубенс и др.).

Лит.: Franzero С, М., The life and times of Cleopatra, L., [1957]. И. С. Кацнелъсон.

Клеопатра VII. Известняк. 1 в. н. э. Британский музей. Лондон.

КЛЕПАЛЬНАЯ МАШИНА, машина, предназначенная для выполнения клёпки. Различают клепальные прессы и автоматы. На прессах производят только одну операцию клёпки - образование замыкающей головки. Стержень заклёпки осаживается между двумя штампами. За один ход пуансона штампа можно расклепать одну или неск. заклёпок (т. н. групповая клёпка). При групповой клёпке на прессе КП-602 .можно расклепать до 1 тыс. заклёпок из лёгких сплавов диам. 4 мм за 1 час. Клепальные прессы могут быть переносными и стационарными. Переносные прессы (при клёпке их держат в руках) весят 4-5 кг, применяются гл. обр. для клёпки в труднодоступных местах конструкций.

На отечественных клепальных автоматах выполняют весь комплекс операций: выравнивают поверхности изделий, производят их сжатие, сверление и зенкование отверстий, вставляют заклёпки, производят клёпку, перемещают изделие. Управление механизмами - автоматическое, задаётся при помощи программных устройств. Производительность клепальных автоматов 300-600 заклёпок в час. В. П. Григорьев.

КЛЕПАЛЬНЫЙ МОЛОТОК, ручная машина ударного действия, применяемая для выполнения клёпки. К. м. имеют небольшие размеры, весят 1,5-4 кг и позволяют производить клёпку в труднодоступных местах конструкций, внутри собираемых изделий, применять при клёпке изделий в сборочных приспособлениях. Для привода поршня, заключённого в корпусе К. м., используют энергию сжатого воздуха. Поршень наносит удары по обжимке, устанавливаемой на заклёпке. При работе К. м. клепальщику, к-рый держит молоток и управляет им, помогает подручный, удерживающий установленную на головке заклёпки поддержку. Качество соединения во многом зависит от квалификации исполнителей. В целях улучшения условий труда и повышения качества продукции К. м. заменяют более тяжёлыми клепальными машинами.

КЛЁПАНЫЕ КОНСТРУКЦИИ, металлические конструкции, элементы к-рых соединяются заклёпками. Совр. металлич. конструкции изготавливаются гл. обр. сварными; отверстия для заклёпок ослабляющие сечения К. к. на 1520%, а также трудоёмкость изготовления К. к. делают их в большинстве случаев менее выгодными по сравнению со сварными конструкциями. Однако К. к. более надёжны в условиях низких темп-р, когда концентрации напряжений, способствующие возникновению хрупкого разрушения конструкций и развивающиеся в местах отверстий для заклёпок, существенно меньше концентраций в сварных швах конструкций. Поэтому к К. к. нередко прибегают при возведении сооружений в сев. р-нах. К. к. применяются также в мостостроении (преим. в ж.-д. мостах) и в конструкциях пром. зданий с большими нагрузками (напр., в подкрановых балках), когда возможность разрушения металла под действием циклич. нагрузок является особенно опасной или изготовление путём сварки мощного составного сечения элемента представляет значит, технология. трудности. См. также Заклёпочное соединение, Клёпка.

Лит.: Металлические конструкции, 3 изд., М., 1961; Муханов К. К., Металлические конструкции, М., 1963. С. А. Илъясевич.

КЛЁПКА, процесс соединения элементов конструкций заклёпками, в результате к-рого образуется неразъёмное заклёпочное соединение. В заклёпочном соединении не возникает коррозии, гальванических пар и т. п. процессов, поэтому прочность и надёжность соединения не изменяется длительное время. Наибольшее распространение имеет К., выполняемая заклёпками с потайными головками, к-рые позволяют получить гладкую поверхность изделия. К. заклёпками с выступающими головками применяется для соединения элементов изделий, к к-рым не предъявляется высоких требований по внеш. виду и гладкости поверхности. К. состоит из следующих операций (рис.): образование отверстия под заклёпку (сверлением или пробивкой); образование гнезда под потайную головку заклёпки (зенкованием или штампованием); вставка заклёпки, состоящей из закладной головки / и стержня 2, в отверстие; образование замыкающей головки 3 обжимкой 4 и поддержкой 5. Замыкающая головка может быть образована прессованием (прессовая К. ) или ударом (ударная К.). Прессовая К. производится на клепальных машинах (прессах и автоматах), а ударная - клепальными молотками. К. применяется при произ-ве различных металлич. конструкций в судостроении , вагоностроении, самолетостроении и др. отраслях (см. Клёпаные конструкции).

Основные операции клёпки; а - образование отверстия; 6 - образование гнезда под потайную головку; в - вставка заклёпки; г - образование замыкающей головки; 1 - закладная головка; 2 - стержень; 3 - замыкающая головка; 4 - обжимка; 5 - поддержка.

К. наз. также лесоматериал в виде узких дощечек (см. Бондарные изделия, Паркет).

Лит.: Григорьев В. П., Голдовский П. Б., Клёпка конструкций из лёгких сплавов, М., 1954.  В. П. Григорьев.

КЛЕППЕР (нем. Klepper), старое название эстонских местных лошадей.

КЛЕПТОМАНИЯ (от гг)еч. klepto - краду, похищаю и mania - безумие), неодолимое, периодически возникающее болезненное влечение к воровству. Симптом психич. расстройства, относимого к импульсным влечениям. Встречается преим. у людей, страдающих психич. расстройствами, психопатией. Корыстной направленности при К. нет: похищенные вещи, как правило, не реализуются с извлечением выгоды. Устранение К.- лечение осн. заболевания.

КЛЕР (Clair) Рене(наст. фам.-Ш омет, Chomette) (p. 11.11.1898, Париж), французский кинорежиссёр и кинодраматург. Чл. Франц. академии (I960). Расцвет его творчества относится к 20-ЗО-м гг. Первый фильм - "Париж уснул" (192З), комедия с причудливым фантастич. сюжетом. Ей близки и последующие фильмы К. ("Антракт", 1924, и др.). Поставил также "Соломенную шляпку" (1927, по Э. Лабишу), "Двое робких" (1928) и др. Значит, этап в истории франц. кино - "Под крышами Парижа" (1930), изящная муз. комедия, сочетающая тонкий юмор и лирич. грусть. В фильмах "Свободу нам!" (1932) и "Последний миллиардер" (1934) преобладают элементы гротеска и социальной сатиры. В сер. 30-х гг. работал в Великобритании (комедии "Привидение едет на Запад", 1936, "Ошеломляйте новостями", 1938) и в США ("Я женился на ведьме", 1942, и др.). С 1947 вновь во Франции. Поставил лирич. комедию "Молчание - золото" (1947) и философскую драму "Красота дьявола" (1950) - современный вариант легенды о Фаусте. Тема сопоставления мечты и реальности воплощена К. в фильме "Ночные красавицы" (1952). Режиссёру близки также лирич. и юмористич. описания жизни провинц. города - "Большие манёвры" (1955), городских низов Парижа - "Порт де Лила" (1957, в сов. прокате - "На окраине Парижа"), крестьян - "Всё золото мира" (1961). Режиссёр выступает против прозаической серости буржуазной действительности, противопоставляя ей изящество и остроумие поэтических вымыслов.

Кадр из фильма "Под крышами Парижа". 1930. Режиссёо Р. Клер.

Р. Клер.

Автор сценариев ряда своих фильмов. Соч.; Размышления о киноискусстве, пер. с франц., М., 1958.

Лит.: Л е п р оон П., Современные Французские кинорежиссёры, перевод с франц., М., I960; Авенариус Г., Рене Клер, в сб.: Французское киноискусство, М., 1960; Б р а г и н ский А. В., Рене Клер, М., 1963. В.И.Божович.

КЛЕРИКАЛ (от позднелат. clericalis - церковный), 1) представитель церкви, имеющий духовный сан. 2) Приверженец господства церкви в политич. и культурной жизни гос-ва, обосновывающий свои политич. убеждения догматами религ. веры (см. Клерикализм).

КЛЕРИКАЛИЗМ, политическое направление, добивающееся первенствующей роли церкви и духовенства в обществ., политич. и культурной жизни общества. Клерикальные, а в определённых условиях и теократич. (см. Теократия) устремления характерны по существу для всех религ.-церковных орг-ций классово-антагонистич. общества (католич., мусульманской, иудейской, индуистской, протестантских и др. церквей). Носителями К. выступают духовенство и связанные с церковью влият. представители правящих классов.Одним из наиболее активных является католич. К. Важнейшим средством, обеспечивающим тесный союз католич. церкви с бурж. гос-вами и её влияние в обществе, служат договоры между Ватиканом и пр-вами ряда гос-в (см. Конкордат).

В зап.-европ. странах К. вплоть до сер. 19 в. выражал по преимуществу интересы феод.-аристократич. кругов. В странах Востока и в 20 в. К. выражает большей частью интересы этих кругов. В эпоху империализма К. стал в значительной мере орудием монополистического капитала и носит ярко выраженную антикоммунистическую направленность.

К. использует в своих целях не только разветвлённый церковный аппарат, но и различные клерикальные opr-ции, клерикальные политич. партии, а также созданные при ближайшем участии церкви профсоюзные, молодёжные, женские, культурные и прочие орг-ции (см., напр., "Католическое действие"). Церковь и её орг-ции в большинстве бурж. стран вмешиваются в политич. жизнь и оказывают влияние в этой области. Многие их деятели выступают на стороне наиболее реакц. сил, в частности добиваются поддержки религ. орг-циями этих сил на выборах в парламенты и в местные органы власти, оказывая соответствующее давление на верующих. Под влиянием церкви и католич. орг-ций в ряде бурж. стран находится школа; церковь вмешивается в вопросы семьи, брака, воспитания детей (Италия, Испания, Португалия, Израиль и др.).

Развитие мирового революц. процесса вызвало ослабление позиций К. Деятельность руководства клерикальных орг-ций, использующего религию в реакц. политич. целях, в пропаганде антикоммунизма, встречает растущее противодействие со стороны многих верующих, а также и части духовенства.

Лит.: Вел и ков п ч Л. Н., Религия и политика в современном капиталистическом обществе, М., 1970; Шейнман М. М., Современный клерикализм, М.,1964; М а йер Г., Ш т и р П., Фашизм и политический клерикализм, пер. с нем., М., 1963; Альбрехт Э., Антикоммунизм - идеология клерикального милитаризма, пер. с нем., М.. 1963; Ellwein Th., Klerikalismus in der deutschen Politik, Munch., 1955. М. М. Шейнман.

КЛЕРК (Clerk) Джон (1728-1812), автор соч. по тактике парусных флотов. Был мелким чиновником в Элдине (Шотландия). В работе "Движение флотов" (рус. пер. 1803), написанной в 1782, показал, что большинство мор. сражений сер. 18 в., основанных на линейной тактике, не достигали решит, результатов. К. сделал первую попытку теоретически обосновать манёвренную тактику мор. боя. Он рекомендовал прорезать строй вражеских кораблей и нападать превосходящими силами на одну из частей разделённого флота противника для его разгрома по частям. Последователями К. в англ, флоте считаются адм. Дж. Джервис и Г. Нельсон. В рус. флоте манёвренную тактику впервые применили адм. Г. А. Спиридов и Ф. Ф. Ушаков в 70-90-х гг. 18 в.

Соч.: An essay on naval tactics, systematical and historical..., v. 1 - 2, L., 1790-97.

КЛЕРК (Clercq) Рене де (14.11.1877, Дерлейк,-12.6.1932, Бюссюм, Нидерланды), бельгийский писатель; писал на флам. яз. Популярностью пользовались патриотические песни К., близкие по духу песням гезов 17 в. Социальные мотивы содержатся в стихах сб-ков "Стихи" (1907), "Факелы" (1909) и "Призыв рога" (1917), а также романах К., пронизанных юмором и любовью к простым людям: "Роутланд" (1913), "Хармен Рильс" (1913). Для его любовной лирики ("Книга о любви", 1921) характерны эротич. мотивы. Антирелиг., демократич. направленность отличает его автобиографич. повесть "На земле" (1930). Лит.: Wijnstroom J. J., Rene de Clercq, Bussum, 1938; Duinkerken A., Vlamingen, Hasselt, [1959].

КЛЕРКСДОРП (Klerksdorp), город в Южно-Африканской Республике, на Ю.-З. пров. Трансвааль. 65 тыс. жит. (1969). Трансп. узел. Важный центр добычи золота и урана. Цементная, мясная, мукомольная пром-сть. Торг, и распределит, центр с.-х. р-на. Осн. в 1-й пол. 19 в.

КЛЕРМЕН, (Clurman) Харолд (р.18.9. 1901, Нью-Йорк), американский режиссёр и театральный критик. Учился режиссуре в Амер. лабораторном театре (НьюЙорк). В 1924 начал работать в театре "Гринуич виллидж плейхаус". В 1925-1931 работал в "Гилд-тиэтр". Один из основателей и руководителей ведущего театра США 30-х гг. "Груп-тиэтр" (1931-41). Здесь, на основе усвоения системы К. С. Станиславского, развивалась и формировалась нац. амер. школа актёрского мастерства. Наиболее значит, работы К.- постановки пьес К. Одетса в этом театре. После закрытия "Груптиэтр" ставил отдельные спектакли в театрах на Бродвее ("Русские люди" Симонова, 1945, и др.). Много внимания К. уделял работе над новой амер. и зарубежной драматургией. В 1963-64 консультант Репертуарного театра Линкольновского центра иск-в. В послевоенные годы часто выступает как театральный критик, сотрудничает в различных журналах США и Великобритании. Критич. статьи и эссе К. вошли в книгу "Ложь как правда".

Соч.: Lies like truth, N. Y., 1958. К. А. Гладышева.

КЛЕРМОНСКИЙ СОБОР 1095, церковный собор, созванный папой Урбаном II во франц. городе Клермон (совр. Клермон-Ферран). На К. с. присутствовало большое число представителей католич. духовенства и множество светских лиц (преим. франц. вельмож и рыцарей). К. с. подтвердил обязательность для всех христиан "божьего мира"; отлучил от церкви франц. короля Филиппа I (покинувшего свою жену и женившегося в 1092 вторично). После окончания заседаний К. с. Урбан II в своей речи 26 нояб. провозгласил крестовый поход против мусульман, обещав его участникам отпущение грехов, освобождение от долгов и т. п.

КЛЕРМОН-ФЕРРАН (Clermont-Ferrand), город во Франции, в долине р. Алье, притоке Луары. Адм. ц. департамента Пюи-де-Дом. 154 тыс. жит. (1968). Трансп. узел. Гл. центр произ-ва резиновых изделий в стране (автомоб. шин, обуви, технич. резины и др.); в резиновой пром-сти занято св. 20 тыс. чел. Металлообработка ц машиностроение, текст., полиграфич., бум., химич., пищ. пром-сть. Ун-т (осн. 1810). Археол. музей. К.-Ф.- родина Б. Паскаля. Близ города - курорт Руайя (Royat).

КЛЕРО (Clairaut) Алекси Клод (7.5. 1713, Париж, -17.5.1765, там же), французский математик и астроном. С детства проявил матем. одарённость и в 18 лет был избран адъюнктом Парижской АН. В матем. анализе ввёл понятие криволинейного интеграла, полного дифференциала функции неск. независимых переменных, а также общего и особого решения дифференциальных уравнений первого порядка. К. разработал новую теорию движения Луны (1751), провёл исследования фигуры Земли, доказав ряд фундаментальных для высшей геодезии теорем. На основе изучения движения кометы Галлея в 1759 определил момент её предстоящего прохождения через перигелий (погрешность была только ок. 1 нес). В механике создал динамич. теорию относительного движения (1742). В 1754 К. был избран почётным членом Петерб. АН.

Соч. в рус. пер.: Теория фигуры Земли, основанная на началах гидростатики, М.Л., 1947.

Лит.: Brunet P., La vie et Poeuvre de Clairaut, P., 1952.

КЛЕРОДЕНДРУМ, клеродендрон (Clerodendrum), род растений сем. вербеновых. Полукустарники, кустарники, лианы и небольшие деревья с супротивными или мутовчатыми листьями. Цветки собраны в метёлки или щитки, иногда с ярко окрашенной чашечкой. Ок. 390 видов, гл. обр. в тропиках Вост. полушария. У нек-рых видов (напр., К. трубчатого - С. fistulosum - с о. Калимантан) полые междоузлия стеблей населены муравьями. Мн. виды К. используют в цветоводстве (часто под назв. волькамерия). В оранжереях нередко культивируют лиану К. Томсона (С. thomsonae) из Зап. Африки, имеющую цветки с белой чашечкой и красным венчиком, а также К. прекрасный (С. speciosissimum, С. fallax) с пурпуровыми цветками, родом с о-вов Зондского архипелага и Вост.части Тихого ок. В комнатной культуре встречается японо-китайский вид К. душистый (С. fragrans) с розовато-белыми душистыми цветками.

КЛЕРОН (Clairon) (наст, имя и фам.Клер Жозеф Ипполит Л е р и с д е Л а т ю д, Leris de La Tude) [21.1.1723, Конде,-29(31?). 1.1803, Париж], французская актриса. В 1736 дебютировала на сцене "Комеди Итальенн" в Париже. В 1737-43 выступала в труппах Руана, Лилля и др. городов. В 1743-66 актриса театра "Комеди Франсез". Прославилась исполнением ролей в трагедиях Вольтера: Электра ("Орест"), И даме ("Китайский сирота"), Аменаида ("Танкред"). Восприняв театральную теорию Д. Дидро и работая под рук. Вольтера, К. стала одной из крупнейших актрис просветительского классицизма. Вела борьбу против жеманности аристократич. театра, стремилась к психологич. индивидуализации образа, реформировала трагич. декламацию, отказавшись от подчинения интонации условному мёлодич. рисунку, вводила в сценич. костюм историч. и этнографич. детали. Творчество К. высоко ценил Д. Дидро, к-рый дал анализ её иск-ва в "Парадоксе об актёре".

Соч.: Memoires d'Hyppolite Clairon et reflexions sur 1'art dramatique..., P., an VII [1798], 1799.

Лит.: История западноевропейского театра, т. 2, под общ. ред. С. С. Мокульского, М., 1957; Goncourt Ed., Mademoiselle Clairon..., P., 1890. Е. Л. Финкелъштейн.

КЛЕРУХИ (греч. kleruchoi, от kleros - зем. надел и echo - владею), в Древней Греции и эллинистич. roc-вах (Египте и др.) воен. поселенцы, получавшие зем. участки за несение воен. службы.

КЛЕРУХИИ (греч. kleruchiai, от kleros - зем. надел и echo - владею), др.-греч. военно-земледельч. поселения, выводимые на терр. подчинённых или союзных гос-в. Выводились с целью наделения землёй безземельных граждан и осуществления военно-политич. контроля над союзниками. Наибольшее число К. создавалось афинянами (первая осн. на о. Саламин ок. 570 до н. э.), особенно во время существования Делосского союза. Жители К. оставались афин. гражданами. К. вызывали недовольство союзников и ко времени 2-го Афинского мор. союза (основан в 378/377 до н. э.) афиняне вынуждены были от них отказаться.

КЛЕСОВ, посёлок гор. типа в Сарненском р-не Ровенской обл. УССР. Ж.-д. станция (на линии Сарны - Коростень). 3-ды: стройматериалов, щебеночные, торфобрикетный.

