БОЛЬШАЯ  СОВЕТСКАЯ  ЭНЦИКЛОПЕДИЯ
В ЭНЦИКЛОПЕДИИ СОДЕРЖИТСЯ БОЛЕЕ 100000 ТЕРМИНОВ

А Б В Г Д Е Ж З И Й К Л М Н О П Р С Т У Ф Х Ц Ч Ш Щ Э Ю Я



ПЛАКСИН-ПЛАНКЕТ

ПЛАКСИН Игорь Николаевич [25.9 (8.10).1900, Уфа,- 15.3.1967, Москва], советский учёный в области металлургии и горного дела, чл.-корр. АН СССР (1946). Чл. КПСС с 1945. После окончания Дальневосточного ун-та (1926) работал в лаборатории Н. С. Курнакова в Химическом институте АН СССР (Ленинград), в 1928-30 - в Моск. горной академии, с 1930 - в Московском институте цветных металлов и золота (зав. кафедрой металлургии благородных металлов, зам. директора). Одновременно был зам. директора Всесоюзного ин-та механич. обработки и обогащения руд (1941-43), с 1944 руководил отделом обогащения полезных ископаемых Ин-та горного дела АН СССР. Осн. труды по теории и технологии гидрометаллургич. процессов, обогащению полезных ископаемых и истории металлургии. Создал совр. науч. основы гидрометаллургии и извлечения благородных металлов из руд, теоретически обосновал процесс амальгамации, предложил эффективный способ интенсификации процесса цианирования. Гос. пр. СССР (1951, 1952). Награждён орденом Ленина, орденом Трудового Красного Знамени и медалями.

Соч.: Гидрометаллургия, М., 1949 (совм. с Д. М. Юхтановым); Металлургия благородных металлов, М., 1958; Флотация, М., 1961 (совм. с В. А. Глембоцким и В. И. Классеном); Гидрометаллургия с применением ионитов, М., 1964 (совм. с С. А. Тэтару). Лит.: Игорь Николаевич Плаксин, М., 1962 (Материалы к биобиблиографии ученых СССР. Серия технических наук. Горное дело, в. 10). А. С. Фёдоров.

ПЛАКУН-ТРАВА, дербенник иволистный, многолетнее травянистое растение из рода дербенник.

ПЛАН (от лат. planum - плоскость), 1) чертёж, изображающий в условных знаках на плоскости (в масштабе 1:10000 и крупнее) часть земной поверхности (топографич. П.). 2) Горизонтальный разрез или вид сверху к.-л. сооружения или предмета (см., напр., План в архитектуре). 3) То же, что горизонтальная проекция (см. Начертательная, геометрия). 4) Заранее намеченный порядок, последовательность осуществления к.-л. программы, выполнения работы, проведения мероприятий (например, народнохозяйственный, производственный, стратегический, учебный П., см. Планирование народного хозяйства). 5) Замысел, проект, основные черты к.-л. работы, изложения (П. доклада, пьесы и т. п.). 6) Способ рассмотрения, построения, подхода к чему-либо (в теоретич. П., в двух П. и т. п.). 7) Размещение объектов на изображении (передний, средний, задний П.) и их размеров (крупный, мелкий П., см., напр., План кинематографический).

ПЛАН в архитектуре, 1) выполненное в определённом масштабе графич. Изображение горизонтальной проекции здания (или одного из его этажей или помещений) или комплекса зданий, населённого пункта в целом или отдельных его частей. На П., в зависимости от его назначения, могут быть указаны конструкции стен и опор, расстановка мебели в интерьерах, расположение оборудования и схема технологич. процесса в производств. помещениях, озеленение терр. и схема трансп. сети в городе и др. План обычно характеризует форму и конфигурацию сооружения. 2) Характеристика расположения осн. частей здания или ансамбля на уровне земли (в многоэтажных зданиях и в комплексах, размещённых на сложном рельефе,- на разных уровнях).

ПЛАН кинематографический, расположение в пространстве и масштаб изображения объекта в кадре. По положению объекта различают: первый, второй и дальний П., по масштабу-крупный, средний и общий. Смена П.-осн. форма построения изобразительно-монтажной композиции сцен и эпизодов фильма.