КЛЕСТОВ (парт, псевд. Ангарский) Николай Семёнович [6(18).12. 1873-27.7.1941], русский революц. деятель, парт, литератор. Чл. Коммунистич. партии с 1902. Род. в Смоленске, в семье владельца книжного магазина. Исключён из гимназии за хранение революц. лит-ры. С 1904 вёл парт, работу в Екатеринодаре, Ростове-на-Дону, Екатеринославе, Харькове, Москве, Петербурге. Участвовал в Революции 1905-1907; создавал в Москве большевистские типографии, полулегальный книжный склад "Весна", организовал издание "Капитала" К. Маркса (1907-09); вместе с М. С. Кедровым в издательстве "Зерно" выпустил сб. работ В. И. Ленина "За 12 лет" и "Аграрный вопрос" (ч. 1), серию с.-д. брошюр "Книжки для всех","Календарь для всех на 1908 год". Подвергался репрессиям; был в ссылке на Ангаре. После Февр. революции 1917 чл. Моск. к-та РСДРП(б), Исполкома Моссовета, зав. его отделом печати. Делегат 7-й (Апр.) конференции и 6-го съезда РСДРП(б). Участник Окт. вооруж. восстания в Москве, чл. ВРК Хамовнического р-на. До 1929 работал в Моссовете, одновременно в 1919-22 редактор журн. "Творчество", в 1922-24 редактор лит. сб-ков "Недра", с 1924 возглавлял изд-во "Недра". В 1929-31 торгпред СССР в Литве, в 1932-36 - в Греции. С 1936 пред. Всесоюзного внешнеторг. объединения "Международная книга". С 1939 работал в ИМЭЛ. Автор работ по истории партии и революц. движения, лит.критич. статей.

Лит.: Бережной А. Ф., Смирнов С. В., Бойцы революции, Л., 1969. М. Н. Ангарская.

КЛЕСТЫ (Loxia), род птиц сем. вьюрковых. Дл. до 20 см, весят 30-58 г. Надклювье и подклювье у К. перекрещены - приспособление для извлечения семян из шишек ели, сосны и др. хвойных. Оперение самца красноватое, самок и молодых - зеленоватое. 3 вида; все представлены в СССР. К.-е л о в и к (L. curvirostra) населяет хвойные леса Европы, Сев.-Зап. Африки, Сев. и Центр. Азии, Филиппин, Сев. и Центр.Америки (на Ю. до Гватемалы); белокрылый К. (L. leucoptera) - север Европы, Азии и Сев. Америки; К.сосновик (L. pityopsittacus) - сосновые леса Сев. Европы от Шотландии до Урала. Сроки размножения зависят от урожая семян хвойных пород; в благоприятные годы К. могут гнездиться и зимой. Гнёзда с толстыми стенками и тёплой выстилкой из перьев и шерсти устраивают на деревьях. Яиц 3-5; насиживает только самка. Осн. пища - семена хвойных, реже - др. растений, иногда насекомые.

Клесты: 1 - еловик; 2 - сосновик.

КЛЕТКА, элементарная живая система, способная к самостоят, существованию, самовоспроизведению и развитию; основа строения и жизнедеятельности всех животных и растений. К. существуют и как самостоят, организмы (см. Простейшие), и в составе многоклеточных организмов (тканевые К.). Термин "К." предложен англ, микроскопистом Р. Гуком (1665). К.-предмет изучения особого раздела биологии - цитологии. Систематическое изучение К. началось лишь в 19 в. Одним из крупнейших науч. обобщений того времени была клеточная теория, утверждавшая единство строения всей живой природы. Изучение жизни на клеточном уровне лежит в основе совр. биол. исследований.

В строении и функциях каждой К. обнаруживаются признаки, общие для всех К., что отражает единство их происхождения из первичных органич. комплексов. Частные особенности различных К.- результат их специализации в процессе эволюции. Так, все К. сходно регулируют обмен веществ, удваивают и используют свой наследственный материал, получают и утилизируют энергию. В то же время разные одноклеточные организмы (амёбы, инфузории и т. д.) сильно различаются размерами, формой, поведением. Не менее резко различаются К. многоклеточных организмов. Так, у человека имеются лимфоидные К.- небольшие (диам. ок. 10 мкм) округлые К., участвующие в иммунологич. реакциях, и нервные К.,часть к-рых имеет отростки длиной более метра; эти К. осуществляют осн. регуляторные функции в организме.

Методы исследования. Первым цитологич. методом была микроскопия живых К. Совр. варианты прижизненной (витальной) световой микроскопии - фазово-контрастная, люминесцентная, интерференционная и др. (см. Микроскоп) - позволяют изучать форму К. и общее строение нек-рых её структур, движение К. и их деление. Детали строения К. обнаруживаются лишь после спец. контрастирования, что достигается окраской убитой К. Новый этап изучения структуры К.- электронная микроскопия, дающая значит, большее разрешение структур К. по сравнению со световой микроскопией (см. Разрешающая способность оптич. приборов). Химич. состав К. изучается цито- и гистохимич. методами, позволяющими выяснить локализацию и концентрацию веществ в клеточных структурах, интенсивность синтеза веществ и их перемещение в К. (см. Гистохимия). Цитофизиологич. методы позволяют изучать функции К., напр, возбуждение, секрецию. См. также Авторадиография, Микроскопическая техника, Цитофотометрия.

Общие свойства клеток. В каждой К. различают две осн. части - ядро и цитоплазму, в к-рых, в свою очередь, можно выделить структуры, различающиеся по форме, размерам, внутр. строению, химнч. свойствам и функциям. Одни из них - т. н. органоиды - жизненно необходимы К. и обнаруживаются во всех К. Другие - продукты активности К., представляющие временные образования. В специализированных структурах осуществляется разделение различных биохим. функций, что способствует осуществлению в одной и той же К. разнородных процессов, включающих синтез и распад мн. веществ.

В ядерных органоидах -хромосомах, в их осн. компоненте - ДНК, хранится генетическая информация о строении белков, свойственных организму определённого вида (см. Ген, Генетический код). Др. важнейшее свойство ДНК - способность к самовоспроизведению, что обеспечивает как стабильность наследственной информации, так и её непрерывность - передачу следующим поколениям. На ограниченных участках ДНК, охватывающих неск. генов, как на матрицах, синтезируются рибонуклеиновые к-ты -непосредственные участники синтеза белка. Перенос (транскрипция) кода ДНК происходит при синтезе информационных РНК (и-РНК). Синтез белка представляется как считывание информации с матрицы РНК. В этом процессе, наз. трансляцией, принимают участие транспортные РНК (т-РНК) и спец. органоиды - рибосомы, образующиеся в ядрышке. Размеры ядрышка определяются гл. обр. потребностью К. в рибосомах; поэтому особенно велико оно в К., интенсивно синтезирующих белок. Синтез белка - конечный итог реализации функций хромосом - осуществляется гл. обр. в цитоплазме. Белки-ферменты, детали структур и регуляторы разных процессов, включая и транскрипцию - определяют в конечном счёте все стороны жизни К., позволяя К. сохранять свою индивидуальность, несмотря на постоянно меняющееся окружение. Если в бактериальной К. синтезируется ок. 1000 разных белков, то почти в каждой из К. человека -св. 10000. Т. о., разнообразие внутриклеточных процессов в ходе эволюции организмов существенно возрастает. Оболочка ядра, отделяющая его содержимое от цитоплазмы, состоит из двух мембран, пронизанных порами - специализированных участков для транспорта нек-рых соединений из ядра в цитоплазму и обратно. Др. вещества тфоходят через мембраны путём диффузии или активного транспорта, требующего затрат энергии. Мн. процессы происходят в цитоплазме К. при участии мембран эндоплазматической сети - осн. синтезирующей системы К., а также Толъджи комплекса и митохондрий. Отличия мембран разных органоидов определяются свойствами образующих их белков и липидов. К нек-рым мембранам эндоплазматич. сети прикреплены рибосомы; здесь происходит интенсивный синтез белка. Такая гранулярная эндоплазматич. сеть особенно развита в К.,секретирующих или интенсивно обновляющих белок, напр. у человека в К. .печени, поджелудочной железы, нервных К. В состав др. биологических мембран, лишённых рибосом (гладкоконтурная сеть), входят ферменты, участвующие в синтезе углеводно-белковых и липидных комплексов. В каналах эндоплазматич. сети могут временно накапливаться продукты деятельности К.; в нек-рых К. по каналам происходит направленный транспорт веществ. Перед выведением из К. вещества концентрируются в пластинчатом комплексе (комплексе Гольджи). Здесь обособляются различные включения К., напр, секреторные или пигментные транулы, образуются лизосомы - пузырьки, содержащие гидролитич. ферменты и участвующие во внутриклеточном переваривании мн. веществ. Система окружённых мембранами каналов, вакуолей и пузырьков представляет одно целое. Так, эндоплазматич. сеть может без перерыва переходить в мембраны, окружающие ядро, соединяться с цитоплазматич. мембраной, формировать комплекс Гольджи. Однако связи эти нестабильны. Нередко, а во многих К. обычно разные мембранные структуры разобщены и обмениваются веществами через гиалоплазму. Энергетика К. во многом зависит от работы митохондрий. Число их колеблется в К. разного типа от десятков до тысяч. Напр., в печёночной К. человека ок. 2 тыс. митохондрий; их общий объём не менее 4/5 объёма К. Внешняя мембрана митохондрии отграничивает её от цитоплазмы, на внутренней - происходят осн. энергетич. превращения веществ, в результате к-рых образуется соединение, богатое энергией,- аденозинтрифосфорная к-та (АТФ) - универсальный переносчик энергии в К. Митохондрии содержат ДНК и способны к самовоспроизведению; однако автономность митохондрий относительна, их репродукция и деятельность зависят от ядра. За счёт энергии АТФ в К. осуществляются различные синтезы, транспорт и выделение веществ, механич. работа, регуляция процессов и т. д. В делении К. и иногда в их движении участвуют структуры, имеющие вид трубочек субмикроскопич. размеров. "Сборка" таких структур и их функционирование зависят от центриолей, при участии к-рых организуется веретено деления клетки, с чем связано перемещение хромосом и ориентация оси деления К. Базальные тельца - производные центриолей - необходимы для построения и нормальной работы жгутиков и ресничек - локомоторных и чувствит. образований К., строение к-рых у простейших и в различных К. многоклеточных однотипно.

От внеклеточной среды К. отделена плазматич. мембраной, через к-рую происходит поступление ионов и молекул в К. и выделение их из К. Отношение поверхности К. к её объёму уменьшается с увеличением объёма, и чем крупнее К., тем более затруднены её связи с внешней средой. Величина К. не может быть особенно большой. Для живых К. характерен активный транспорт ионов, требующий затраты энергии, спец. ферментов и, возможно, переносчиков. Благодаря активному и избират. переносу в К. одних ионов и непрерывному удалению из неё других создаётся разность концентраций ионов в К. и окружающей среде. Этот эффект может быть обусловлен и связыванием ионов компонентами К. Мн. ионы необходимы как активаторы внутриклеточных синтезов и как стабилизаторы структуры органоидов. Обратимые изменения соотношения ионов в К. и среде лежат в основе биоэлектрич. активности К.- одного из важных факторов передачи сигналов от одной К. к другой (см. Биоэлектрические потенциалы). Образуя впячивания, которые затем замыкаются и отделяются в виде пузырьков внутрь К., плазматич. мембрана способна захватывать растворы крупных молекул (пиноцитоз) или даже отдельные частицы величиной в неск. мкм (фагоцитоз). Так осуществляется питание нек-рых К., перенос веществ через К., захват бактерий фагоцитами. Со свойствами плазматич. мембраны связаны и силы сцепления, удерживающие во мн. случаях К. друг около друга, напр, в покровах тела или внутренних органах. Сцепление и связь К. обеспечиваются химич. взаимодействием мембран и специальными структурами мембраны - десмосомами.

Рассмотренная в общей форме схема строения К. свойственна в основных чертах как животным (рис. 1), так и растительным К. (рис. 2). Но есть и существ, отличия в особенностях метаболизма и строения растит. К. от животных.

Рис. 2. Схема строения клетки o6paj зовательной ткани (меристемы) растения: 1 - клеточная стенка; 2 - плазмодесмы; 3 - плазматическая мембрана; 4 - эндоплазматическая сеть; 5 - вакуоли; 6 - рибосомы; 7 - митохондрии; 8 - пластида; 9 - комплекс Гольджи; 10 - оболочка ядра; 11 - поры в ядерной оболочке; 12 - хроматин; 13 - ядрышко.

Рис. 1. Общий вид эпителиальной клетки животного при различном увеличении: а - в оптический микроскоп; б - при малом увеличении электронного микроскопа; в - при большом увеличении.. Структуры ядра: 1 - ядрышко; 2 - хроматин (участки хромосом); 3 - ядерная оболочка. Структуры цитоплазмы: 4 - рибосомы; 5 - гранулярная (покрытая рибосомами) эндоплазматическая сеть; 6 - гладкоконтурная сеть; 7 - комплекс Гольджи; 8 - митохондрии; 9 - мультивезикулярные (многопузырьковые) тела; 10 - секреторные гранулы; 11 - жировые включения; 12 - плазматическая мембрана; 13 - цесмосома.

Клетки растений (рис. 3). Поверх плазматич. мембраны растит. К. покрыты, как правило, твёрдой внешней оболочкой (она может отсутствовать лишь у половых К.), состоящей у большинства растений гл. обр. и.: полисахаридов: целлюлозы, пектиновых веществ и гемицеллюлоз, а у грибов и нек-рых водорослей - из хитина. Оболочки снабжены порами, через к-рые с помощью выростов цитоплазмы соседние К. связаны друг с другом. Состав и строение оболочки меняются по мере роста и развития К. Часто у К., прекративших рост, оболочка пропитывается лигнином, кремнезёмом или др. веществом, к-рое делает её более прочной. Оболочки К. определяют механич. свойства растения. К. нек-рых растит, тканей отличаются особенно толстыми и прочными стенками (см. Древесина), сохраняющими свои скелетные функции после гибели К. Дифференцированные растит. К. имеют неск. вакуолей или одну центр, вакуоль, занимающую обычно большую часть объёма К. Содержимое вакуолей - раствор различных солей, углеводов, органич. к-т, алкалоидов, аминокислот, белков, а также запас воды. В вакуолях могут откладываться питат. вещества. В цитоплазме растит. К. имеются спец. органоиды - пластиды: лейкопласты (в них часто откладывается крахмал), хлоропласты (содержат преим. хлорофилл и осуществляют фотосинтез) и хромопласты (содержат пигменты из группы каротиноидов). Пластиды, как и митохондрии, способны к самовоспроизведению. Комплекс Гольджи в растит. К. представлен рассеянными по цитоплазме диктиосомами.

Рис. 3. Разнообразие клеток высших растений: а, б - меристематические клетки; в - крахмалоносная клетка из запасающей паренхимы; г - клетка эпидермиса; и - двуядерная клетка секреторного слоя пыльцевого гнезда; е - клетка ассимиляционной ткани листа с хлоропластами; ж - членик ситовидной трубки с клеткой-спутницей; з - каменистая клетка; и - членик сосуда.

Одноклеточные организмы. В строении и функциях одноклеточных, или простейших, черты, свойственные любой К., сочетаются с признаками самостоят, организмов. Так, у простейших такой же набор органоидов, как и у К. многоклеточных; идентично и ультрастроение их органоидов; при делении простейших в них обнаруживаются типичные хромосомы. Однако приспособление простейших к разным средам обитания (водной или наземной, к свободному или паразитическому существованию) обусловило существ, разнообразие их строения и физиологии. Мн. простейшие (жгутиковые, инфузории) обладают сложным двигат. аппаратом и имеют органеллы, связанные с захватом пищи и пищеварением. Изучение простейших представляет большой интерес для выяснения филогенетич. возможностей К.: эволюционные изменения организма протекают у них на клеточном уровне. В отличие от простейших и К. многоклеточных организмов, бактерии, синезелёные водоросли, актиномицеты не имеют оформленного ядра и хромосом. Их генетич. аппарат, наз. нуклеоидом, представлен нитями ДНК и не окружён оболочкой. Ещё более отличаются от К. многоклеточных организмов и от простейших вирусы, у к-рых отсутствуют осн., необходимые для обмена веществ ферменты. Поэтому вирусы могут расти и размножаться, лишь проникая в К. и используя их ферментные системы.

Специальные функции клеток. В процессе эволюции многоклеточных возникло разделение функций между К., что привело к расширению возможностей приспособления животных и растений к меняющимся условиям среды. Закрепившиеся наследственно различия в форме К., их размерах и нек-рых сторонах метаболизма реализуются в процессе индивидуального развития организма. Осн. проявление развития - дифференцировка К., их структурная и функциональная специализация. Дифференцированные К. имеют такой же набор хромосом, как и оплодотворённая яйцеклетка. Это доказывается пересадкой ядра дифференцированной К. в предварительно лишённую ядра яйцеклетку, после чего может развиваться полноценный организм. Т. о., различия между дифференцированными К., по-видимому, обусловливаются разными соотношениями активных и неактивных генов, каждый из к-рых кодирует биосинтез определённого белка. Судя по составу белков, в дифференцированных К. активна (способна к транскрипции) лишь небольшая часть (порядка 10%) генов, свойственных К. данного вида организмов. Среди них лишь немногие ответственны за спец. функцию К., а остальные обеспечивают общеклеточные функции. Так, в мышечных К. активны гены, кодирующие структуру сократимых белков, в эритроидных К. - гены, кодирующие биосинтез гемоглобина, и т. д. Однако в каждой К. должны быть активны гены, определяющие биосинтез веществ и структур, необходимых для всех К., напр, ферментов, участвующих в энергетич. превращениях веществ. В процессе специализации К. отдельные общеклеточные функции их могут развиваться особенно сильно. Так, в железистых К. более всего выражена синтетич. активность, мышечные - наиболее сократимы, нервные - наиболее возбудимы. В узкоспециализированных К. обнаруживаются структуры, характерные лишь для этих К. (напр., у животных - миофибриллы мышц, тонофибриллы и реснички нек-рых покровных К., нейрофибриллы нервных К., жгутики у простейших или у сперматозоидов многоклеточных организмов). Иногда специализация сопровождается утратой нек-рых свойств (напр., нервные К. утрачивают способность к размножению; ядра К. кишечного эпителия млекопитающих не могут в зрелом состоянии синтезировать РНК; зрелые эритроциты млекопитающих лишены ядра). Выполнение важных для организма функций включает иногда гибель К. Так, К. эпидермиса кожи постепенно ороговевают и гибнут, но остаются нек-рое время в пласте, предохраняя подлежащие ткани от повреждения и инфекции. В сальных железах К. постепенно превращаются в капли жира, к-рый используется организмом или выделяется. Для выполнения нек-рых тканевых функций К. образуют неклеточные структуры. Осн. пути их образования - секреция или превращения компонентов цитоплазмы. Так, значит, по объёму часть подкожной клетчатки, хряща и кости составляет межуточное вещество - производное К. соединит, ткани. К. крови обитают в жидкой среде (плазме крови), содержащей белки, сахара и др. вещества, вырабатываемые разными К. организма. К. эпителия, образующие пласт, окружены тонкой прослойкой диффузно распределённых веществ, гл. обр. гликопротеидов (т. н. цемент, или надмембранный компонент). Внешние покровы членистоногих и раковины моллюсков - также продукты выделения К. Взаимодействие специализированных К.- необходимое условие жизни организма и нередко самих этих К. (см. Гистология). Лишённые связей друге другом, напр, в культуре, К. быстро утрачивают особенности присущих им спец. функций.

Деление клеток. В основе способности К. к самовоспроизведению лежат уникальное свойство ДНК самокопироваться и строго равноценное деление репродуцированных хромосом в процессе митоза. В результате деления образуются две К., идентичные исходной по генетическим свойствам и с обновлённым составом ядра и цитоплазмы. Процессы самовоспроизведения хромосом, их деления, образования двух ядер и деления цитоплазмы разделены во времени, составляя в совокупности митатический цикл К. В случае, если после деления К. начинает готовиться к следующему делению, митотич. цикл совпадает с жизненным циклом К. Однако во мн. случаях после деления (а иногда перед ним) К. выходят из митотич. цикла, дифференцируются и выполняют в организме ту или иную спец. функцию. Состав таких К. может обновляться за счёт делений малодифференцированных К. В нек-рых тканях и дифференцированные К. способны повторно входить в митотич. цикл. В нервной ткани дифференцированные К. не делятся; многие из них живут так же долго, как организм в целом, т. е. у человека - неск. десятков лет. При этом ядра нервных К. не утрачивают способности к делению: будучи пересажены в цитоплазму раковых К., ядра нейронов синтезируют ДНК и делятся. Опыты с клетками-гибридами показывают влияние цитоплазмы на проявление ядерных функций. Неполноценная подготовка к делению предотвращает митоз или искажает его течение. Так, в нек-рых случаях не происходит деления цитоплазмы и образуется двуядерная К. Многократное деление ядер в неделящейся К. приводит к появлению многоядерных К. или сложных надклеточных структур (симпластов), напр, в поперечнополосатых мышцах. Иногда репродукция К. ограничивается воспроизведением хромосом, и образуется полиплоидная К., имеющая удвоенный (сравнительно с исходной К.) набор хромосом. Полиплоидизация приводит к усилению синтетич. активности, увеличению размеров и массы К.

Обновление клеток. Для длительной работы каждой К. необходимо восстановление изнашиваемых структур, как и ликвидация повреждений К., вызванных внешними воздействиями. Восстановит, процессы, характерные для всех К., связаны с изменениями проницаемости плазматич. мембраны и сопровождаются усилением внутриклеточных синтезов, в первую очередь синтеза белка. Во мн. тканях стимуляция восстановит, процессов приводит к репродукции генетич. аппарата и делению К.; это свойственно, напр., покровам или кроветворной системе. Процессы внутриклеточного обновления в этих тканях выражены слабо, их К. живут сравнительно недолго (напр., К. кишечного покрова млекопитающих - всего неск. суток). Макс, выраженности внутриклеточные восстановит, процессы достигают в неделящихся или слабоделящихся клеточных популяциях, напр, в нервных К. Показателем совершенства процессов внутреннего обновления К. является длительность их жизни; для мн. нервных К. она совпадает с продолжительностью жизни всего организма.

Мутации. Обычно процесс воспроизведения ДНК происходит без отклонений, и генетич. код остаётся постоянным, что обеспечивает синтез одного и того же набора белков в огромном числе клеточных поколений. Однако в редких случаях может произойти мутация - частичное изменение структуры гена. Конечный её эффект - изменение свойств белков, кодируемых мутантными генами.

Если при этом затрагиваются важные ферментные системы, свойства К., а иногда и всего организма существенно изменяются. Так, мутация одного из генов, контролирующих синтез гемоглобина, приводит к тяжёлому заболеванию - анемии. Естественный отбор полезных мутаций - важный механизм эволюции.

Регуляция функций клеток. Осн. механизм регуляции внутриклеточных процессов связан с различными влияниями на ферменты - высоко специфичные катализаторы биохимич. реакций. Регуляция может осуществляться на генетич. уровне, когда определяется состав ферментов или количество того или иного фермента в К. В последнем случае регуляция может происходить и на уровне трансляции. Др. тип регуляции - воздействие на сам фермент, в результате чего может происходить как торможение, так и стимуляция его активности. Структурный уровень регуляции - влияние на сборку клеточных структур: мембран, рибосом и т. д. Конкретными регуляторами внутриклеточных процессов могут быть нервные влияния, гормоны, спец. вещества, вырабатываемые внутри К. либо окружающими К. (особенно белки), или же сами продукты реакций. В последнем случае воздействие осуществляется по принципу обратной связи, когда продукт реакции влияет на активность фермента - катализатора этой реакции. Регуляция может осуществляться через транспорт предшественников и ионов, влияния на матричный синтез (РНК, полисомы, ферменты синтеза), изменение формы регулируемого фермента.

Организация и регуляция функций К. на молекулярном уровне определяют такие свойства живых систем, как пространственная компактность и энсргетич. экономичность. Важное свойство многоклеточных организмов - надёжность - во многом зависит от множественности (взаимозаменяемости) К. каждого функционального типа, а также от возможности их замены в результате размножения К. и обновления компонентов каждой К.

В медицине используются воздействия на К. для лечения и предупреждения заболеваний. Мн. лекарственные вещества изменяют активность определённых К. Так, наркотики, транквилизаторы и болеутоляющие вещества снижают интенсивность деятельности нервных К., а стимуляторы её усиливают. Нек-рые вещества стимулируют сокращение мышечных К. сосудов, другие - матки или сердца. Спец. воздействия на делящиеся К. осуществляются при использовании радиации или цитостатич. веществ, блокирующих деление К. Иммунизация стимулирует деятельность лимфоидных К., вырабатывающих антитела к чужеродным белкам, предупреждая тем самым мн. заболевания.

Илл. см. на вклейках - к стр. 296 и табл. XXVIII (стр. 336-337).

Лит.: Кольцов Н. К., Организация клетки, М.- Л., 1936; Вильсон Э., Клетка и её роль в развитии и наследственности, пер. с англ., т. 1-2, М.- Л., 1936-1940; Насонов Д. Н. и Александров В. Я., Реакция живого вещества на внешние воздействия, М.- Л., 1940; Кедровский Б. В., Цитология белковых синтезов в животной клетке, М., 1959; М э з и я Д., Митоз и физиология клеточного деления, пер. с англ., М., 1963; Руководство по цитологии, т. 1-2, М.- Л., 1965-66; Бродский В. Я., Трофика клетки, М., 1966; Живая клетка, [Сб. ст.], пер. с англ., М., 1966; Д е Робертис Э., Новинский В., Саэс Ф., Биология клетки, пер. с англ., М., 1967; Васильев Ю. М. и Маленков А. Г., Клеточная поверхность и реакции клеток, Л., 1968; Алов И. А., Б р ауде А. И., Аспиз М. Е., Основы функциональной морфологии клетки, 2 изд., М., 1969; Лёви А., Сикевиц Ф., Структура и функции клетки, пер. с англ., М., 1971; Handbook of molecular cytology, ed. A. Lima-de-Faria, Amst., 1969. В. Я. Бродский.

КЛЕТНЯ, посёлок гор. типа, центр Клетнянского р-на Брянской обл. РСФСР. Расположен на р. Надва (басс. Днепра). Конечная станция ж.-д. ветки (43 км) от Жуковки (на линии Брянск - Смоленск) и в 99 км к 3. от Брянска. 12 тыс. жит. (1970). Произ-во мебели; лесокомбинат, сыродельный з-д.

КЛЕТОЧНАЯ БАТАРЕЯ, агрегат для выращивания, содержания или откорма с.-х. птицы в клетках. Осн. элементы К. б.: клетки для птицы (с-решётчатыми, сетчатыми или сплошными стенками), совмещённые боковыми и задними или только боковыми стенками и расположенные в один или неск. ярусов; кормушки, размещённые вне клеток; поилки желооковые или клапанные; вместилища для помёта; механизмы для раздачи корма (бункерные, транспортные и др. кормораздатчики), сбора яиц (яйцесборники) и очистки К. б. от помёта (скребки или транспортёры). Различают К. о. для молодняка определённого возраста, взрослой птицы (несушек) и универсальные. В каждой клетке К. б. для молодняка размещают до 20 (иногда больше) птиц, для взрослой птицы- обычно до 7 несушек. К. б. для молодняка могут быть обогреваемые автоматич. электрообогревателями. При использовании необогреваемых К. б. нужная темп-pa воздуха поддерживается во всём помещении. К. б. устанавливают в цехах птицефабрик,в птичниках совхозов и колхозов. В СССР распространены К. б. для выращивания молодняка - КБМ-2А на 2600 цыплят и КБЭ-1 на 1300 цыплят; для кур-несушек - КБНИ-450 на 500 кур и КБН (рис.) на 2350 кур.

Клеточная батарея для кур-несушек КБН.

Лит.: Б л а у н т В. П., Клеточное содержание кур, пер. с англ., М., 1957; Пигарев Н. В., Клеточное содержание птицы, М., 1968. Н. В. Пигарев.

КЛЕТОЧНАЯ ТЕОРИЯ, одно из крупных биол. обобщений, утверждающее общность происхождения, а также единство принципа строения и развития мира растений и мира животных. Согласно К. т., осн. структурным элементом растений и животных является клетка. К. т. утверждает представление о единстве всего живого и его эволюционном развитии. Ф. Энгельс назвал К. т. одним из трёх величайших открытий, обеспечивших прогресс естествознания в 19 в. (см. "Диалектика природы", 1969, с. 168). Исторически открытие клеток и создание К. т. не совпадают. Впервые наблюдал под микроскопом клеточное строение у растений на срезах пробки и стеблей

Развитие представлений о клеточном строении растении: 1 - клетки-пустоты в непрерывном растительном веществе (Р. Гук, 1665); 2 - стенки клеток или пузырьков построены из переплетённых волокон, образующих ткань (Н. Грю, 1682); 3 - клетки-камеры, имеющие общую стенку (начало 19 в.); 4 - каждая клетка имеет собственную оболочку (Г. Линк, И. Мольденхавер, 1812); Ч - образователь клетки - ядро ("цнтобласт"), исчезающее в процессе клеткообразования (М. Шлейден, 1838); б - клетки, состоящие из протоплазмы н ядра (X. Моль, 1844).

различных живых растений англ, мнкроскопист Р. Гук, описавший свои наблюдения в сочинении "Микрография" (1665). Англ, ботаник Н. Грю полагал, что стенки клеток образованы переплётом волокон, наподобие текстиля, откуда и возник термин "ткани" (1682). В 18 в. под влиянием филос. идей в науку начинает проникать мысль о единстве живой природы. Попытку найти нечто общее в строении растений и животных сделал К. Ф. Вольф, но его представления об общности процессов развития "пузырьков", "зёрнышек" и "клеток" были лишь провозвестниками будущей К. т., как и идеи нем. учёного Л. Окена о построении организмов из "пузырьков" или "инфузорий". В нач. 19 в., в связи с успехами в микроскопич. изучении растений, стало ясно, что клетки - не пустоты в общей массе растит, вещества, а структуры, имеющие собственную оболочку; их можно изолировать друг от друга. К концу 3-го десятилетия 19 в. выяснилось, что почти все органы растений имеют клеточное строение, и в учебнике нем. ботаника Ф. Мейена (1830) клетка уже фигурирует как общий структурный элемент тканей растений. Но клетку ещё понимали как камеру, гл. часть к-рой составляет её оболочка, а содержимое имеет второстепенное значение. Ядро в растит, клетке описал Р. Броун (1831), но внимание к ядру привлёк М. Шлейден, считавший его цитобластом - образователем клетки. По Шлейдену, из зернистой субстанции конденсируется ядрышко, вокруг к-рого формируется ядро, а вокруг ядра - клетка, причём ядро в процессе образования клетки исчезает. В нач. 2-й четверти 19 в. работы школы чеш. биолога Я. Пуркине дали большой материал по микроскопич. строению тканей животных, но в своей "теории зёрнышек" Пуркине не смог провести границу между различными "зёрнышками" (так он называл клетки, ядра, а иногда и секреторные включения).

Заслуга оформления К. т. принадлежит ученику нем. биолога И. Мюллера - Т. Шванну, к-рый, ознакомившись с исследованиями Шлейдена, увидел в ядре критерий для сопоставления тканевых структур животных и клеток растений. В 1839 вышло сочинение Шванна "Микроскопические исследования о соответствии в структуре и росте животных и растений" (рус. пер. 1939), в самом заглавии к-рого была выражена сущность К. т. Однако Шванн продолжал считать гл. компонентом клетки её оболочку и воспринял ложное представление Шлейдена о новообразовании клеток из бесструктурного вещества (цитобластемы). Затем К. т. была распространена на одноклеточные организмы - простейших, к-рые были признаны свободно живущими клетками (К. Зибольд, 1848).

Дальнейшее развитие К. т. связано с открытием протоплазмы и клеточного деления. К сер. 19 в. выяснилось, что главным в клетке является её "содержимое" - протоплазма. В 1858 нем. патолог Р. Вирхов опубликовал "Целлюлярную патологию", в к-рой распространил К. т. на явления патологии и обратил внимание на ведущее значение ядра в клетке, провозгласив принцип образования клеток путём деления ("каждая клетка из клетки"). Деление вначале трактовалось как перешнуровка ядра и клеточного тела. В 70-80-х гг. был открыт митоз как универсальный способ клеточного деления, типичный для всех клеточных организмов. В кон. 19 в. были открыты клеточные органоиды, и клетку перестали рассматривать как простой комочек протоплазмы. Вместе с тем во 2-й пол. 19 в. наметилась механистич. трактовка организма как суммы клеток.

Совр. К. т. исходит из единства расчленённости многоклеточных организмов на клетки и целостности организма, основанной на взаимодействии клеток. Чем слолснее организм, тем более выступает его целостность, к-рая у животных осуществляется нервной и гуморальной системами, а у растений - непосредственной цитоплазматич. связью клеток (плазмодесмами и фитогормонами). Электронномикроскопич. исследования укрепили осн. положения К. т. Доказана универсальность клеточных органоидов в растит. и животных клетках. Показано, что есть организмы (Procariota), не имеющие оформленного ядра (напр., бактериофаги, вирусы, отчасти бактерии, синезелёные водоросли); нек-рые из них (бактерии, водоросли) часто наз. клетками, исходя из наличия у них ДНК, но правильнее оставить понятие клетки за организмами, у к-рых ДНК оформлена в виде хромосом и находится в ядрах (Eucariota).

Лит.: Кацнельсон 3. С., Клеточная теория в её историческом развитии. Л., 1963; Вермель Е. М., История учения о клетке, М., 1970. 3. С. Кацнельсон.

КЛЕТОЧНИКОВ Николай Васильевич [20.10(1.11) 1,846, Пенза,- 13(25)7.1883], революционный деятель России 19 в., народник. Из дворян. Учился в Моск. (1863-64) и Петерб. (1864-65) ун-тах, затем в Медико-хирургич. академии (1877). Выполняя задание "Земли и воли", в янв. 1879 поступил на службу в Третье отделение. После раскола "Земли и воли" (авг. 1879) - агент Исполнит, к-та -"Народной воли", к-рому почти ежедневно сообщал о действиях полиции. Арестован в янв. 1881 в Петербурге. По "процессу 20-ти" (1882) приговорён к смертной казни, заменённой пожизненной каторгой в Алексеевском равелине Петропавловской крепости, где умер после голодовки.

Лит.: Троицкий Н. А., Подвиг Николая Клеточникова, "Прометей", т. 9, М., 1972.

КЛЕТОЧНЫЙ СОК, жидкость, выделяемая цитоплазмой живой растит, клетки и заполняющая её вакуоли. К. с. состоит из воды и различных веществ, часто в виде коллоидного раствора. Вязкость К. с. в среднем в 2 раза больше вязкости воды. В покоящихся семенах и спорах растений происходит обезвоживание К. с., а при их прорастании - его обводнение. В молодых клетках К. с. меньше, чем в старых. Состав К. с. специфичен для семейства и даже для вида растений, зависит от условий произрастания, возраста растения и его отдельных клеток. В К. с. содержатся углеводы - глюкоза, фруктоза, сахароза (виноград, яблоня, груша, сахарная свёкла), инулин (георгина, топинамбур), пектины (цитрусовые, смородина, яблоня), а также гликозиды (гесперидин, амигдалин и др.), дубильные вещества, ряд аминокислот (напр., лейцин, тирозин), алкалоиды (никотин, анабазин, кофеин и др.), органич. к-ты (щавелевая, лимонная, яблочная) и неорганич. к-ты. В виде включений в К. с. встречаются кристаллы щавелевокислого кальция. В нек-рых мор. водорослях содержатся йод и бром. Окраска К. с. определяется пигментами: синяя, фиолетовая и красная - антоцианами, жёлтая - антохлором, бурая - антофеином и т. д. К. с. обусловливает осмотич. свойства и тургор клеток и, следовательно, упругость тканей и органов растений, служит вместилищем воды и различных веществ, участвующих в обмене веществ клетки, и местом отложения конечных продуктов обмена. О. Н. Чистякова.

КЛЕТОЧНЫЙ ЦЕНТР, митотический центр, постоянная структура почти всех животных и нек-рых растит. клеток, определяет полюса делящейся клетки (см. Митоз). К. ц. обычно состоит из двух центриолей - плотных гранул размером 0,2-0,8 мкм, расположенных под прямым углом друг к другу. При образовании митотического аппарата центриоли расходятся к полюсам клетки, определяя ориентировку веретена деления клетки. Поэтому правильнее К. ц. называть митотич. центром, отражая этим его функциональное значение, тем более, что лишь в нек-рых клетках К. ц. расположен в её центре. В ходе развития организма изменяются как положение К. н. в клетках, так и форма его. При делении клетки каждая из дочерних клеток получает пару центриолей. Процесс их удвоения происходит чаще в конце предыдущего клеточного деления. Возникновение ряда патологич. форм деления клетки связано с ненормальным делением К. ц.

Клеточный центр лейкоцита саламандры: 1 - цитоплазма; 2 - ядро; 3 - клеточный центр.

Лит.: Аспиз М. Е., Строение, функция и развитие клеточного центра, "Успехи современной биологии", 1969, т. 67, в. 1, с. 40 -52; Горощенко Ю. Л., Клеточный центр, в кн.: Руководство по цитолсн гии, т. 1, М.- Л., 1965, с. 222-29.  М. Е. Аспиз.

КЛЕТРА (Clethra), род вечнозелёных и листопадных деревьев или кустарников сем. клетровых. Листья цельные очередные. Цветки пятичленные. Ок. 30 видов; распространены в Сев. и Юж. Америке, Юж. и Вост. Азии, на Канарских о-вах и о. Мадейра. Виды К. декоративны; их культивируют в СССР, напр. К. о л ьхолистную (С. alnifolia) и К. остроконечную (С. acuminata). В оранжереях выращивают К. древовидную (С. arborea), или ландышевое дерево, - невысокое вечнозелёное дерево с обратноланцетовидными листьями и кистями белых душистых цветков, напоминающих цветки ландыша (отсюда назв.). Дико растёт на о. Мадейра.

Лит.: Деревья и кустарники СССР, т. 5, М.- Л.. 1960.