ПЛАН ВЫРАЖЕНИЯ, лингвистический термин, употребляемый в глоссематике, но используемый языковедами др. школ для обозначения определённым образом организованной области материальных средств, служащих для передачи языковых сообщений. Противополагается плану содержания, под к-рым понимается "мир мысли", воплощаемый в языке, т. е. организованная определённым образом область всего того, что может быть предметом языкового сообщения. Глоссематика выделяет в каждом из планов форму и субстанцию, членя язык на 4 сферы (стратума): форма выражения, субстанция выражения, форма содержания, субстанция содержания. Форма обоих планов специфична для каждого языка и не зависит от той субстанции, в к-рой она проявляется. Субстанция каждого из планов определяется через понятия формы (сети отношений между элементами данного плана) и материала (нек-рой нерасчленённой, но поддающейся членению аморфной массы звуков и т. п. и идей) и трактуется как материал, расчленённый посредством формы. Обычно термин "П. в." применяется к области звуковых явлений, т. к. для концепций, отличных от глоссематики, осн. объектом лингвистики является устная разновидность естеств. языка. Напротив, в глоссематич. теории подчёркивается равноправность фонетической, графич. (для письм. языка) или любой иной субстанции выражения, в к-рой может манифестироваться форма выражения, оставаясь тождественной самой себе. Одной из осн. идей глоссематики является тезис об изоморфизме языковых планов. Вместе с тем утверждается их неконформальность, выражающаяся в том, что и в том и в другом языковых планах наряду с означающими и означаемыми выделяются их элементы, не соотносимые однозначным образом с сущностями противоположного плана (т. н. фигуры выражения и содержания). Именно это определяет целесообразность членения естественного языка на П. в. и план содержания, тогда как для др. семиотич. систем, в инвентарь к-рых не входят незнаковые единицы, подобное членение не является необходимым.

Лит.: Ельмслев Л., Пролегомены к теории языка, в кн.: Новое в лингвистике, в. 1, М., 1960; Мартине А., О книге "Основы лингвистической теории" Луи Ельмслева, там же; [Мурат В. П.], Глоссематическая теория, в кн.: Основные направления структурализма, М., 1964; Апресян Ю. Д., Идеи и методы современной структурной лингвистики, М., 1966. Т. В. Булыгина.

ПЛАН НАРОДНОХОЗЯЙСТВЕННЫЙ, см. Планирование народного хозяйства.

ПЛАН СОДЕРЖАНИЯ, лингвистический термин, употребляемый в глоссематике, под к-рым понимается организованная определённым образом область всего того, что может быть предметом языкового сообщения; противополагается плану выражения.

Лит. см. при ст. План выражения.

ПЛАН СЧЕТОВ, счётный план, система бухгалтерских счетов, предусматривающая их количество, группировку и цифровое обозначение в зависимости от объектов и целей учёта. В П. с. включаются синтетические (счета первого порядка) и связанные с ними аналитич. счета (субсчета, или счета второго порядка). Каждому из них даётся краткое наименование, точно соответствующее объекту учёта. Основой построения П. с. служит группировка объектов учёта по их экономич. признакам (напр., счета для учёта осн. средств, предметов труда; затрат на произ-во; готовой продукции, товаров и реализации; финанс. средств, фондов и финанс. результатов и др.). Счета располагаются в последовательности, позволяющей взаимосвязанно отражать в бухгалтерском учёте ресурсы х-ва и их источники, особенности их участия в кругообороте средств предприятий и организаций в процессе произ-ва, распределения и использования обществ. продукта. В целях ускорения и облегчения учётных записей счетам первого порядка присваивается условный шифр, а субсчетам - порядковый номер в пределах каждого синтетич. счёта. Инструкция по применению П. с. содержит краткую характеристику объектов учёта по каждому счёту и назначения счетов, общую схему их корреспонденции, показывающую типичные бухгалтерские записи по счетам, взаимосвязанным единством хоз. процессов и операций.