КЛЕТРОВЫЕ (Clethraceae), семейство двудольных растений. Кустарники или невысокие деревья с очередными листьями. Цветки обоеполые, правильные, б. ч. с сильным запахом, собранные в кистевидные или метельчатые соцветия. Чашечка и венчик 5-членныо; завязь верхняя 3-гнёздная; плод - коробочка. 2 рода: Schizocardia с 1 видом, эндемичным для Брит. Гондураса, и клетра. К. культивируют как декоративные в оранжереях, а в более юж. р-нах - в открытом грунте.

Лит.: Тахтаджян А. Л., Система и филогения цветковых растений, М.- Л., 1966.

КЛЕТЧАТКА, 1) полисахарид, дающий при полном гидролизе глюкозу; входит в состав большинства растит, организмов, являясь основой клеточных стенок. Изредка входит в состав скелетных образований нек-рых инфузорий (отр. Entodiniomorpha). To же, что целлюлоза. 2) Рыхлая богатая жиром соединит, ткань; см. Жировая ткань.

КЛЕТЬ, сруб, простейшая деревянная конструкция, образованная положенными друг на друга венцами из брёвен. Широко применяется в деревянной архитектуре (избы, хоз. постройки, церкви клетского типа). К. называют также неотапливаемую часть избы.

КЛЕТЬ в прокатном производстве, см. Прокатный стан.

КЛЕТЬ шахтная, подъёмное устройство для перемещения по шахтному стволу на поверхность вагонеток с полезным ископаемым, спуска и подъёма людей, материалов, оборудования. К. состоит из металлич. кабины, приспособлений, направляющих её по проводникам, ограничителей, предохраняющих вагонетки от самопроизвольного выкатывания, подвесного и парашютного устройства (см. Парашют шахтный). К. в вертикальных шахтных стволах перемещаются по деревянным или металлич. направляющим проводникам, в наклонных - по рельсам. К. бывают опрокидные, неопрокидные и комбинированные, а также одно- и многоэтажные.

КЛЕФТЫ (новогреч. klephtes, букв.воры), греческие крестьяне-партизаны, боровшиеся против тур. господства. К. нападали гл. обр. на местных тур. феодалов и представителей тур. администрации, а также на греч. землевладельцев-кодзабасов, к-рые и дали им прозвище "воры". В 17-18 вв. движение К., несмотря на карательные меры тур. властей, приняло значит, размах, что вынудило тур. пр-во в кон. 17 в. легализовать часть отрядов К. (см. Лрматолы), поручив им функции внутр. стражи. В греч. нац.-освободит, революции 1821-29 К. и арматолы составляли осн. костяк повстанческих сил. Сохранились многочисл. нар. песни о подвигах К.

КЛЕЦК, город (с 1940), центр Клецкого р-на Минской обл. БССР, в 2 км от ж.-д. ст. Клецк (на линии БарановичиЦентральные - Осиповичи). Под назв. К л е ч е с к известен с 11 в., город - с 1127. В 11-12 вв. центр Клецкого др.славянского княжества в земле дреговичей. Консервный, винодельческий, маслосыродельный заводы и другие предприятия.

КЛЕШНЕВИДНЫЕ СОЕДИНЕНИЯ, хелатные соединения, один из классов хим. комплексных соединений; то же, что внутрикомплексные соединения.

КЛЕЩЁВ Алексей Ефимович [12(25).2. 1905, дер. Михновичи, ныне Калинковичского р-на Гомельской обл.,- 13.12. 1968, Москва], советский гос. и парт, деятель, Герой Сов. Союза (1.1.1944). Чл. КПСС с 1928. Род. в крестьянской семье. В 1924-27 пред, сельсовета, в 1930-39 директор МТС в БССР. С сент. 1939 нач. земельного отдела Пинской обл. В период Великой Отечеств, войны 1941-45 создавал подпольные парт, орг-ции на оккупированной фашистами терр., секретарь Пинского подпольного обкома КП Белоруссии, возглавлял партиз. соединение, с сент. 1943 ген.-майор. С 1944 1-й секретарь Пинского, а в 1946-48 Полоцкого обкомов КП Белоруссии. В 1948-53 пред. Сов. Мин. БССР. В 1955-1960 1-й секретарь Кокчетавского обкома КП Казахстана. Делегат 19-21-го съездов КПСС. Деп. Верх. Совета СССР 2, 3, 5-го созывов. С 1961 на пенсии. Награждён 3 орденами Ленина, 2 др. орденами, а также медалями.

КЛЕЩЕВИНА (Ricinus), род многолетних древовидных растений сем. молочайных. Представлен 1 видом - К. обыкновенная (R. communis), касторник, рицина, рай-дерево, к-рый подразделяется на неск. подвидов. Из них широко возделывают (для получения масла из семян) подвиды: персидский (persicus), сангвинеус, или кроваво-красный (sanguineus), занзибарский (zanzibariensis) и китайский (chinensis). На родине, в сев.-вост. Африке, К.- кустарник или дерево высотой до 10 м. Здесь (и в др. тропич. и субтропич. странах) её выращивают как 2-3-летнюю или однолетнюю культуру, в р-нах с умеренным климатом - только как однолетнюю. В СССР распространены подвиды: персидский, сангвинеус и гибридные сорта. Растения со стержневым корнем, прямым, ветвистым, зелёным (у персидской), красным или коричневым (у сангвинеус) стеблем, выс. 1-2, иногда до 4 м. Главный стебель несёт от 5 до 20 крупных листьев, разделённых на лопасти, и заканчивается кистевидным соцветием. Цветки сидят группами (цимами) на оси соцветия, в верхней части женские, в нижней - мужские. В условиях СССР на растении созревает 3-5 кистей, в тропиках и субтропиках - 100-150. Плод К.- 3-гнёздная коробочка (в соцветии от 15 до 300 коробочек), в гнезде по 1 твёрдому, блестящему, пёстроокрашенному семени; 1000 семян весит 200-500 г. Все части растения содержат белок рицин и алкалоид рицинин, ядовиты для человека и животных. К.- светолюбивое, влаголюбивое и теплолюбивое растение. Семена её начинают прорастать при 10-13 °С. Сумма активных темп-р (более 10 °С) за вегетац. период (110-150 сут) 2500-3200 °С. Лучшие почвы - чернозёмные.

Клещевина: 1 - верхняя часть растения; 2-плод с шипами; 3 - плод без шипов.

Из семян К. извлекают касторовое масло (содержание его 48-55%). Клещевинный жмых - хорошее удобрение, после обезвреживания острым паром пригоден на корм скоту. Из волокна стеблей можно изготовлять верёвки, мешковину, листья использовать для выкормки шелковичных червей породы эри. К. с древнейших времён культивируют в Африке, откуда она распространилась в Азию, Америку и Европу. В России это растение начали выращивать с сер. 19 в. под назв. "турецкая конопля". Мировая посевная площадь К. в 1970 более 1,2 млн. га, преим. в Бразилии, Индии, Китае; валовой сбор семян 723 тыс. т, ср. урожай 5,6 ц с I га. В СССР в 1970 посевы К. занимали (на Сев. Кавказе и юге Украины) 178 тыс. га. Средний урожай без полива 7-12 ц с 1 га, при орошении 16-20 ц с I га. Лучшие сорта с нерастрескивающимися коробочками: ВНИИМК 165, Донская 33/44, Гибрид ранний, Степная 6, Червонная; в СССР, США и др. странах начаты посевы гибридов К. первого поколения.

Под культуру вносят навоз (20 т/га) и минеральные удобрения - 45 кг/га N и 60 кг/га Р2О5. Посев квадратно-гнездовой или пунктирный с междурядьями 70 см, норма высева семян 20-28 кг/га. Всходы прореживают, оставляя на 1 га 35-50 тыс. растений (в поливных условиях 60-65 тыс.). В течение вегетации междурядья 2-3 раза рыхлят и поливают (поливная норма 400-500 м3/га воды), для уничтожения сорняков применяют гербициды (натриевая соль 2,4-Д, прометрин). Убирают К. при подсыхании коробочек на центральных ветвях и ветвях первого порядка. Чтобы облегчить уборку, проводят дефолиацию (удаление листьев) и десикацию (подсушивание растений). Вредители К.проволочники, ложнопроволочники, гусеницы озимой и хлопковой совок; болезни - фузариоз, склероциниоз, серая гниль и др. К. используют также как декоративное растение.

Лит.: Атлас лекарственных растений СССР, М., 1962; Клещевина, Ростов н/Д., 1963; Жуковский П. М., Культурные растения и их сородичи, 2 изд., Л., 1964; Клещевина, Краснодар, 1964; [М о шк и н В. А.], Клещевина, в сб.: Руководство по селекции и семеноводству масличных культур, М., 1967. См. также лит. при ст. Масличные культуры. В. А. Мошкин.

КЛЕЩИ (Acarina), мелкие (от 0,1 до 30 мм) членистоногие животные класса паукообразных подтипа хелицеровых. По мнению одних зоологов, К.- единый отряд, включающий 3 подотряда: клещи-сенокосцы (Opilioacarina), акариформные К. (Acariformes) и паразитиформные К. (Рагаsitiformes). Др. зоологи считают эти группы неродственными друг другу отрядами. Для К. характерны шестиногая личинка (у нимф и взрослых К.- 8 ног) и особый передний участок тела - "головка" (гнатосома), часто подвижно сочленённая с телом и несущая 2 передние пары конечностей (хелицеры и педипальпы). У немногих примитивных К., в т. ч. у клещей-сенокосцев, сохраняется сегментация. Тело К. состоит из крупных отделов. Для большинства акариформных К. характерно деление на головной отдел (протеросому), несущий 4 пары конечностей, и задний отдел (гистеросому) с 2 задними парами ног. У паразитиформных К. имеются головогрудь (просома), несущая все 6 пар конечностей, и безногое брюшко (опистосома). У высших представителей обоих подотрядов отделы тела обычно сливаются. Покровы тела тонкие, кожистые или с плотными щитами, б. или м. сливающимися. Окраска разнообразная, одноцветная или пёстрая. Строение конечностей варьирует в зависимости от способа питания и образа жизни. Хелицеры с клешнёй на конце, когтеобразные или иглообразные; служат для захвата пищи, размельчения её или для прокола кожи животного-хозяина и закрепления на нём; у самцов нек-рых К. хелицеры приспособлены для спаривания. Педипальпы простые, ногообразные; их основные членики формируют предротовую полость, остальные образуют щупальце. Ноги с коготками и присосками, у нек-рых К. без них. Кожные органы чувств - щетинки и лировидные органы - рассеяны на теле и конечностях. Глаз 1-2 пары (иногда есть 1 непарный срединный), у мн. глаза отсутствуют. Дыхание кожное или трахейное; трахеи открываются 1-4 парами дыхалец (или стигм) у переднего края тела или на его боках. К. раздельнополы; у мн. выражен половой диморфизм. Положение полового отверстия сильно варьирует; у самок иногда имеются парные совокупительные отверстия, помимо непарного яйцевыводного. Оплодотворение сперматофорное (самец прикрепляет сперматофор к половому отверстию самки или оставляет его на субстрате, а самка захватывает его) или внутреннее, сопровождающееся спариванием. Известно девственное размножение (партеногенез). Большинство К. откладывает яйца, нек-рые живородящи. Цикл развития включает фазы яйца, предлнчинки, личинки, прото-, дейто-, тритонимфы и взрослых К.; у мн. К. отдельные фазы развития выпадают; иногда (у аргасовых К.) нимфы линяют несколько раз и число нимфальных стадий непостоянно.

Известно св. 10 тыс. видов К. К акариформным К. относятся саркоптиформные (панцирные клещи, амбарные, волосяные, перьевые, чесоточные и др.) и тромбидиформные К. (паутинные клещи, водяные клещи, краенотелки, железницы, галловые клещи и др.). К паразитиформным К. принадлежат гамазовые клещи, аргасовые К., иксодовые К. и др. Распространены.К. повсеместно. Большинство обитает на суше, нек-рые в морях и пресных водах. Особенно многочисленны К. в умеренных и тропич. странах. Хищные и растительноядные К. живут свободно в почве, лесной подстилке, на растениях, в разлагающихся органич. остатках, в норах и гнёздах животных; мн. паразитируют на растениях, животных и на человеке; есть и полостные паразиты. Нек-рые К. полезны: участвуют в образовании почв, перерабатывают растит, остатки, истребляют нек-рых вредителей растений. Мн. К. причиняют большой вред. Иксодовые, аргасовые и нек-рые гамазовые К. сильно вредят человеку и животным как эктопаразиты и переносчики возбудителей трансмиссивных болезней: энцефалитов, геморрагических и др. лихорадок и пр.; они переносят вирусы, бактерии, спирохеты, анаплазмы, пироплазмы, тейлерии, микрофилярии. Нек-рые панцирные клещи - промежуточные хозяева ленточных червей - паразитов домашних животных. Амбарные клещи повреждают запасы зерна и др. продуктов; галловые клещи, паутинные клещи и нек-рые гамазовые клещи вредят растениям; чесоточные клещи паразитируют в коже человека и животных, вызывая чесотку. Клещ акарапис вызывает болезнь пчёл - акарапидоз. Личинки клещейкраснотелок, нападая на человека, вызывают укусами дерматиты, передают японскую лихорадку - тсутсугамуши.

Против К. применяются акарициды и биол. методы борьбы. Изучением К. занимается акарология.

Илл. см. на вклейке к стр. 297.

Лит.: Соколов И. И., Водяные клещи (Hydracarina), ч. 1, 2, М.- Л., 1940-52 (Фауна СССР, № 20, S3); 3 а хваткин А. А., Тироглифоидные клещи (Tyroglyphoidea), М.- Л., 1941 (там же, №28); Померанцев Б. И., Иксодовые клещи (Ixodidae), М.- Л., 1950 (там же, № 41); Дубинин В. Б., Перьевые клещи (Analgesoidea), ч. 1 - 3, М.- Л., 1951 - 56 (там же, № 43, 55, 63); Филиппова Н. А., Аргасовые клещи (Argasidae), М.- Л., 1966, (там же, № 96); Поспелова-Штром М. В., Клещиорнитодорины и их эпидемиологическое значение, М., 1953; Бреге.това Н. Г., Гамазовые клещи (Gamasoidea), М.- Л., 1956; её же, Акарология в СССР, "Тр. Зоологического ин-та АН СССР", 1965, т. 35 (библ.); Р е к к Г. ф., Определитель тетраниховых клещей, Тб., 1959; Балашов Ю. С., Кровососущие клещи (Ixodoidea) - переносчики болезней человека и животных, Л., 1967; Буланов аЗахваткина Е. М., Панцирные клещи-орибатиды, М., 1967; Волгин В. И., Клещи семейства Cheyletidae мировой фауны, Л., 1969; Л а н г е А. Б., Класс паукообразные или арахниды (Arachnida), в кн.: Жизнь животных, т. 3, М., 1969. Н. Г. Брегетова.

КЛЕЩИ, инструмент в виде рычажных щипцов для зажима, захвата материала или изделий при их обработке. В зависимости от назначения различают К. для столярных, кузнечных, электромонтажных и др. работ. Кузнечные К. рычажного типа появились в начале железного века. Им предшествовали, вероятно, пинцетообразные К., применявшиеся металлургами в бронзовом веке (напр.,в Египте). Дифференциация кузнечного ремесла способствовала появлению К. спец. назначения, с фигурными губками и др.

КЛЕЩИ ЭЛЕКТРОИЗМЕРИТЕЛЬНЫЕ, прибор для измерения силы тока и электрич. напряжения в сильноточных и высоковольтных линиях без электрич. контакта с токонесущими проводами (шинами). Головка К. э. представляет собой разъёмный сердечник из ферромагнитного материала с расположенной на нём катушкой индуктивности (рис.). Прибор оснащён изолирующими ручками (или рукояткой) и пружинным механизмом, что придаёт ему сходство с клещами. При измерениях токонесущий провод (шина) охватывается сердечником и вместе с катушкой индуктивности образует измерительный трансформатор: первичной обмоткой служит токонесущий провод, а вторичной - катушка индуктивности, к к-рой подключён стрелочный электроизмерит. прибор переменного тока.

Электроизмерительные клещи.

КЛЕЩИ-КРАСНОТЕЛКИ (Trombea), надсемейство из подотряда тромбидиформных клещей. Дл. до 2-3 мм\ окраска от беловато-розоватой до красной. 2 сем.: Trombiculidae и Leeuwenhoekiidae, объединяющие 1600 видов. Распространены всесветно, от тундры до субтропиков и тропиков. В СССР - 150 видов. Взрослые и нимфы живут в почве; хищники, питаются низшими насекомыми и их яйцами. Паразитирует только одна фаза жизненного цикла К.-к.- личинка; животные-хозяева - млекопитающие, птицы, пресмыкающиеся и земноводные. Нек-рые виды нападают на человека.

Клещ-краснотелка (Eutrombicula batatas): 1 - личинка; 2 - нимфа; 3 - взрослый клещ.

Укусы К.-к. вызывают у человека и животных дерматиты. В Юго-Вост. Азии К.-к. могут служить переносчиками возбудителя тяжёлого риккетсиозного заболевания - лихорадки тсутсугамуши. Илл. см. также к ст. Клещи, вклейка к стр. 297.

Лит.: Шлугер Е. Г., Клещи краснотелки (Trombiculidae), в сб.: Переносчики возбудителей природноочаговых болезней, М.. 1962; её же, Клещи краснотелкн (Trombiculidae), в сб.; Методы изучения природных очагов болезней человека, М., 196-4.  Е. Г. Шлугер.

КЛЕЩИ-СЕНОКOСЦЫ (ОрШоасаrina), отряд примитивных клещей. Тело овальное, дл. 1-2 мм, слабо склеротизовано. Ноги длинные и тонкие. Известно 10 видов. Встречаются К.-с. очень редко. Обитают в растит, остатках. В СССР в Ср. Азии обнаружены 2 вида: Рагacarus hexophthalmus и Opilioacarus italicus. Нек-рые зоологи считают К.-с. подотрядом отряда клещей. Илл. см. к ст. Клещи, вклейка к стр. 297.

КЛИВАЖ (франц. clivage - расслаивание, расщепление), расщепление горных пород на тонкие пластины, наблюдаемое в местах распространения линейных складок слоев земной коры, к-рые возникают вследствие тектонич. движений.

Особенно хорошо проявляется в глинистых сланцах, где толщина пластин может иметь доли миллиметра (кровельные сланцы). Более толстые и грубые пластинки образуются в песчаниках и известняках. Условия образования К. не вполне выяснены. Несомненную роль играет перекристаллизация минералов в условиях направленного сжатия. Кристаллы сплющиваются в плоскости, перпендикулярной оси сжатия, и порода приобретает плоскопараллельную ориентированную внутр. структуру. Т. к. линейные складки образуются в земной коре под влиянием сжатия, направленного перпендикулярно к их осевым плоскостям, плоская ориентировка кристаллов принимает то же направление, обеспечивая в том же направлении и способность породы раскалываться на пластинки. Важное значение при образовании К. имеет вода, выделяемая минералами при метаморфизме горных пород. Сильная перекристаллизация при К. приводит к сланцеватости породы., при к-рой образуются плоские ориентированные кристаллы размером св. 1 мм. Иногда К. неправильно называют всякую трещиноватость горных пород.           В. В. Белоусов.