Единые П. с. (с учётом особенностей отраслей нар. х-ва) используются только в социалистич. странах. Для капиталистич. стран характерно большое разнообразие номенклатуры бухгалтерских счетов, где применение той или иной номенклатуры определяется собственниками предприятий. В СССР для обеспечения единства и полноты бухгалтерского учёта во всех отраслях нар. х-ва типовые П. с. отд. отраслей утверждаются Мин-вом финансов СССР по согласованию с ЦСУ СССР. П. с. бухгалтерского учёта для колхозов устанавливают ЦСУ и Мин-во с. х-ва СССР.

П. с. бюджетных и финансово-кредитных учреждений имеют свои особенности, определяемые спецификой деятельности этих организаций.

ПЛАНАРИИ, группа беспозвоночных из подотряда Tricladida класса ресничных червей. П. отличаются крупными размерами (дл. тела до 35 см). Распространены по всему земному шару. Обитают в пресных водах, реже - в морях, а в тропиках - и на почве. Питаются мелкими беспозвоночными. Рыбы планарий не едят, т. к. в их коже имеются ядовитые железы.

ПЛАНАРНАЯ ТЕХНОЛОГИЯ, планарный процесс (англ. planar, от лат. planus - плоский, ровный), первоначально - совокупность технологич. операций, проводимых для получения полупроводниковых (ПП) приборов с электронно-дырочными переходами, границы к-рых выходят на одну и ту же плоскую поверхность ПП пластины и находятся под слоем защитного диэлектрич. покрытия; в современном, более широком смысле - совокупность технологич. операций, проводимых для получения практически любых ПП приборов и интегральных схем, в т. ч. и таких, у к-рых границы электронно-дырочных переходов не выходят на одну плоскую поверхность. Термины "П. т." и "планарный прибор" появились в 1959, когда амер. фирмой "Фэрчайлд" (Fairchild) были созданы первые планарные кремниевые транзисторы.

Осн. технологич. операции при изготовлении классич. планарного кремниевого транзистора с n-p-n-переходами выполняются в след. последовательности. На отшлифованной, а затем отполированной, тщательно очищенной плоской поверхности пластины из монокристаллич. кремния с электропроводностью n-типа (рис., а)термич. окислением в сухом или влажном кислороде создают слой двуокиси кремния (SiO2) толщиной от неск. десятых до 1,0-1,5 мкм (рис., 6). Далее производят фотолитографич. обработку этого слоя (см. Фотолитография): на окисленную поверхность кремния наносят слой фоторезиста, чувствительного к ультрафиолетовому излучению; пластину с высушенным слоем фоторезиста помещают под шаблон - стеклянную пластину с рисунком, в заданных местах прозрачным для ультрафиолетового излучения; после обработки излучением фоторезист в тех местах, под к-рыми должен сохраняться слой SiO2, полимеризуют (задубливают), с остальной части пластины фоторезист снимают и удаляют травлением обнажившийся слой SiO2, после чего снимают оставшийся фоторезист (рис., в). Затем в участки, где нет плёнки окисла, проводят диффузию бора (акцепторной примеси) для создания в материале исходной пластины (коллекторная область) базовой области с электропроводностью р-типа. Т. к. диффузия одновременно идёт и перпендикулярно поверхности пластины, и параллельно ей, т. е. под края окисной плёнки, то границы электронно-дырочного перехода между коллекторной и базовой областями, выходящие на поверхность пластины, оказываются закрытыми слоем SiO2 (рис., г). После проведения диффузии бора (или одновременно) поверхность пластины повторно подвергают окислению и повторно производят фотолитографии, обработку (рис., д)с целью создания эмиттерной области с электропроводностью n-типа диффузией фосфора (донорной примеси) в заданные участки базовой области. При этом границы электронно-дырочных переходов между эмиттерной и базовой областями оказываются также закрытыми слоем SiO2 (рис., е). После диффузии доноров или одновременно с ней проводят третье окисление и над эмиттерной областью создают слой чистой SiO2 или фосфорно-силикатного стекла. Затем производят последнюю фотолитографич. обработку и вытравливают над эмиттерной и базовой областями в плёнке окисла отверстия для контактов к этим областям (рис., ж). Контакты создают нанесением тонкой металлической плёнки (обычно Аl; рис., э). Контакт к коллекторной области . осуществляют путём металлизации нижней поверхности исходной пластины. Пластину кремния разрезают на отд. кристаллы, каждый из к-рых имеет транзисторную структуру. Наконец, каждый кристалл помещают в корпус и герметизируют последний.
1945-1.jpg
Стадии изготовления планарного транзистора: а - исходная пластина; 6 - после первого окисления; в - после первой фотолитографической обработки; г - после создания базовой области и второго окисления; д - после второй фотолитографической обработки; в - после создания эмиттерной области и третьего окисления; ж - после третьей фотолитографической обработки; з - после металлизации; 1 - исходный кремний с электропроводностью n-типа; 2 - маскирующая плёнка двуокиси кремния; 3 - базовая область; 4 - эмиттерная область; 5 -металлическая плёнка (контакты).

По мере своего развития П. т. включила в себя ряд новых процессов. В качестве материала защитных плёнок используют не только SiO2, но и нитрид кремния, оксинитрид кремния и др. вещества. Для их создания применяют пиролиз, реактивное (в кислородной среде) распыление кремния и др. процессы. Для селективного удаления защитной диэлектрич. плёнки, помимо обычной оптич. фотолитографии, применяется обработка электронным лучом (т. н. электронолитография). Для легирования кремния, кроме диффузии, используют ионное внедрение донорных и акцепторных примесей. Получило распространение сочетание методов П. т. с технологией эпитаксиального выращивания (см. Эпитаксия). В результате такого сочетания создан широкий класс разнообразных планарно-эпитаксиальных ПП приборов. Появилась возможность получать стойкие защитные диэлектрич. плёнки не только на кремнии, но и на других ПП материалах. В результате были созданы планарные ПП приборы на основе германия и арсенида галлия. В качестве легирующих примесей в П. т. используют не только бор и фосфор, но также др. элементы третьей и пятой групп периодич. системы элементов Д. И. Менделеева.

Гл. достоинство П. т., послужившее причиной её распространения в полупроводниковой электронике, заключается в возможности использования её как метода группового изготовления ПП приборов, что повышает производительность труда и процент выхода годных приборов, позволяет уменьшить разброс их параметров. Применение в П. т. таких прецизионных процессов, как фотолитография, диффузия, ионное внедрение, даёт возможность очень точно задавать размеры и свойства легируемых областей и в результате получать параметры и их сочетания, недостижимые при др. методах изготовления ПП приборов. Защитные диэлектрич. плёнки, закрывающие выход электронно-дырочных переходов на поверхность ПП материала, позволяют создавать приборы со стабильными характеристиками, мало меняющимися во времени. Этому способствует также ряд спец. мер: поверхность пластин перед нанесением защитной плёнки тщательно очищают, при создании защитных плёнок используют особо чистые исходные вещества (напр., бидистиллированную воду, к-рая после последней дистилляции не контактирует с внеш. средой) и т. д.

Лит.: Кремниевые планарные транзисторы, под ред. Я. А. Федотова, М., 1973;  Пресс Ф. П., Планарная технология кремниевых приборов, М.,1974.

Е. З. Мазель.

ПЛАНАРНЫЙ ПРОЦЕСС, совокупность технологич. операций, более точно характеризуемая термином планарная технология.

ПЛАНАЦИЯ (от лат. planum - плоскость, равнина), выравнивание рельефа совместными процессами денудации и аккумуляции в условиях относительно спокойного тектонич. режима территории. Итогом П. является полого-волнистая равнина - пенеплен в гумидном климате и педиплен в условиях аридного климата.