КЛИВИЯ (Clivia), род растений сем. амариллисовых. Многолетние вечнозелёные растения с укороченным стеблем, небольшим вертикальным корневищем и толстыми мясистыми корнями. Листья: кожистые, ремневидные. Цветки воронковидные или трубчатые с простым 6-членным оранжевым, красновато-оранжевым или желтовато-розовым венчиком, собраны в зонтики. Плод - оранжевокрасная ягода. 3 вида из Юж. Африки; культивируют как декоративные растения. К. м и н и а т а (С. miniata) стала обычным комнатным растением. Размножаются К. корневищными отпрысками и семенами.

КЛИВЛЕНД (Cleveland) Стивен Гровер(18.3.1837, Колдуэлл, шт. Нью-Джерси,24.6.1908, Принстон, шт. Нью-Джерси), гос. деятель США. По образованиююрист. Принадлежал к Демократич. партии. Президент США в 1885-89 н 1893-97. При нём был восстановлен золотой стандарт (1893) и принят протекционистский тариф (1894). Пр-во К. проводило жёсткую антирабочую политику. В междунар. делах К. следовал идеепанамериканизма.

КЛИВЛЕНД (Cleveland), город на С.-В. США, в шт. Огайо, порт на юж. берегу оз. Эри при впадении в него р. Кайахога. 751 тыс. жит. (1970), с пригородами 2,1 млн. жит. Один из важнейших пром.., финанс. и культурных центров США.

К. осн. в 1796. Рост города в 19 в. связан с развитием судоходства по Beликим озёрам и местонахождением у начала канала Эри - Онтарио, впоследствии благоприятное положение К. на пути из р-на железорудных месторождений Верхнего оз. в Питсбургский угольно-металлургич. р-н способствовало превращению К. в крупный центр металлургии, а затем и машиностроения. Экономически активного населения 870 тыс. (1969), в т. ч. (в %): в обрабат. пром-сти 34, в торговле и обслуживании 35, на транспорте и в коммунальном х-ве 6, в финансах 5, на гос. службе 12.

К.- один из важнейших портов системы Великих озёр, грузооборот 20 млн. т в 1969, прибытие грузов (жел. руда, известняк и т. п.) почти в 40 раз превышает отправление. Через К. проходят важные ж.-д. и шосс. магистрали, связывающие север Атлантического побережья США с Детройтом и Чикаго. Аэропорт.

Из 315 тыс., занятых в пром-сти, ок. 3/4 приходится на тяжёлую индустрию. Ведущие отрасли: чёрная металлургия, металлообработка, разнообразное машиностроение [станки, автомобили (гл. обр. произ-во частей), электротехнич. и радиоэлектронная пром-сть, произ-во строит, и портового оборудования, озёрных судов и барж], хим. пром-сть, про.из-во медикаментов. Значительны также полиграфич., швейная, мясная пром-сть, имеется нефтепереработка. Ун-т.

К.- значит, центр рабочего движения США. В.М.Гохман.

КЛИВЛЕНДСКАЯ ФИНАНСОВАЯ ГРУППА, один из старейших союзов монополистич. капитала США. В кон. 60-х гг. 20 в. занимала пятое место среди провинциальных финанс. групп. Совокупные активы группы в кон. 60-х - нач. 70-х гг. составили св. 25 млрд. долл. Гл. контора - в г. Кливленд (шт. Огайо).

К. ф. г. сложилась на базе чёрной металлургии, горнодобывающей пром-сти, ж.-д. транспорта, к-рые в основном привязаны к потребностям автомоб. центра США - г. Детройта. В отличие от мн. финанс. групп США у неё нет разветвлённой сети крупных кредитно-финанс. учреждений (банков, страховых и инвестиц. компаний, пенсионных фондов). Группа возникла в кон. 19 в. как коалиция трёх семейных группировок - Итона, Матеров и Ханна. С сер. 50- нач. €0-х гг. Матеры стали играть второстепенную роль. К. ф. г. состоит из трёх мощных монополистич. групп: Итона, Хэмфри - Ханна и объединённой группы (ряда монополий Кливленда и Ср. Запада). В состав группы Итона входят крупнейшие железорудные компании США "Стип рок айрон майнс", "Кливленд клифс айрон", "Унгава айрон орз"; сталеплавильные корпорации "Рипаблик стил", чИнленд стил", "Детройт стил", "Уилинг стил" и "Янгстаун шит энд тьюб", угледобывающая компания "Уэст Кентукки коул". В 50-х гг. 20 в. группа подчинила своему контролю крупнейшие ж.-д. компании "Нью-Йорк сентрал рейлрод" и "Чесапик энд Огайо рейлрод", в 1963 чБалтимор энд Огайо". В нач. 70-х гг. группа контролировала активы пром., трансп. и финанс. корпораций на общую сумму св. 7 млрд. долл. В состав группы Хэмфри-Ханна входят угледобывающая компания " Консолидейшен коул", металлургич. фирма "Нэшонал стил" и горнодобывающая корпорация "Ханна май.нинг". Через "Консоли дейшен коул" группа владеет акциями автомоб. концерна "Крайслер", "Нэшонал сити банк оф Кливленд" и компании по страхованию имущества "Дженерал реиншуренс". Общая сумма активов, контролируемых группой, в нач.70-х гг. превышала 6 млрд. долл. Объединённая группа возникла на основе взаимного тяготения ряда крупных банков, а также пром., трансп. корпораций Кливленда и Ср. Запада. Общая сумма активов группы в нач. 70-х гг. составляла св. 13 млрд. долл. За границей К. ф. г. имеет крупные капиталовложения в Канаде.

Лит.: Меньшиков С. М., Миллионеры и менеджеры, М., 1965, с. 428-31; Зорин В., Некоронованные короли Америки, М., 1967; "Moody's Industrial Manual", 1968, July; "Moody's Bank and Finance Manual", 1968, April; "Fortune", 1968, 15 June.  E. ф. Жуков.

КЛИЕНТЕЛА (лат. clientela, от cliens - клиент, т. е. зависимый, подчинённый), форма социальной зависимости, возникшая в период разложения родового и складывания раннеклассового строя в древней Италии у латинов, сабинов и этрусков. Обедневшие сородичи и бесправные завоёванные или пришлые жители формирующихся полисов индивидуально либо коллективно, ища покровительства патронов из богатой знати, становились их клиентами. Клиенты получали родовое имя патронов, а также зем. надел, обязуясь нести в их пользу разные повинности, прежде всего военную. Узы К. считались священными и нерушимыми. Особенно развились отношения К. в Др. Риме в связи с ростом рабовладения и углублением социальных противоречий. В период Республики К. распространилась на вольноотпущенников, значит, часть рим. плебса и на целые общины Италии и провинций, зависимые от Рима, и продолжала существовать в эпоху Империи.

КЛИЗМА (от греч. klysma - промывание), введение в прямую кишку через задний проход к.-л. жидкостей для освобождения кишечника при задержке стула, вливания лекарственных жидкостей или диагностических средств.

Различают К.: очистительные, послабляющие, лекарственные, диагностические. Очистительные К.- введение 1-1,5 л воды (или мыльного раствора) темп-рой 25-30 °С для возбуждения перистальтики (вследствие раздражения слизистой оболочки кишечника) и размягчения твёрдого кала. Разновидностью очистительной К. является сифонная, при к-рой вода (0,5-1 л) вводится многократно и ритмически по принципу сифона. Применяется при парезах кишечника и способствует восстановлению перистальтики. Послабляющие К.введение 50-200 мл растительного масла или 50-100 мл гипертонич. раствора поваренной соли, сернокислой магнезии, сернокислого натрия; применяют, когда нежелательно напряжение при опорожнении кишечника. Лекарственные К.- введение лекарственных веществ, непосредственно воздействующих на слизистую оболочку кишки или в целях всасывания через стенку кишки (напр., при упорной рвоте). При необходимости введения в организм больших количеств жидкости назначается к апельная К. (при введении по каплям жидкость хорошо всасывается). Введение растворов глюкозы и физиологического в К. применяют исключительно редко. Для рентгенологич. исследования в К. вводят контрастные вещества - диагностические К.

КЛИКА (от франц. clique - шайка, банда), группа людей, стремящихся любыми средствами достигнуть к.-л. низменных, корыстных целей. Напр., придворная К., фашистская К., и т. п.

КЛИКСЫ (от англ, click - щёлкать), щёлкающие согласные, при произнесении к-рых одновременно образуется ртовая и гортанная смычка. Гортань опускается для ослабления напора воздуха и в возникшей т. о. полости струя воздуха, создаваемая ослаблением ртового затвора, направляется внутрь, взрывая гортанную смычку. Встречается в ряде языков Юж. Африки.

КЛИМАКС (от греч. klimax - лестница) в геоботанике, заключительное, относительно стабильное состояние растительности, возникающее в результате смен или сукцессии (ряд послед оват. смен) растит, покрова. Концепцию К. детально разработал амер. фитоценолог X. Каулс (1901). Амер. ботаник Ф. Клементе рассматривал К. как процесс, равнозначный индивидуальному развитию организма; он считал, что для каждой крупной климатически однородной территории имеется только одна заключительная формация (один К.). Однако фитоценоз как целое не способен к размножению и, кроме того, сукцессия, завершающаяся К., совершается на основе объединения неоднородных элементов (видов) на общей площади, а не на базе дифференцирован единого, как это происходит в индивидуальном развитии организма. Понятие К. как относительно устойчивого состояния, приобретённого растительностью в процессе её развития на определённом месте, представляет и теоретич., и практич. интерес, т. к. позволяет предвидеть направление естеств. хода смен растительности, что важно при планировании мелиоративных мероприятий, эксплуатации лесных, луговых и степных угодий.

Лит.: Александрова В. Д., Динамика растительного покрова, в сб.: Полевая геоботаника, т. 3, М.- Л., 1964; Ш е н н иков А. П., Введение в геоботанику. Л., 1964.  А. А. Уранов.

КЛИМАКС (мед.), климактерий (от греч. klimakter - ступень лестницы, возрастной переломный момент), климактерический период, переходный период от половой зрелости к пожилому возрасту.

К. у женщин проявляется нарушением периодичности менструального цикла до полного его прекращения, что свидетельствует о наступлении нового периода в жизни женщины - м е н о п ау з ы. Наступает К. обычно в возрасте 45-54 лет, чаще ок. 47 лет и продолжается в среднем 15-18 мес. Но наблюдается и преждевременное наступление К. (до 40 лет) - ранний К., и позднее (после 55 лет). Ранний К. бывает обусловлен первичной недостаточностью яичников (позднее, в 17-18 лет, наступление первой менструации), тяжёлыми условиями жизни; играют роль также перенесённые инфекц. заболевания, потрясения, конституц. и наследств, предрасположения. Поздний К. обычно возникает у женщин, у к-рых вследствие тех или иных причин имеются застойные явления в малом тазу, а также при фибромиомах матки. У одних менструации прекращаются сразу; у других - постепенно; нередко в климактерич. периоде могут наблюдаться маточные кровотечения, к-рые связаны с нарушением функции яичников и образования в них жёлтого тела.

В основе К. лежат сложные изменения во всей системе, регулирующей цикличные изменения в женском организме, включающей центр, нервную систему [подбугровую область, или гипоталамус, диэнцефальную область, мозговой придаток (гипофиз)] и яичники. В яичниках прекращается созревание фолликулов и выхождение яйцеклеток (овуляция). Однако иногда овуляция продолжается ещё нек-рое время после прекращения менструаций. Продукция гормонов, регулирующих циклич. изменения, продолжается после прекращения менструаций и ещё в течение ряда лет в менопаузе.

К. более чем у половины женщин проходит гладко и не сопровождается к.-л. болезненными явлениями. Наряду с этим, особенно при затянувшемся или позднем К., могут наблюдаться кровотечения (к-рые иногда обусловлены опухолью), а также ряд нарушений, объединяемых термином "климактерический синдром". Этот синдром особенно часто наблюдается ранней весной (февраль - март), что, по-видимому, связано с весенним гиповитаминозом, усталостью после зимнего периода, снижением солнечной радиации. Основной жалобой при этом синдроме являются т. н. приливы, т. е. внезапные покраснения лица, шеи, груди, затылка, сопровождающиеся чувством жара; такое состояние продолжается 2-3 мин, чаще по вечерам; особенно тягостны приливы по ночам. Во время приливов наблюдается обильное выделение пота. Нередко отмечается нервозность, раздражительность, головные боли, бессонница., чувство страха, угнетённое (депрессивное) состояние и др. У нек-рых женщин в климактерич. периоде повышается кровяное давление, иногда появляются боли в области сердца, в коленных суставах, реже - суставах пальцев (эндокринные артриты). Являясь результатом возрастной перестройки организма, неприятные симптомы нередко проходят без лечения. При климактерич. синдроме средней тяжести и тяжёлых формах необходимо лечение - общеукрепляющее (рациональный гигиенич. режим, диета, особенно при склонности к ожирению, витамины группы А, В, Е); гальванизация, гидротерапия (хвойные ванны), гормональная терапия (эстрогены, андрогены и их комбинации).

Профилактика патологич. проявлений в К.: соблюдение общегигиенического режима, занятия физической культурой и спортом.

К. у мужчин наступает обычно между 50 и 60 годами; он менее выражен, но более продолжителен. Климактерич. синдром проявляется нейро-вегетативными, сердечно-сосудистыми и гормональными расстройствами, выражается бессонницей, ослаблением памяти, ощущением страха, понижением работоспособности. Могут возникать головокружения, обмороки, ощущения пульсации в голове, приливы жара к голове и лицу. Иногда появляются боли в сердце, повышается кровяное давление. Половое чувство и половая способность снижаются, но в нек-рых случаях сохраняются. Лечение климактерич. синдрома проводится длит. применением гормональных препаратов (андрогенов).

Лит.: Баранов В. Г., Подольская И. Ю. и Розовская И. Г., Функция коры надпочечников у женщин в период старения и климакса, "Проблемы эндокринологии и гормонотерапии", 1960, № 3, с. 95-103; К ватер Е. И., Гормональная диагностика и терапия в акушерстве и гинекологии, 2 изд., М., 1961; Малиновский М. С., Свет-Молдавская Е. Д., Климактерий и менопауза, М., 1963 (библ.); Физиология и патология климактерия женщины, Л., 1965; Вихляева Е. М., Климактерический синдром и его лечение, М., 1966. В.А.Покровский.

КЛИМАКС, стилистическая градация: интонационно-синтаксический ряд, члены к-рого расположены в порядке возрастающей значимости (отличаясь от перечисления, где они обладают равной силой). Напр.: Не жалею, не зову, не плачу, Всё пройдёт, как с белых яблонь дым.(С. Е с е н и н).

КЛИМАНОВ Егор Афанасьевич (псевд. Афанасьев) [ 1(13). 1.1866, дер. Полуяково, ныне Плюсский р-н Псковской обл., - февр. 1919], русский рабочий-революционер. Из крестьян. В Петербурге работал кузнецом, вечерами учился в технич. школе. В 1886 вступил в "Товарищество санкт-петербургских мастеровых". Активный участник Бруснева группы, входил в рабочий центр, к-рый организовывал кружки на различных предприятиях города. Один из организаторов первой маёвки в Петербурге (1891). Арестован в 1892 и позже сослан. В 1894 вернулся в Петербург, поступил на Путиловский з-д. В апр. 1895 за революц. деятельность выслан на 5 лет в Вологодскую губ. По окончании ссылки работал в Ревеле (Таллине), Одессе, затем в Керчи, участвовал с лета 1905 в местной с.-д. орг-ции. В марте 1906 снова арестован и выслан в Вологодскую губ., откуда бежал и нелегально жил в Петербурге. После Окт. революции 1917 был пропагандистом Выборгского районного к-та РКП(б) в Петрограде; работал на строительстве Шатурской электростанции. Умер от сыпного тифа.

Лит.: Спиридонов П. И., Русский рабочий и революционер Е. Климанов, "Вопросы истории", 1969, j-й 8.

КЛИМАТ (от греч. klima, род. падеж klimatos, букв.- наклон; подразумевается наклон земной поверхности к солнечным лучам), многолетний режим погоды, свойственный той или иной местности на Земле и являющийся одной из её геогр. характеристик. При этом под многолетним режимом понимается совокупность всех условий погоды в данной местности за период в неск. десятков лет; типичная годовая смена этих условий и возможные отклонения от неё в отд. годы; сочетания условий погоды, характерные для различных её аномалий (засухи, дождливые периоды, похолодания и пр.). Ок. середины 20 в. понятие К., относившееся ранее только к условиям у земной поверхности, было распространено и на высокие слои атмосферы.

Условия формирования и эволюция климата. Основные характеристики К. Для выявления особенностей климата, как типичных, так и редко наблюдаемых, необходимы многолетние ряды метеорологич. наблюдений. В умеренных широтах используются 25-50-летние ряды; в тропиках их длительность может быть меньше; иногда (напр., для Антарктиды, высоких слоев атмосферы) приходится ограничиваться менее продолжительными наблюдениями, учитывая, что последующий опыт может внести уточнения в предварит, представления.

При изучении К. океанов, помимо наблюдений на островах, используют сведения, полученные в разное время на судах в том или ином участке акватории, и регулярные наблюдения на кораблях погоды.

Климатич. характеристики представляют собой статистич. выводы из многолетних рядов наблюдений прежде всего над следующими осн. метеорологич. элементами: атм. давлением, скоростью и направлением ветра, темп-рой и влажностью воздуха, облачностью и атм. осадками. Учитывают также продолжительность солнечной радиации, дальность видимости, темп-ру верхних слоев почвы и водоёмов, испарение воды с земной поверхности в атмосферу, высоту и состояние снежного покрова, различные атм. явления и наземные гидрометеоры (росу, гололёд, туманы, грозы, метели и пр.). В 20 в. в число климатич. показателей вошли характеристики элементов теплового баланса земной поверхности, таких, как суммарная солнечная радиация, радиационный баланс, величины теплообмена между земной поверхностью и атмосферой, затраты тепла на испарение.

Характеристики К. свободной атмосферы (см. Аэроклиматология) относятся преим. к атм. давлению, ветру, темп-ре и влажности воздуха; к ним присоединяются и данные по радиации.

Многолетние средние значения метеорологич. элементов (годовые, сезонные, месячные, суточные и т. д.), их суммы, повторяемости и пр. носят название климатич. норм; соответствующие величины для отдельных дней, месяцев, лет и пр. рассматриваются как отклонения от этих норм. Для характеристики К. применяются также комплексные показатели, т. е. функции нескольких элементов: различные коэффициенты, факторы, индексы (напр., континентальности, засушливости, увлажнения) и пр.

Специальные показатели К. применяются в прикладных отраслях климатологии (напр., суммы темп-р вегетац. периода в агроклиматологии, эффективные темп-ры в биоклиматологии и технич. климатологии, градусе-дни в расчётах отопит, систем и пр.).

В 20 в. возникли представления о микроклимате, К. приземного слоя воздуха, местном климате и др., а также о макроклимате - К. территорий планетарного масштаба. Существуют также понятия "К. почвы" и "К. растений" (фитоклимат), характеризующие среду обитания растений. Широкую популярность получил также термин "городской климат", поскольку совр. большой город существенно влияет на свой К.

Основные процессы, формирующие К. Климатич. условия на Земле создаются в результате следующих основных взаимосвязанных циклов геофизич. процессов глобального масштаба: теплооборота, влагооборота и общей циркуляции атмосферы.