ПЛАНЕЛЬЕС Хуан Хуанович (8.4.1900, Херес, Испания,- 25.8.1972, Москва), микробиолог и фармаколог, акад. АМН СССР (1969; чл.-корр. 1953); чл.-корр. Академии медицины Испании. По национальности испанец. Окончил лечебный ф-т Мадридского ун-та (1921). В 1926-36 науч. руководитель одного из исп. медико-фармацевтич. предприятий и директор (с 1930) Ин-та клинич. исследований в Мадриде. В 1936-39 начальник сан.-мед. службы центр. республиканской армии, затем статс-секретарь здравоохранения Испанской Республики. С 1939 - в СССР; с 1943 в Ин-те эпидемиологии и микробиологии им. n. ф. Гамалеи АМН СССР. Осн. труды по биол. стандартизации фармацевтических и биопрепаратов, сульфаниламидам, лекарственной устойчивости микробов и др. Награждён 2 орденами, а также медалями.

Соч.: О теориях химиотерапевтического действия, "Журнал микробиологии, эпидемиологии и иммунобиологии", 1952, № 7; В. К. Высокович. 1854 - 1912, М., 1953; Побочные явления при антибиотикотерапии бактериальных инфекций, 2 изд., М., 1965 (совм. с А. М. Харитоновой); Серотонин и его значение в инфекционной патологии, М., 1965 (совм. с З. А. Попененковой). Е. К. Пономарь.

ПЛАНЁР (франц. planeur, от planer - парить), безмоторный летательный аппарат тяжелее воздуха. Движется поступательно под действием собственного веса. Его полёт в спокойной атмосфере происходит с постоянным снижением под нек-рым углом к горизонту (углом планирования) и основан на тех же физ. законах, что и полёт самолёта. При наличии в атмосфере восходящих потоков воздуха становится возможным полёт П. без потери высоты или с её набором - парение. Совр. П. различают: по числу мест - одно-, двух- и многоместные; по назначению - учебные, тренировочные и рекордные (спортивные). Одноместные рекордные П. бывают стандартного (с размахом крыла до 15 м) и открытого (без ограничения размаха) классов.

Первый П. был построен и испытан франц. моряком Ж. Ле Бри в 1868. Используя для запуска буксируемую лошадью тележку, на к-рой располагался П., он сумел осуществить планирующие полёты на расстояние до 30 л. В кон. 19 - нач. 20 вв. было совершено большое число кратковременных планирующих спусков с холмов, благодаря к-рым человек научился управлять полётом П. В 1891-96 нем. инж. О. Лилиенталъ первый провёл большое число успешных планирующих полётов на расстояние до 250 м на т. н. балансирных П. Управление такими П. сводилось к перемещению центра тяжести аппарата путём отклонения тела лётчика в нужную сторону. Последователями О. Лилиенталя стали в Великобритании инж. П. Пилчер, в США инж. О. Шанют и бр. О. и У. Райт. Успешные полёты на П. бр. Райт в 1901-03 позволили им построить самолёт, представлявший собой несколько увеличенную копию их П.; на нём они впервые совершили полёт в 1903. Начиная примерно с 1908 полёты на балансирных П. становятся распространёнными. Позже баланс был заменён управлением рулями - такими же, как и на самолётах. В 1913 в Крыму русский конструктор С. П. Добровольский впервые в России совершил парящие полёты продолжительностью ~5 мин на П.-биплане, к-рый имел систему рулевого управления; в нём лётчик находился в сидячем положении.

В СССР планёростроение получило размах в 20-30-е гг.; конструкторами были К. К. Арцеулов, Г. Ф. Грошев, В. И. Емельянов, С. В. Ильюшин, Б. Н. Шереметев, А. С. Яковлев и мн. др. В период 2-й мировой войны 1939-45 в СССР, США, Великобритании, Германии, Японии строились многоместные десантные буксирные П. для переброски солдат и техники через линию фронта. На фронтах Великой Отечеств. войны 1941-45 применяли 7-местный десантный П. А-7 конструкции О. К. Антонова и 11-местный Гр-29 конструкции В. К. Грибовского. Первым в мире десантным буксирным П. был построенный в 1932 в Москве 18-местный П. "Яков Алкснис" конструкции Б. Д. Урлапова.

В нач. 70-х гг. 20 в. П. (спортивного назначения) и методы полётов на них были значительно усовершенствованы, что позволило выполнить рекордные полёты на Выс.до 14 км, дальностью св. 1000 км (см. Планёрный спорт). Известными конструкторами современных П. являются: в СССР - О. К. Антонов, конструкторский коллектив Казанского авиац. ин-та, Б. О. Карвялис, Б. И. Ошкинис, В. Ф. Спивак и др.; в Польше - А. Курбиль, В. Окармус; в ФРГ - Г. Вейбель, К. Холингхаус.