Теплооборот слагается из притока к Земле электромагнитной солнечной радиации, лучистая энергия к-рой при поглощении радиации в атмосфере и на земной поверхности переходит в теплоту; из обмена теплотой между атмосферой и земной поверхностью путём длинноволнового излучения, теплопроводности и фазовых преобразований воды (затраты теплоты почвой и водоёмами на испарение воды и освобождение скрытой теплоты испарения при конденсации в атмосфере); из перераспределения теплоты на Земле путём переноса её возд. и океанич. течениями; из отдачи как отражённой и рассеянной солнечной радиации, так и собственного длинноволнового излучения Земли и атмосферы в космич. пространство (см. также статьи Теплообмен в атмосфере, Теплообмен в море и Теплообмен в почве).

Влагооборот заключается в испарении воды в атмосферу с водоёмов и суши, включая и транспирацию растений; в переносе водяного пара в высокие слои атмосферы (см. Конвекция), а также возд. течениями общей циркуляции атмосферы; в конденсации водяного пара в виде облаков и туманов; в переносе облаков возд. течениями и в выпадении из них осадков; в стоке выпавших осадков и в новом их испарении, и т. д. (см. Влагооборот).

Общая циркуляция атмосферы создаёт в основном режим ветра. С переносом возд. масс общей циркуляцией связан глобальный перенос теплоты и влаги. . Местные атм. циркуляции (бризы, горнодолинные ветры и пр.) создают перенос воздуха лишь над ограниченными р-нами земной поверхности, налагающийся на общую циркуляцию и влияющий на климатич. условия в этих р-нах (см. Циркуляция атмосферы).

Воздействие геогр. факторов на К. Климатообразующие процессы происходят при воздействии ряда геогр. факторов, основными из к-рых являются: 1) Геогр. широта, определяющая зональность и сезонность в распределении приходящей к Земле солнечной радиации, а с нею и темп-ры воздуха, атм. давления и пр.; широта влияет на условия ветра и непосредственно, поскольку от неё зависит отклоняющая сила вращения Земли. 2) В ысота над уровнем моря. Климатич. условия в свободной атмосфере и в горах меняются в зависимости от высоты. Сравнительно малые различия в высоте, измеряемые сотнями и тысячами м, эквивалентны в своём влиянии на К. широтным расстояниям в тысячи км. В связи с этим в горах прослеживаются высотные климатич. пояса (см. Высотная поясность). 3) Распределение суши и моря. Вследствие различных условий распространения тепла в верхних слоях почвы и воды и благодаря разной их поглощат. способности создаются различия между К. материков и океанов. Общая циркуляция атмосферы приводит затем к тому, что условия мор. К. распространяются с возд. течениями в глубь материков, а условия континентального К. - на соседние части океанощ. 4) Орография. Горные хребты и массивы с различной экспозицией склонов создают крупные возмущения в распределении возд. течений, темп-ры воздуха, облачности, осадков и пр. 5) Океанич. течения. Тёплые течения, попадая в высокие широты, отдают теплоту в атмосферу; холодные течения, продвигаясь к низким широтам, охлаждают атмосферу. Течения влияют и на влагооборот, содействуя или препятствуя образованию облаков и туманов, и на атм. циркуляцию, поскольку последняя зависит от температурных условий. 6) Характер почвы, в особенности её отражат. способность (альбедо) и влажность. 7) Растит, покров в определённой степени влияет на поглощение и отдачу радиации, увлажнение и ветер. 8) Снежный и ледовый покров. Сезонный снежный покров над сушей, мор. льды, постоянный ледовый и снежный покров таких терр., как Гренландия и Антарктида, фирновые поля и ледники в горах существенно влияют на температурный режим, условия ветра, облачности, увлажнения. 9) Состав воздуха. Естеств. путём за короткие периоды он существенно не меняется, если не считать спорадич. влияний вулканич. извержений или лесных пожаров. Однако в пром. р-нах отмечается повышение содержания углекислого газа от сжигания топлива и загрязнение воздуха газовыми и аэрозольными отходами произ-ва и транспорта.

Климат и человек. Типы К. и их распределение по земному шару оказывают самое существ, влияние на водный режим, почву, растит, покров и животный мир, а также на распространение и урожайность с.-х. культур. К. в известной мере влияет на расселение, размещение пром-сти, условия жизни и здоровье населения. Поэтому правильный учёт особенностей и влияний К. необходим не только в с. х-ве, но и при размещении, планировании, стр-ве и эксплуатации гидроэнергетич. и пром. объектов, в градостроительстве, в трансп. сети, а также в здравоохранении (курортная сеть, климатолечение, борьба с эпидемиями, социальная гигиена), туризме, спорте. Изучение климатич. условий как в целом, так и с точки зрения определённых потребностей нар. х-ва, обобщение и распространение данных о К. в целях их практич. использования в СССР осуществляются учреждениями Гидрометеорологической службы СССР.

Человечество пока ещё не может существенно влиять на К. путём непосредств. изменения физ. механизмов климатообразуюших процессов. Активное физико-хим. воздействие человека на процессы образования облаков и выпадения осадков уже является реальностью, но климатич. значения оно по своей пространств, ограниченности не имеет. Индустриальная деятельность человеческого общества приводит к возрастанию содержания в воздухе углекислого газа, пром. газов и аэрозольных примесей. Это влияет не только на жизненные условия и здоровье людей, но и на поглощение радиации в атмосфере и тем самым на темп-ру воздуха. Постоянно возрастает и приток тепла в атмосферу за счёт сжигания горючего. Эти антропогенные изменения К. особенно заметны в больших городах; в глобальном масштабе они ещё незначительны. Но в близком будущем можно ждать их значит, возрастания. Помимо этого, воздействуя на тот или иной из геогр. факторов К., т. е. изменяя среду, в к-рой протекают климатообразующие процессы, люди, сами того не зная или не учитывая, с давних пор ухудшали К. нерациональным сведением лесов, хищнической распашкой земель. Напротив, проведение рациональных оросит, мероприятий и создание оазисов в пустыне улучшало К. соответствующих р-нов. Задача сознательного, направленного улучшения К. поставлена гл. обр. в отношении микроклимата и местного К. Реальным и безопасным способом такого улучшения представляется целенаправленное расширение воздействий на почву и растительный покров (насаждение лесных полос, осушение и орошение территории ).

Изменения климата. Исследования осадочных отложений, ископаемых остатков флоры и фауны, радиоактивности горных пород и др. показывают, что К. Земли в различные эпохи существенно менялся. В течение последних сотен млн. лет (до антропогена) Земля, по-видимому, была более тёплой, чем в настоящее время: температура в тропиках была близка к совр., а в умеренных и высоких широтах гораздо выше совр. В нач. палеогена (ок. 70 млн. лет назад) температурные контрасты между экваториальными и приполярными областями начали возрастать, однако до нач. антропогена они были меньше ныне существующих. В антропогене темп-pa в высоких широтах резко снизилась и возникли полярные оледенения. Последнее сокращение ледников в Сев. полушарии закончилось, по-видимому, ок. 10 тыс. лет нэзад, после чего постоянный ледовый покров остался гл. обр. в Сев. Ледовитом ок., в Гренландии и на др. арктич. о-вах, а в Юж. полушарии - в Антарктиде.

Для характеристики К. неск. последних тыс. лет имеется обширный материал, полученный с помощью палеогеографич. методов исследования (дендрохронология, палинологический анализ и пр.), на основании изучения археол. данных, фольклорных и лит. памятников, а в более позднее время - и летописных свидетельств. Можно заключить, что за последние 5 тыс. лет К. Европы и близких к ней р-нов (а вероятно, и всего земного шара) колебался в сравнит, узких пределах. Сухие и тёплые периоды неск. раз сменялись более влажными и прохладными. Примерно за 500 лет до н. э. осадки заметно увеличились и К. стал более прохладным. В нач. н. э. он был сходен с современным. В 12-13 вв. К. был более мягким и сухим, чем в начале н. э., но в 15-16 вв. опять произошло значит, похолодание и увеличилась деловитость морей. За последние 3 столетия накоплен всё возрастающий материал инструментальных метеорологич. наблюдений, получивших глобальное распространение. С 17 до сер. 19 вв. К. оставался холодным и влажным, ледники наступали. Со 2-й пол. 19 в. началось новое потепление, особенно сильное в Арктике, но охватившее почти весь земной шар. Это т. н. современное потепление продолжалось до сер. 20 в. На фоне колебаний К., охватывающих сотни лет, происходили кратковременные колебания с меньшими амплитудами. Изменения К. имеют, т. о., ритмический, колебательный характер.

Климатич. режим, господствовавший до антропогена,- тёплый, с малыми температурными контрастами и отсутствием полярных оледенений - был устойчивым. Напротив, К. антропогена и совр. К. с оледенениями, их пульсациями и резкими колебаниями атм. условий-неустойчив. По выводам М. И. Будыко, совсем небольшое повышение ср. темп-р земной поверхности и атмосферы может привести к уменьшению полярных оледенений, а проистекающее отсюда изменение отражат. способности (альбедо) Земли - к дальнейшему потеплению и к сокращению льдов до полного их исчезновения.

Климаты Земли. Климатические условия на Земле находятся в тесной зависим ости от географической широты. В связи с этим ещё в древности сложилось представление о климатических (тепловых) поясах, границы к-рых совпадают с тропиками и полярными кругами. В тропич. поясе (между сев. и юж. тропиками) Солнце находится в зените дважды в год; продолжительность дневного времени суток на экваторе в течение всего года равна 12 ч, а внутри тропиков колеблется от 11 до 13 ч. В умеренных поясах (между тропиками и полярными кругами) Солнце восходит и заходит каждый день, но не бывает в зените. Его полуденная высота летом значительно больше, чем зимой, так же, как и продолжительность дневного времени суток, причём эти сезонные различия растут с приближением к полюсам. За полярными кругами Солнце летом не заходит, а зимой не восходит в течение тем большего времени, чем больше широта места. На полюсах год делится на шестимесячные день и ночь.

Особенностями видимого движения Солнца определяется приток солнечной радиации на верхнюю границу атмосферы на разных широтах и в разные моменты и времена года (т. н. солярный климат). В тропич. поясе приток солнечной радиации на границу атмосферы имеет годовой ход с небольшой амплитудой и двумя максимумами в течение года. В умеренных поясах приток солнечной радиации на горизонтальную поверхность на границе атмосферы летом сравнительно мало отличается от притока в тропиках: меньшая высота Солнца компенсируется увеличенной продолжительностью дня. Но зимой приток радиации быстро убывает с широтой. В полярных широтах, при длительном непрерывном дне, летний приток радиации также велик; в день летнего солнцестояния полюс получает на границе атмосферы даже больше радиации на горизонтальную поверхность, чем экватор. Зато в зимнее полугодие приток радиации на полюсе отсутствует вовсе. Т. о., приток солнечной радиации на границу атмосферы зависит только от геогр. широты и от времени года и обладает строгой зональностью. В пределах атмосферы солнечная радиация испытывает незональные влияния, обусловленные различным содержанием водяного пара и пыли, разной облачностью и др. особенностями газового и коллоидного состояния атмосферы. Отражением этих влияний является сложное распределение величин радиации, поступающей на поверхность Земли. Незональный характер имеют и многочисл. геогр. факторы климата (распределение суши и моря, особенности орографии, мор. течения и пр.). Поэтому в сложном распределении климатич. характеристик у земной поверхности зональность является лишь фоном, проступающим более или менее отчётливо через незональные влияния.

В основе климатич. районирования Земли лежит разделение терр. на пояса, зоны и области с более или менее однородными условиями климата. Границы климатич. поясов и зон не только не совпадают с широтными кругами, но и не всегда огибают земной шар (зоны в таких случаях разорваны на несмыкающиеся между собой области). Районирование может проводиться или по собственно климатич. признакам (напр., по распределению ср. темп-р воздуха и сумм атм. осадков у В. Кеппена), или по др. комплексам климатич. характеристик, а также по особенностям общей циркуляции атмосферы, с к-рыми связаны типы климата (напр., классификация Б. П. Алисова), или по характеру геогр. ландшафтов, определяемых климатом (классификация Л. С. Берга). Приводимая ниже характеристика климатов Земли в основном соответствует районированию Б. П. Алисова (1952).

Глубокое влияние распределения суши и моря на климат видно уже из сравнения условий Сев. и Юж. полушарий. В Сев. полушарии сосредоточены основные массивы суши и поэтому его климатич. условия более континентальны, чем в Южном. Ср. приземные темп-ры воздуха в Сев. полушарии в янв. 8 °С, в июле 22 °С; в Южном соответственно 17 °С и 10 °С. Для всего земного шара ср. темп-ра 14 °С (12 °С в январе, 16 °С в июле). Наиболее тёплая параллель Земли - термич. экватор с темп-рой 27 °С - совпадает с геогр. экватором только в январе. В июле он смещается до 20° с. ш., а его ср. годовое положение - ок. 10° с. ш. От термич. экватора к полюсам темп-pa падает в среднем на 0,5-0,6 °С на каждый градус широты (очень медленно в тропиках, быстрее во внетропич. широтах). При этом внутри материков темп-pa воздуха летом выше и зимой ниже, чем над океанами, особенно в умеренных широтах. Это не относится, к климату над ледяными плато Гренландии и Антарктиды, где воздух круглый год значительно холоднее, чем над примыкающими к ним океанами (ср. годовые темп-ры воздуха снижаются до -35 °С, - 45 °С).

Средние годовые суммы осадков наиболее велики в приэкваториальных широтах (1500-1800 мм), к субтропикам они снижаются до 800 мм, в умеренных широтах вновь увеличиваются до 900-1200 мм и резко уменьшаются в полярных областях (до 100 мм и менее).

Экваториальный климат охватывает полосу пониженного атм. давления (т. н. экваториальную депрессию), распространяющуюся на 5-10° к С. и к Ю. от экватора. Отличается очень равномерным температурным режимом с высокими темп-рами воздуха в течение всего года (обычно колеблются между 24 °С и 28 °С, причём амплитуды темп-ры на суше не превышают 5 °С, а на море могут быть менее 1 °С). Влажность воздуха постоянно высокая, годовая сумма осадков колеблется от 1 до 3 тыс. мм в год, но местами достигает на суше 6-10 тыс. мм. Осадки выпадают обычно в виде ливней, они, особенно во внутритропич. зоне конвергенции, разделяющей пассаты двух полушарий, как правило, равномерно распределяются в течение года .Облачность значительная.Преобладающие естеств. ландшафты суши - влажные экваториальные леса.

По обе стороны от экваториальной депрессии, в областях высокого атм. давления, в тропиках над океанами преобладает пассатный климат с устойчивым режимом вост. ветров (пассатов), умеренной облачностью и достаточно сухой погодой. Ср. темп-ры летних месяцев 20-27 °С, в зимние месяцы темп-pa снижается до 10-15 °С. Годовая сумма осадков ок. 500 мм, их количество резко увеличивается на склонах гористых островов, обращённых к пассату, и при сравнительно редких прохождениях тропич. циклонов.

Областям океанич. пассатов соответствуют на суше территории с климатом тропических пустынь, отличающиеся исключительно жарким летом (ср. темп-pa самого тёплого месяца в Сев. полушарии ок. 40 °С, в Австралии до 34 °С). Абсолютные максимумы темп-ры в Сев. Африке и внутр. р-нах Калифорнии 57-58 °С, в Австралии- до 55 °С (наивысшие темп-ры воздуха на Земле). Ср. темп-ры зимних месяцев от 10 до 15 °С. Суточные амплитуды темп-р велики (местами св. 40 °С). Осадков немного (обычно меньше 250 мм, часто меньше 100 мм в год).

В нек-рых р-нах тропиков (Экваториальная Африка, Юж. и Юго-Вост. Азия, Сев. Австралия) климат пассатов замещается климатом тропических муссонов. Внутритропическая зона конвергенции смещается здесь летом далеко от экватора и вместо вост. пассатного переноса между нею и экватором возникает зап. перенос воздуха (летний муссон), с к-рым связана большая часть осадков. В среднем их выпадает почти столько же, сколько и в экваториальном климате (в Калькутте, напр., 1630 мм в год, из к-рых 1180 мм выпадает за 4 мес. летнего муссона). На склонах гор, обращённых к летнему муссону, выпадают рекордные для соответствующих р-нов осадки, а на С.-В. Индии (Черапунджи) макс, их количество на земном шаре (в ср. ок. 12 тыс. мм в год). Лето жаркое (ср. темп-ры воздуха выше 30 °С), причём наиболее тёплый месяц обычно предшествует наступлению летнего муссона. В зоне тропич. муссонов, в Вост. Африке и на Ю.-З. Азии наблюдаются и самые высокие средние годовые темп-ры на земном шаре (30-32 °С). Зима в нек-рых р-нах прохладная. Ср. темп-pa января в Мадрасе 25° С, в Варанаси 16 °С, а в Шанхае - всего 3 °С.

В зап. частях материков в субтропич. широтах (25-40° с. ш. и ю. ш.) климат характеризуется высоким атм. давлением летом (субтропич. антициклоны) и циклонич. деятельностью зимой, когда антициклоны несколько смещаются к экватору. В этих условиях формируется средиземноморский климат, наблюдающийся, кроме Средиземноморья, на Юж. берегу Крыма, а также в зап. Калифорнии, на Ю. Африки, Ю.-З. Австралии. При жарком, малооблачном и сухом лете здесь прохладная и дождливая зима. Количество осадков обычно невелико и нек-рые р-ны с этим климатом полузасушливы. Темп-ры летом 20-25 °С, зимой 5-10 °С, годовые суммы осадков обычно 400-600 мм.

Внутри материков в субтропич. широтах зимой и летом преобладает повышенное атм. давление. Поэтому здесь формируется климат сухих субтропиков, жаркий и малооблачный летом, прохладный - зимой. Летние темп-ры, напр., в Туркмении доходят в отдельные дни до 50 °С, а зимой возможны морозы до -10, -20 °С. Годовая сумма осадков составляет местами всего 120 мм.

На высоких нагорьях Азии (Памир, Тибет) формируется климат холодных пустынь с прохладным летом, очень холодной зимой н скудными осадками. В Мургабе на Памире, напр., в июле 14 °С, в январе -18 °С, осадков ок. 80 мм в год.

В вост. частях материков в субтропич. широтах формируется муссонный субтропический климат (Вост. Китай, Ю.-В. США, страны басе, р. Парана в Юж. Америке). Температурные условия здесь близки к р-нам со средиземноморским климатом, но осадки обильнее и выпадают преим. летом, при океанич. муссоне (напр., в Пекине из 640 мм осадков в год 260 мм выпадает в июле и только 2 мм в декабре).

Для умеренных широт весьма характерна интенсивная циклонич. деятельность, приводящая к частым и сильным изменениям давления и темп-ры воздуха. Преобладают зап. ветры (особенно над океанами и в Юж. полушарии). Переходные сезоны (осень, весна) продолжительны и выражены хорошо.

В зап. частях материков (гл. обр. Евразии и Сев. Америки) преобладает м о рской климат с прохладным летом, тёплой (для этих широт) зимой, умеренным количеством осадков (напр., в Париже в июле 18°С, в янв. 2°С, осадков 490 мм в год) без устойчивого снежного покрова. Осадки резко возрастают на наветренных склонах гор. Так, в Бергене (у зап. подножий Скандинавских гор) осадков св. 2500 мм в год, а в Стокгольме (к В. от Скандинавских гор) - всего 540 мм. Влияние орографии на осадки выражено ещё сильнее в Сев. Америке с её меридионально вытянутыми хребтами. На зап. склонах Каскадных гор выпадает местами от 3 до 6 тыс. мм, тогда как за хребтами сумма осадков уменьшается до 500 мм и ниже.

Внутри континентальный климат умеренных широт в Евразии и Северной Америке характеризуется более или менее устойчивым режимом высокого давления воздуха, особенно в зимнее время, тёплым летом и холодной зимой с устойчивым снежным покровом. Годовые амплитуды темп-ры велики и растут в глубь материков (гл. обр. за счёт нарастания суровости зим). Напр., в Москве в июле 17°С, в янв. - 10°С, осадков ок. 600 мм в год; в Новосибирске в июле 19°С, в янв. -19°С, осадков 410 мм в год (максимум осадков везде летом). В юж. части умеренных широт внутр. р-нов Евразии засушливость климата увеличивается, формируются степные, полупустынные и пустынные ландшафты, снежный покров неустойчив. Наиболее континентальный климат в сев.вост. р-нах Евразии. В Якутии р-н Верхоянска - Оймякона является одним из зимних полюсов холода Сев. полушария. Ср. темп-pa января понижается здесь до -50°С, а абс. минимум ок. -70°С. В горах и на высоких плоскогорьях внутр. частей материков Сев. полушария зимы очень суровы и малоснежны, преобладает антицикл овальная погода, лето жаркое, осадки сравнительно невелики и выпадают преим. летом (напр., в Улан-Баторе в июле 17°С, в янв. -24°С, осадков 240 мм в год). В Юж. полушарии из-за ограниченной площади материков на соответствующих широтах внутриконтинентальный климат не получил развития. Муссонный климат умеренных широт формируется на восточной окраине Евразии. Он характеризуется малооблачной и холодной зимой при преобладающих сев.-зап. ветрах, тёплым или умеренно тёплым летом с юговост. и юж. ветрами и достаточными или даже обильными летними осадками (напр., в Хабаровске в июле 23°С, в январе -20°С, осадков 560 мм в год, из них лишь 74 мм выпадает в холодную половину года). В Японии и на Камчатке зима намного мягче, осадков много и зимой и летом; на Камчатке, Сахалине и о-ве

Хоккайдо образуется высокий снежный покров.

Климат Субарктики формируется на сев. окраинах Евразии и Сев. Америки. Зимы продолжительны и суровы, ср. темп-pa самого тёплого месяца не выше 12°С, осадков менее 300 мм, а на С.-В. Сибири даже менее 100 мм в год. При холодном лете и многолетней мерзлоте даже небольшие осадки создают во мн. р-нах избыточное увлажнение и заболачивание почвы. В Юж. полушарии подобный климат развит только на субантарктич. о-вах и на Земле Грейама.

Над океанами умеренных и субполярных широт в обоих полушариях преобладает интенсивная циклонич. деятельность с ветреной облачной погодой и обильными осадками.

Климат Арктического бассейна суровый, средние месячные температуры меняются от О °С летом до -40 °С зимой, на плато Гренландии от -15 до -50 °С, а абс. минимум близок к -70 °С. Ср. годовая темп-pa воздуха ниже -30 °С. Осадков мало (на б. ч. Гренландии менее 100 мм в год). Приатлантич. р-ны европ. Арктики отличаются сравнительно мягким и влажным климатом, т. к. сюда часто проникают тёплые возд. массы с Атлантического ок. (на Шпицбергене в янв. -16 °С, в июле 5 °С, осадков ок. 320 мм в год); даже на Сев. полюсе возможны временами резкие потепления. В азиатско-амер. секторе Арктики климат более суровый.

Климат Антарктиды наиболее суровый на Земле. На побережьях дуют сильные ветры, связанные с непрерывными прохождениями циклонов над окружающим океаном и со стоком холодного воздуха из центр, р-нов материка по склонам ледяного щита. Ср. темп-pa в Мирном -2 °С в январе и декабре, -18 °С в авг. и сент. Осадков от 300 до 700 мм в год. Внутри Вост. Антарктиды на высоком ледяном плато почти постоянно господствует высокое атм. давление, ветры слабые, облачность мала. Ср. темп-pa летом ок. -30 °С, зимой ок. -70 °С. Абс. минимум на ст. Восток близок к -90 °С (полюс холода всего земного шара). Осадков менее 100 мм в год. В Зап. Антарктиде и у Юж. полюса климат несколько мягче.

Лит.: Курс климатологии, ч. 1 - 3, Л., 1952-54; Атлас теплового баланса земного шара, под ред. М. И. Будыко, М., 1963; Берг Л. С., Основы климатологии, 2 изд., Л., 1938; его же, Климат и жизнь, 2 изд., М., 1947; Брукс К., Климаты прошлого, пер. с англ., М., 1952; Будыко М. И., Климат и жизнь, Л., 1971; Воейков А. И., Климаты земного шара, в особенности России, Избр. соч., т. 1, М.-Л., 1948; Г е и re p Р., Климат приземного слоя воздуха, пер. с англ., М., 1960; Гутерман И. Г., Распределение ветра над северным полушарием, Л., 1965; Дроздов О. А., Основы климатологической обработки метеорологических наблюдений, Л., 1956; Дроздов О. А., Григорьева А. С., Влагооборот в атмосфере, Л., 1963; Кеппен В., Основы климатологии, пер. с нем., М., 1938; Климат СССР, в. 1 - 8, Л., 1958-63; Методы климатологической обработки, Л., 1956; Микроклимат СССР, Л., 1967; С а п о ж н и к о в а С. А., Микроклимат и местный климат, Л., 1950; Справочник по климату СССР, в. 1 - 34, Л., 1964-70; Bluthgen J., Allgeme.ne Klimageographie, 2 Aufl., В., 1966; Handbuch der Klimatologie. Hrsg. von W. Koppen und R. Geiger, Bd 1-5, В., 1930-36; H a n n J., Handbuch der Klimatologie, 3 Aufl., Bd 1 - 3, Stuttg., 1908 - 11; World survey of climatology, ed. H. E. Landsberg, v. 1 - 15, Amst.L.- N.Y., 1969-. С. П. Хромое.

КЛИMAT В ПОГОДАХ, см. Климатология комплексная.

КЛИМАТИЗАЦИЯ, комплекс мероприятий и устройств, обеспечивающих создание искусств, климата в помещениях, а иногда только на рабочих местах. К. осуществляется с помощью систем кондиционирования воздуха, отопления, радиационного и конвекторного охлаждения, вентиляции. Эффект действия К. определяется темп-рой, влажностью и подвижностью воздуха, а также темп-рой поверхностей ограждений и предметов.

КЛИМАТИЗЁР, комнатный испарительный кондиционер, предназначенный для увлажнения, охлаждения и очистки от пыли воздуха, подаваемого в помещение. К.- металлич. корпус, в к-ром размещаются вентилятор, насос, фильтры, ёмкость для воды и вспомогат. приборы для визуального наблюдения или автоматич. действия К. Воздух засасывается вентилятором в К. через орошаемые водой фильтры (из древесной стружки, пропитанной антигнилостным составом, или пористой пластмассы). В них он очищается от пыли, увлажняется, охлаждается за счёт испарения воды и подаётся в помещение через декоративную решётку. Последняя снабжена поворотными лопастями для изменения направления движения потока воздуха. Насос забирает воду из К. и подаёт в распределитель, обеспечивающий равномерное орошение фильтров. В корпусе К. размещаются также вспомогат. приборы для отключения его при отсутствии воды, указатели уровня воды, сигнальные лампочки и т. д. Производительность К. по воздуху 350-500 м3 в час. Применение К. эффективно в районах с сухим и жарким климатом; напр, в республиках Ср. Азии.

КЛИМАТИЧЕСКИЕ КАРТЫ, карты, на к-рых по результатам многолетних наблюдений представлено терр. распределение климатич. условий. К. к. могут составляться как для отд. характеристик климата (темп-pa, осадки, влажность воздуха и др.), так и для их комбинаций, у земной поверхности и в высоких слоях атмосферы (см. Аэроклиматология). К. к., с одной стороны, дают возможность наиболее удобного общего обзора климатич. характеристик на большой площади и сопоставления их значений в разных частях рассматриваемой территории, с другой - дают возможность путём интерполяции определять значения климатич. характеристик в любом отдельном пункте.

К. к. относятся чаще всего к отдельным месяцам года и к году в целом, иногда к четырём сезонам года, к вегетац. периоду и пр. На картах, составляемых по наблюдениям наземных метеорологич. станций, атм. давление даётся приведённым к уровню моря; для темп-ры воздуха карты составляются как по действительным её значениям, наблюдавшимся на уровне земной поверхности, так и по приведённым к уровню моря. Поле давления в свободной атмосфере представляется либо с помощью карт распределения давления на различных стандартных высотах, напр, через каждый километр над уровнем моря, либо с помощью карт барической топографии, на к-рые наносятся высоты (точнее - геопотенциалы) главных изобарич. поверхностей (900, 800, 700 и т. д. мбар), отсчитанные от уровня моря. Темп-pa и влажность воздуха и ветер могут относиться на аэроклиматич. картах либо к стандартным высотам, либо к главным изобарич. поверхностям.

На картах таких климатич. характеристик, как многолетние средние величины (атм. давления, темп-ры и влажности воздуха, сумм осадков и т. д.) проводятся изолинии, соединяющие точки с равными значениями рассматриваемой характеристики: изобары для давления, изотермы для темп-ры, изогиеты для осадков и пр. На картах амплитуд (напр., годовых амплитуд темп-ры воздуха, т. е. разностей между средними температурами самого тёплого и самого холодного месяца) проводятся изамплитуды, на картах аномалий (напр., отклонений средней темп-ры каждого места от ср. темп-ры всего его широтного пояса) - изаномалы, и т. д. На К. к., представляющих повторяемость того или иного явления (напр., годового числа дней с грозой или со снежным покровом), проводятся изолинии повторяемости; на К. к., представляющих даты наступления того или иного явления (напр., первого заморозка, появления или схода снежного покрова) или определённого значения метеорологич. элемента в годовом ходе (напр., переходе ср. суточной темп-ры воздуха через нуль), проводятся изолинии, дат - изохроны и т. д. На картах ветра проводятся изолинии средней величины числового значения скорости изотахи; равнодействующие ветра и направления преобладающих ветров указываются стрелками разной длины или с разным оперением; нередко проводятся линии тока. Для свободной атмосферы часто составляются карты зональной и меридиональной составляющих ветра. Атм. давление и ветер на К. к. обычно совмещаются. На К. к. наносят также в соответствующих местах розы ветров, кривые распределения других метеорологич. элементов, графики годового хода элементов для отд. станций и т. п.

Особым видом К. к. являются карты климатич. районирования, т. е. разделения земной поверхности на климатич. зоны и области согласно той или иной классификации климатов.

К. к. часто объединяются в климатич. атласы разного терр. охвата (земного шара, полушарий, материков, стран, океанов) или включаются в комплексные атласы. Помимо общеклиматич. карт, большое практич. значение имеют прикладные климатич. карты и атласы. Наиболее многочисленны аэроклиматические карты, аэроклиматич. атласы и агроклиматические карты, с. П. Хромов.

КЛИМАТИЧЕСКИЕ СЕЗОНЫ, части года, выделяемые по особенностям климата. Подразделение года на К. с. различно в разных климатич. поясах. В экваториальном поясе с равномерным увлажнением и малой амплитудой темп-ры воздуха разделение года на К. с. проводить нецелесообразно. В субэкваториальных поясах с хорошо выраженным годовым ходом осадков различают сухой и дождливый К. с. В муссонных тропиках, кроме сухой зимы и влажного лета, выделяются короткие переходные сезоны со сменой муссонов, при этом весна, перед наступлением летнего муссона, часто оказывается теплее, чем лето. В ср. широтах хорошо выражены 4 самостоят, сезона (весна, лето, осень, зима). В полярных р-нах весна и осень превращаются в короткие переходные сезоны. См. также Времена года, Климат (раздел Климаты Земли ).

КЛИМАТИЧЕСКИЙ ОПТИМУМ, самое тёплое время в течение каждой тёплой климатич. фазы антропогенового (четвертичного) периода. К. о. выделяются для всех межледниковий, а также для голоцена (послеледниковый К. о.).

КЛИМАТИЧЕСКИЙ ФРОНТ, см. Фронты атмосферные.

КЛИМАТОГРАФИЯ (от климат и ...графин), раздел климатологии, посвящённый описанию климата конкретных территорий или акваторий. Иногда понимается как синоним климатологии.

КЛИМАТОЛОГИЯ (от климат и ...логия), наука о климате, его типах, обусловленности, распределении по земной поверхности и изменениях во времени. К. входит в систему географических наук, поскольку климат является одной из географич. характеристик местности, но климатообразующие процессы имеют геофизич. природу; поэтому К. опирается на выводы геофизич. науки - метеорологии, в составе к-рой она возникла и с к-рой остаётся тесно связанной. К. иногда определяют как географич. часть метеорологии.

Фактич. материал о типах климата и их распределении по земному шару, полученный из статистич. обработки многолетних рядов метеорологич. наблюдений, является содержанием климатографии. Учение о генезисе климата, его изич. обусловленности служит предметом физической К., к-рая опирается прежде всего на представления о тепловом и водном балансах земной поверхности и атмосферы и об их климатообразующей роли. Особой ветвью физической К. является динамическая К., рассматривающая климаты и их распределение по Земле в зависимости от процессов общей циркуляции атмосферы. Вопросы изучения климата высоких слоев атмосферы выделяются в аэроклиматологию, климат приземного слоя воздуха является предметом микроклиматологии. Особое положение занимает палеоклимат о л о г и я (учение о климатах геологич. и историч. прошлого, тесно примыкающее к историч. геологии). Большое практич. значение К. явилось причиной возникновения ряда прикладных климатологи ч. дисциплин, пограничных с др. науками. Сюда относятся биоклиматология - учение о влиянии климата на живую природу и человека, агроклиматология - учение о влиянии климата на земледелие, курортная и медицинская К., техническая К., в к-рой выделяются такие дисциплины, как авиационная К., транспортная К., строительная К. и др.

Начальные представления о климате и его закономерностях сложились ещё в Др. Греции. В 17 и 18 вв. появляются первые описания климатов на базе инструментальных метеорологич. наблюдений. Э. Галлей, Дж. Хэдли в Великобритании и М. В. Ломоносов в России высказывают первые соображения о влиянии атм. циркуляции на климат. В нач. 19 в. нем. естествоиспытатель А. Гумбольдт положил начало систематич. описанию и объяснению климатов Земли и построил первые климатич. карты. Во 2-й пол. 19 в. климатологич. исследования стали планомерными и с особым успехом развивались в России, где были сосредоточены в открытой в 1849 Гл. физич. обсерватории под руководством Г. И. Вильда. В это же время А. И. Воейков выполнил ряд исследований, в к-рых стремился обосновать как географич. закономерности, так и геофизич. природу климата. Среди учёных, последователей Воейкова - А. А. Каминский (исследования по ветровому режиму и влагообороту), Л. С. Берг (работы в области палеоклиматолопш и биоклиматоло1"1И, а также по классификации климатов Земли, основанной на выделении климатит. зон), В. Ю. Визе и др. Ряд важных климатологич. закономерностей был установлен и за рубежом. Климатолог В. Кеппеь разработал в 1900-20 широко распространённую до сих пор классификацию климатов земного шара, основанную на выделении климатич. зон по соотношению годичных режимов приземной темп-ры воздуха и осадков, а также заложил основы исследований связи климата с солнечной активностью. Австр. климатолог Ю. Ханн в кон. 19 в. составил трёхтомную монографию "Руководство по климатологии" (т. 1 опубл. в 1883) и провёл большое количество региональных исследований.

20 в. ознаменовался быстрым ростом глобальной сети метеорологич. наблюдений, охватившей тропики, Арктику и Антарктику, океаны. В СССР, в частности, многое сделано для метеорологач. изучения Сев. мор. пути, центр, р-нов Арктики, Антарктиды и океанов. Сов. метеорологач. сеть охватила и почти не обследованные ранее р-ны страны. В результате был получен обширный материал, характеризующий климат всей терр. СССР. К сер. 20 в. в ряде стран появились фундаментальные справочные издания по климату, в т. ч. климатич. атласы материков, стран, океанов; в порядке междунар. сотрудничества с 1971 издаётся мировой климатич. атлас. Среди многочисл. сов. изданий этого рода следует отметить многотомный справочник по климату СССР, климатич. атлас СССР, климатич. карты в Мор. атласе, в атласах Арктики и Антарктики; получил всемирную известность вышедший двумя изданиями "Атлас теплового баланса земного шара". Появились и крупные монографич. обобщения обширного климатологич. материала: многотомное нем. "Руководство по климатологии", издававшееся в 1930-39, начатый в 1969 междунар. усилиями многотомный "Мировой климатологический обзор", а в СССР серия монографий "Климат СССР". Расширение сети аэрологич. наблюдений позволило в сер. 20 в. распространить исследования по К. и на высокие слои атмосферы, что привело к появлению многочисл. сводок, аэроклиматич. атласов и монографий как в СССР (работы н.-и. ин-та аэроклиматологии), так и за рубежом (в США и Великобритании изданы аэроклиматич. атласы, в США и Зап. Берлине выходят ежедневные серии высотных синоптич. карт и т. п.).

Новые направления К. потребовали усиления внимания к методике обработки метеорологич. наблюдений для целей К. В этих методич. разработках сов. учёным принадлежит ведущее место (О. А. Дроздов, Е. С. Рубинштейн и др.). В СССР гл. обр. развивалась и климатология комплексная. В области физич. К. в сер. 20 в. оформилось представление о тепловом балансе земной поверхности н атмосферы как о физич.основе климата. Наибольшую систематизацию и развитие эти идеи нашли в работах М. И. Будыко и его школы в СССР. В США исследования в этом направлении проводили Г. Ландсберг, Д. Миллер и др. Параллельно велись работы по оценке климатообразующей роли влагооборота, особенно в СССР (О. А. Дроздов и др.), а также в США, Японии, ФРГ. За рубежом (Ф. Штейнхаузер в Австрии, М. Кончек в Чехословакии и др.) большое внимание уделяется климатологич. обработке наблюдений в горных р-нах. Ещё в 1930 Т. Бержерон в Норвегии выступил с концепцией динамич. К., открывающей возможности объяснения и классификации климатов через определённые динамич. системы, входящие в общую циркуляцию атмосферы. Это послужило толчком к усиленному изучению климатообразующей роли общей циркуляции атмосферы в СССР (Б. П. Алисов, В. А. Бугаев, В. А. Джорджио, Б. Л. Дзердзеевский, X. П. Погосян, Т. В. Покровская, С. П. Хромов и др.), ФРГ (Г. Флон), Франции (П. Педелаборд). Климатич. описания в СССР обычно сопровождаются анализом циркуляционных условий. Последние положены в основу получившей широкое распространение классификации климатов земного шара Б. П. Алисова (1952). Большие успехи на этом пути достигнуты и в К. тропиков (в Индии, США, Китае, ФРГ).