П. 20-х гг. имели деревянную конструкцию (рис. 1). По своему внешнему виду, размерам, принципу управления и размещению лётчика они мало чем отличались от самолётов тех лет, однако их масса была значительно меньше. В дальнейшем конструкция П. претерпела существенные изменения, к-рые привели к увеличению аэродинамич. качества П. (отношения подъёмной силы крыла к полной силе лобового сопротивления) и удлинения крыла (отношения размаха крыла к его ширине), а также к уменьшению миним. скорости снижения П. (до 0,5 м/сек). Стал применяться ламинаризированный профиль крыла с характерной изогнутостью в хвостовой его части. Благодаря тому, что лётчик стал располагаться в кабине в полулежачем положении ногами вперёд, а кабину лётчика закрыли прозрачным "фонарём", не выступающим за контур фюзеляжа, резко уменьшилось макс. сечение фюзеляжа (мидель). Было применено одноколёсное шасси, убирающееся в полёте (рис. 2). Осн. конструкционными материалами для совр. П. служат дюралюминий и стеклопластик, дерево применяется значительно реже.

Рис. 1. Планер А-5 конструкции К. К. Арцеулова. 1923.

Рис. 2. Планёр БК-7 "Летува" конструкции Б. О. Карвялиса. 1972.
 

Запуск П. осуществляется различными способами. В 30-х гг. для этого использовали резиновый шнур, и П. запускался, как камень из рогатки. Начиная с 1931 сов. планеристы освоили старт с помощью буксировки П. за самолётом. С тех пор такой старт (как правило, до Выс.600 м) сделался обычным для спортивных П. Осн. способом взлёта П. без помощи самолёта стал автостарт - подъём посредством стального троса и лебёдки с приводом от двигателя внутреннего сгорания (высота подъёма 200-300 м). В 60-х гг. получили распространение также П. с мотором - мотопланёры, осуществляющие самостоят. взлёт.

Основные лётно-технич. характеристики совр. П. имеют след. значения: наибольшее аэродинамическое качество 40-53; размах крыла до 29 м, удлинение крыла 20-36; нагрузка на крыло 250-350 н/м2; скорость снижения 0,4-0,8 м/сек; скорость полёта (при наибольшем аэродинамич. качестве) 80 -100 км/ч; максимально допустимая скорость полёта 220-250 км/ч.

Лит.: Пи ьецух А. И., Крылья молодежи, М., 1954; Шереметев Б. Н., Планеры, М., 1959: Костенко И. К., Сидоров О. А., Шереметев Б. Н., Зарубежные планеры, М., 1959; Замятин В. М., Планеры и планеризм, М., 1974 (лит.); Keedus U., Purilend, Tallinn 1962; Skarbinski a., Stafiej W. Projektowaniei konstrukcja szybowcow, Warsz. 1965; Podrgcznik pilota szybowcowego Warsz., 1967. И. К. Костенко

ПЛАНЁРНЫЙ СПОРТ, один из видов авиац. спорта, включающий соревнования на планерах - безмоторных летательных аппаратах тяжелее воздуха. В совр. программу П. с. входят полёты: скоростные по треугольным маршрутам на 100, 200, 300 и 500 км; в цель с возвращением на старт; с посадкой в конечном пункте маршрута; на т. н. открытую дальность и на дальность с проходом одного или двух поворотных пунктов. Соревнования проводятся на планерах стандартного (размер крыла до 15 м) и открытого (конструкция без ограничений ) классов.