В связи с бурным ростом больших городов, быстрым изменением во мн. р-нах условий природной среды резко повысился интерес к изучению микроклимата и местного климата, поскольку к ним в первую очередь относятся ненаправленные антропогенные изменения и возможные мелиорации климата (работы Р. Гайгера в Германии, С. А. Сапожниковой, И. А. Гольцберг в СССР). Непрерывно растущими запросами практики стимулируется развитие агроклиматологии и др. прикладных климатологич. дисциплин.

В области палеоклиматологии с 30-х гг. 20 в. появляются крупные обобщения у К. Брукса (Великобритания), Г. Флона и др. В Германии Р. Шерхаг, в СССР В. Ю. Визе и Е. С. Рубинштейн тщательно изучали климатич. изменения нашего времени (т. н. современное потепление климата). Выяснение влияний солнечной активности на климат является одной из существенных частей проблемы естеств. изменений климата; здесь выделяются работы Ф. Баура в Германии, X. Уиллета в США, Т. В. Покровской, Л. А. Вительса и др. в СССР. Решается задача прогноза климата на ближайшие десятилетия и столетия, особенно усложняемая необходимостью учёта растущих антропогенных влияний. Интересные перспективы открываются в этом направлении на основе исследований теплового баланса, в т. ч. и его возможных антропогенных изменений.

Перспективы дальнейшего развития К. связаны с возможностью применения совр. аппарата матем. статистики при использовании ЭВМ для анализа обширного эмпирич. материала. Углублённое понимание статистич. закономерностей пространственно-временной структуры климата увеличит и возможности климатич. прогнозов, содержащих практич. рекомендации для нар. х-ва. Наряду с этим поставлена задача построения матем. моделей (численное моделирование) климатообразующих процессов путём интегрирования уравнений атм. термогидродинамики и переноса радиации в атмосфере. Первоначальные формулировки задачи и первые результаты принадлежат сов. учёным (Н. Е. Кочин, Е. Н. Блинова, М. Е. Швец и др.), в дальнейшем в эту работу энергично включились и амер. учёные (X. Филипс, Дж. Смагоринский и др.). Такие модели при достаточном их совершенстве позволят вычислять макромасштабное распределение элементов климата в трёхмерной атмосфере и, возможно, откроют путь к удовлетворит, объяснению прошлых и к прогнозу будущих изменений климата. Современные ЭВМ большого быстродействия обеспечивают решение задачи такого моделирования со всё возрастающей степенью приближения к действительности.

Над проблемами К. в СССР работают во многих ин-тах Гидрометеорологич. службы СССР (Гл. геофизич. обсерватория, н.-и. ин-т аэроклиматологии, Арктич. и Антарктич. н.-и. ин-т, Гос. гидрологач. ин-т, Гос. океанографич. ин-т, ряд периферийных гидрометеорологич. ин-тов и гидрометеорологич. обсерваторий); в географич. ин-тах АН СССР и респ. академий; в университетах и пед. ин-тах; Географич. об-ве СССР, а по вопросам прикладной метеорологии также во многих с.-х. и др. ведомственных ин-тах и пр. Задачи обеспечения нар. х-ва информацией о климатич. условиях (служба климата) решаются Гидрометеорологич. службой СССР через её управления и науч. ин-ты.

Междунар. кооперация в К. по линии науч. и организац. мероприятий проводится через Всемирную метеорология, организацию (ВМО), науч. контакты осуществляются также через Междунар. союз геофизики и геодезии и Междунар. географич. союз; в области биоклиматологии - через Междунар. биоклиматич. об-во.

О публикации климатологич. материалов см. Метеорологические журналы.

Лит. см. при ст. Климат. С. П. Хромов.

КЛИМАТОЛОГИЯ КОМПЛЕКСНАЯ, климат в погодах, направление в климатологии, в к-ром под погодой понимается комплекс взаимосвязанных и взаимообусловленных метеорологич. элементов и явлений. В К. к. рассматривается влияние погоды на человека, на мн. объекты его деятельности, а также на животный мир. Поскольку климат понимается как многолетний режим погоды, его воздействие на человека проявляется только через конкретную погоду. Климат в К. к. анализируется с помощью каталогов или перфокарт погоды, причём в качестве единицы счёта используются понятия "погода конкретных суток" и "погода конкретного момента". При сравнительном изучении климата всё многообразие погоды суток анализируется с помощью классификации, построенной на морфологич. основе. Она включает ряд классов погоды. Неск. классов образуют группу безморозной погоды, часть - погоды с переходом темп-ры воздуха через О °С и часть - морозные погоды. Каждый класс характеризуется определёнными числовыми показателями. Особенности климата к.-л. местности оцениваются расчётом повторяемости классов погоды по месяцам года с построением графиков структуры климатов (рис.), причём привлекаются сведения о режиме отд. метеорологич. элементов. Закономерности геогр. распределения погоды на равнинах анализируются с помощью составления карт повторяемости того или иного класса погоды. В горных р-нах, где использование такого приёма затруднительно, применяют графики структуры климата вдоль речных долин и по высотным профилям. При анализе многолетнего режима погоды в К. к. выясняется устойчивость во времени того или иного класса погоды, степень контрастности погоды смежных дней, характер сопряжённости погоды, одновременно возникающей в разных пунктах, и др. К. к. получила развитие в СССР с 1927 (работы Е. Е. Фёдорова и его последователей - Я. И. Фельдмана, Л. А. Чубукова и др.).

Лит.: Фёдоров Е. Е., Баранов А. И., Климат равнины Европейской части СССР в погодах, М.- Л., 1949; Ч убуков Л. А., Комплексная климатология, М.- Л., 1949; Вопросы комплексной климатологии, М., 1963; Карта структур климата курортов и лечебных местностей СССР, М., 1962. Л. А. Чубуков.

КЛИМАТОЛОГИЯ МЕДИЦИНСКАЯ, отрасль мед. науки, изучающая влияние на организм человека климатических и погодных факторов, методы их использования в леч.-профилактич. целях. К. м. изучает физич. и химич. природу различных природных раздражителей, характер и механизмы возбуждаемых этими раздражителями физиологич. реакций и патологич. сдвигов в организме человека в привычном для него климате и в непривычных климатич. условиях (см. Акклиматизация человека). Важными для К. м. являются проблемы географич. распространения болезней (см. География медицинская) и влияние географич. факторов на развитие болезней человека (см. Географическая патология).

С древних времён люди эмпирически накапливали сведения о влиянии погоды на здоровье человека. Уже в сочинениях Гиппократа (5-4 вв. до н. э.) содержится краткая оценка влияния сезонных, погодных и различных географич. факторов на течение болезней и общее состояние людей. Рекомендации об использовании природно-климатич. факторов для лечения нек-рых болезней приведены в трудах А. Цельса (1 в.), К. Галена (2 в.) и др. Учёные-медики эпохи Возрождения Ф. Парацельс (16 в.), Т. Сиденхем (17 в.) и др. придавали большое значение роли природных факторов в возникновении и лечении болезней. Успехи естеств. наук в 18-19 вв. и развитие метеорологии послужили важной предпосылкой для выявления взаимоотношений организма с внешней средой, позволили начать изучение реакций организма на воздействие климата. В кон. 18 в. в ряде стран были предприняты первые попытки лечения нек-рых заболеваний в условиях морского, горного и пустынного климата. В сер. 19 в. появились спец. работы по вопросам К. м. (франц. учёный Г. Ломбар и др.).

Большой вклад в развитие и становление К. м. как самостоят, дисциплины внёс рус. климатолог и метеоролог А. И. Воейков, обобщивший существовавшие в кон. 19 в. взгляды на проблемы К. м. в работе "Исследование климатов для целей климатического лечения и гигиены" (1893).

Значит, роль в создании теоретич. основы К. м. сыграла сов. физиологич. школа: учение Л. А. Орбели об адаптапчоннотрофич. значении адреналосимпатич. нервной системы, теория К. М. Быкова о связях коры головного мозга и внутр. органов, исследования И. П. Разенкова о механизмах терморегуляции и влиянии на организм атм. давления. Важным вкладом в развитие К. м. явились гигиенич. исследования приспособления организма к внешней среде и разработка нормативов для оздоровления труда и быта (В. А. Левицкий, А. А. Летавет, Г. X. Шахбазян и др.). С 20-х гг. 20 в. в СССР резко возрос интерес к К. м., что было обусловлено созданием широкой сан.-курортной базы (см. Курорты) и интенсивной миграцией населения. Были начаты исследования по использованию оздоровит, сил природы на всей терр. СССР; освоение новых терр. потребовало детального изучения местных климатич. условий с целью их оздоровления и облегчения процессов акклиматизации человека. Развитие К. м. привело к выделению в ней осн. самостоят, науч. направлений - климатофизиологии, климатопатологии, климатотерапии и мед. метеорологии (сов. учёные А. Д. Слоним, А. П. Авцын, Г. М. Данишевский и др., зарубежные исследователи В. Мёрикофер, Д. Асман, Р. Рейтер, О. Эдхолм и др.).

Воздействие климата на живой организм (т. н. биотропное действие климата) складывается из отд. факторов (метеоэлементов): темп-pa, циркуляция и влажность воздуха, атм. давление, облачность, интенсивность солнечной радиации и пр. Каждый из этих факторов в отдельности может оказывать влияние на различные функции организма человека (напр., ветер усиливает теплоотдачу, затрудняет дыхание, нарушая координацию дыхат. движений и их нормальный ритм). Но обычно отд. функции организма зависят от совокупности неск. погодных факторов - напр., на процесс терморегуляции воздействуют темп-ра, влажность и скорость движения воздуха, солнечная радиация и др. Часто интенсивность биотропного воздействия обусловлена не столько абс.величиной метеоэлементов, сколько их временным градиентом - чем быстрее происходит количеств, изменение того или иного фактора, тем меньше времени у организма для адаптации и тем острее его ответная реакция. Поэтому важное место в климатофизиологии занимает изучение возд. фронтов, прохождение к-рых сопровождается резким изменением атм. давления, темп-ры воздуха, облачности, осадками и пр.

Влияние климатич. факторов на состояние организма осуществляется рефлекторно через центр, нервную систему и нейрогуморальным путём. В естеств. условиях человек находится под одновременным воздействием мн. природных факторов, создающих в совокупности понятие погоды. Наиболее болезненно переносятся периоды смены типов погоды, и чем контрастнее и резче эта смена, тем отчётливее выражены патологич. метеотропные реакции организма.

Различают также типы климатов (морской, континентальный, горный, пустынный, полярный и др.), к-рые оказывают на организм человека существ, воздействие. В отдельных географич. поясах (Арктика, Антарктика, пустыни и т. п.) климат настолько суров, что находится на грани переносимости человеком (т. н. экстремальные условия) даже при использовании совр. средств жизнеобеспечения. Наряду с крупными климатич. зонами свои специфич. особенности имеют города, жилища, производств., культурные и бытовые помещения, в к-рых человек также испытывает влияние климато-погодных факторов (см. Микроклимат). Климатич. факторы оказывают и косвенное влияние на здоровье человека, напр, на выживаемость и жизненный цикл возбудителей и переносчиков инфекц. и паразитарных заболеваний.

Наряду с исследованием этих метеоэлементов К. м. значит, место отводит изучению действия на организм др. биологически активных факторов: изменений химич. состава воздуха (содержание в нём озона, окислов азота и пр.), колебаний содержания в свободной атмосфере кислорода, аэроионизации, солнечной активности, изменению магнитного и электрич. полей Земли и пр. (см. Гелиобиология, Магнитобиология). С интенсивным развитием пром-сти связано появление в атмосфере т. н. антропоурогич. факторов, т. е. вызванных деятельностью человека (радиоактивные и др. виды пыли, аэрозоли, нек-рые газы), к-рые активно воздействуют на живой организм.

Под влиянием регулярных периодич. изменений биотропных факторов внешней среды (суточные, годовые и др. колебания) происходят изменения активности мн. физиологич. функций организма (см. Биологические ритмы), а также работоспособности человека. С этими изменениями связана выраженная сезонность колебания частоты мн. заболеваний и патологич. реакций (напр., тенокардии, гипертонич. кризов и др.). Изучение биоклиматич. сдвигов в различных географич. зонах позволило разработать климатопрофилактич. мероприятия (применение медикаментов, спец. режим для больных и т. п.) для предотвращения развития сезонных болезней и ухудшения течения ранее приобретённых под влиянием неблагоприятных климатич. условий заболеваний.

В СССР проблемы К. м. разрабатывают ин-ты курортологии и физиотерапии, различные клинич. и гигиенич. н.-и. ин-ты; вопросами К. м. занимаются также мед. комиссии Географич. общества СССР. Проблемы и достижения К. м. освещаются в журнале "Вопросы курортологии, физиотерапи-и и лечебной физической культуры" (с 1955) и др. мед. и географич. журналах.

В зарубежных странах имеются н.-и. ин-ты и научные общества биоклиматологов: в ГДР--ин-т при метеорологич. и гидрологич. службе республики, в ФРГ - общество содействия медико-метеорологич. исследованиям, в ПНР - ин-ты бальнеологии и климатологии, биоклиматич. об-во; подобные ин-ты есть и во многих др. странах. В 1956 создано Междунар. биоклиматич. об-во. Издаются журналы и сборники, освещающие вопросы К. м: "Medizin-meteorologische Hefte" (Hamb., с 1949); "Wiadomosci uzdrowiskowe" (Ppznan, с 1956); "Presse thermale et climatique" (P., с 1920) и др.

Лит.: Ассман Д., Чувствительность человека к погоде, пер. с нем., Л., 1966; Чубуков Л. А., Комплексная климато-" логия, М.- Л., 1949; Мезерницкий П. Г., Медицинская метеорология, 2 изд., Ялта, 1937; Biometeorplogy, Oxf., 1962; Rudder В., Grundriss einer Meteorobiologie des Menschen, В., 1952. А. П. Авцын, И. И. Тихомиров.

КЛИМАТОТЕРАПИЯ (от климат и терапия), климатолечение, использование климато-погодных факторов в леч. и профилактич. целях. Теоретич. основой К. и климатопроф и л а к т и к и (т. е. укрепления здоровья организма воздействием климатич. факторов) является климатология медицинская.

Действующим началом при К. служат элементы климато-погодного комплекса: положение местности над уровнем моря, барометрич. давление, темп-pa воздуха, количество осадков, влажность, сила и направление ветра, облачность, интенсивность солнечной радиации. При проведении К. учитывают также влияние радиационных свойств почвы, особенности ландшафта и пр. Разнообразие климатов позволяет дифференцировать К. и тренировать организм в различных климатич. условиях (см. Акклиматизация человека). Климат степей в сочетании с кумысолечением используют при лечении туберкулёза, климат полупустынь благоприятен для лечения болезней почек. Морской климат показан при лечении болезней органов дыхания, функциональных заболеваний нервной системы, нарушений обмена веществ и др.; горный климат оказывает сильное воздействие на дыхат. и сосудистую системы, стимулирует обмен веществ.

Осн. методами К. являются аэротерапия (возд. ванны и пребывание на свежем воздухе), солнцелечение и талассотерапия (комплексное применение воздухо- и солнцелечения и морских купаний). Воздух на берегах горных рек, у моря, в горах, среди зелени, кроме кислорода и озона, содержит значит, количество аэроионов (см. Аэроионотерапия). Солнечные лучи повышают возбудимость нервной системы, активизируют процессы обмена веществ; под их действием в организме образуется витамин D. Пониженное барометрич. давление вызывает напряжение функций дыхания и кровообращения, стимулирует образование эритроцитов, улучшает обмен веществ.

К. широко применяют на всех курортах, особенно на климатических - горных, равнинных (лесных, степных, с климатом полупустынь) и приморских, а также в санаториях, домах отдыха, пансионатах, пионерлагерях, турбазах и т. п. Для климатотерапевтич. и климатопрофилактич. процедур используют спец. площадки для проведения солнечных и возд. ванн (аэросолярии), пляжи, маршруты терренкура, площадки для подвижных игр, веранды и галереи для пребывания на свежем воздухе в ненастную погоду, а в зимнее время - крытые остеклённые и отапливаемые веранды - климатопавильоны.

Лит.: Основные принципы и методики климатолечения, под ред. А. С. Вишневского, М., 1965; Вишневский А. С. и Н е вр а е в Г. А., Методические указания по организации климатотерапии на курортах, в санаториях и домах отдыха, М., 1960; Парфёнов А. П., Климатотерапия, в кн.: Основы курортологии. Многотомное руководство, т. 2, ч. 2, М., 1959. Л. Г, Гольдфайль.

КЛИМАТРОН (от климат и греч. thronos - местопребывание, средоточие), куполовидное или иной формы помещение из прозрачных материалов, в к-ром искусственно создаются условия (темп-pa и влажность воздуха, освещение и др.), близкие к климату разных географич. зон. В отличие от фитотрона, в К. выращивают не отдельные виды растений, а растит, сообщества, характерные для разных местообитаний. Наиболее крупный К. (с куполом выс. 21 м и площадью 2000 м2) имеется в Миссурийском ботанич. саду (Сент-Луис, США). В СССР строится (1973) К. на территории Гл. Ботанич. сада АН СССР.

КЛИМЕНИИ (Clymeniida), отряд вымерших головоногих моллюсков надотряда аммонитов. Жили в позднем девоне. Отличались положением сифона в раковине: у большинства аммонитов он прилегает к брюшной стороне, у К.- к спинной. Размеры раковины К. от 1 до 50 см. Ок. 30 родов. К.- важные руководящие ископаемые.

КЛИМЕНТ Охридский (Величский или Словенский) (ок. 840-916), славянский просветитель, один из основоположников древней болгарской литературы. Как ученик и ближайший сподвижник Кирилла и Мефодия участвовал вместе с ними в Моравской миссии (863). После изгнания из Моравии нем. духовенством К. нашёл убежище в Болгарском царстве. Создал Охридскую лит. школу, занимавшуюся переводами, подготовил просветителей из духовенства, обучил грамоте ок. 3500 чел. Был первым слав, епископом в Велице (отсюда - К. Величский). К.автор мн. поучит, и похвальных слов (в т. ч. Кириллу), церк. песнопений, житий и т. д., содержание к-рых нередко имело светский характер: гражданственность, патриотизм, постановка филос. проблем. Творчество К. сыграло значит, роль в развитии древних слав, лит-р.

С о ч.: Събрани съчинения, т. 1 -, София, 1970.

Лит.: У н д о л ь с к и и В. М., Климент, епископ словенский, "Чтения в Обществе истории и древностей Российских при Московском университете", 1895, т. 172, кн. 1; Туницкий Н. Л., Св. Климент, епископ словенский, Сергиев Посад, 1913; Климент Охридски. Сборник от статии по случай 1050 години от смъртта му, София, 1966.

КЛИМЕНТ V (Clemens V), в мируБертран де Го (Bertrand de Got) (г. рожд. неизв., Виландро,- ум. 20.4. 1314, Рокмор), папа римский с 1305. До этого был архиепископом Бордо (с 1299). Ставленник франц. короля Филиппа IV Красивого, под давлением к-рого перенёс свою резиденцию в 1309 в Авиньон (см. Авиньонское пленение пап). Передал Филиппу IV сроком на 5 лет право сбора церк. десятины во Франции; распустил в 1312 орден тамплиеров.