Зарождение П. с. относится к концу 19- началу 20 вв. В России первые кружки планеристов созданы в 1900-х гг. в Москве (Н. Е. Жуковский), Тбилиси (А. В. Шиуков), Киеве (Н. Б. Делоне, Г. П. Адлер и др.), Петербурге (Н. А. Рынин, В. А. Лебедев и др.), в Крыму (К. К. Арцеулов). С планеризмом связано начало творческой деятельности таких учёных и авиаконструкторов, как А. Н. Туполев, Б. Н. Юрьев, В. П. Ветчинкин, С. П. Королёв, С. В. Ильюшин, А. С. Яковлев, О. К. Антонов и др. Массовое развитие П. с. в СССР началось с 1923, когда состоялись первые всесоюзные планёрные испытания (Крым, Коктебель, ныне Планёрское), на к-рых Л. А. Юнгмейстер установил первые рекорды страны (на планёре конструкции Арцеулова). Становление и развитие П. с. связаны с деятельностью Об-ва друзей воздушного флота, Осоавиахима (впоследствии ДОСААФ СССР). В 1934 Осоавиахимом учреждено звание мастера П. с. СССР; в числе первых мастеров П. с.- Л. Г. Минов, С. Н. Анохин, И. М. Сухомлин, В. Л. Лисицын, В. М. Ильченко, В. Л. Расторгуев, М. К. Раценская, И. А. Карташов, А. В. Степанчонок. В разных районах страны были открыты планёрные станции, школы, организованы кружки планеристов. К 1941 сов. планеристам принадлежало 13 мировых рекордов (из 18, регистрировавшихся Междунар. авиац. федерацией - ФАИ). В 1948 создана всесоюзная секция П. с. (в 1960 вошла в состав Федерации авиац. спорта СССР), с 1966 самостоят. федерация П. с. В 1949 П. с. включён в Единую всесоюзную спортивную классификацию. В 1923-74 состоялось 36 чемпионатов СССР по П. с. Среди абсолютных чемпионов СССР и рекордсменов мира -  Веретенников, А. П. Самосадова, В. В. Гончаренко, В. И. Чувиков, Е. Г. Руденский, М. И. Африканова, О. А. Манафова, Э. В. Лаан, С. П. Судейките, В. Ю. Панафутин и др. В 1964 в Орле открыт Центр. спортивно-планёрный клуб ДОСААФ СССР.

С 1948 проводятся раз в два года чемпионаты мира по П. с. В 1950 ФАИ создана планёрная комиссия, на к-рую возложено руководство развитием П. с. в мире, организация и проведение крупнейших междунар. соревнований, чемпионатов мира (в 1974 объединяла планеристов ок. 60 стран). В 1974 сов. планеристам принадлежало 9 из 32 мировых рекордов, в т. ч. дальности полёта на 1-местном планёре (749 км, О. В. Клепикова), на 2-местном планёре (846 км, Т. Д. Павлова; 921 км, Ю. А. Кузнецов), дальности полёта до намеченного пункта на 1-местном планёре (731 км, Т. Н. За-гайнова), на 2-местном планёре (864 км, И. А. Горохова).

За рубежом П. с. наиболее развит в Польше, США, ФРГ, Франции, ГДР, Чехословакии, Великобритании, Югославии. Чемпионами мира были Э. Макула и Я. Врублевский (Польша), А. Смит и Дж. Моффат (США), X. Ведль (Австрия), Г. Рейхман (ФРГ), Г. Акс (Швеция) и др.

Вопросы П. с. освещаются в журнале ДОСААФ СССР "Крылья Родины".

А. Д. Винокуров.

ПЛАНЁРСКОЕ (до 1944 - Коктебель), посёлок гор. типа в Крымской обл. УССР. Подчинён Феодосийскому горсовету. Расположен на Юж. берегу Крыма, у вост. подножия Карадага, в 20 км к Ю.-З. от Феодосии. Совхоз "Коктебель", винодельческий з-д.

Приморский климатич. курорт на берегу Чёрного моря. Лето жаркое (ср. темп-ра июля ок. 24 °С), зима мягкая (ср. темп-ра янв. ок. О оС); осадков 360 мм в год. Леч. средства: климатотерапия, морские купания (с сер. июня до октября). Широкий мелкопесчаный пляж. Туристская база "Приморье", пансионат, Дом творчества Литфонда СССР, основанный М. А. Волошиным. В 20-30-х гг. в р-не Коктебеля регулярно проводились соревнования по планёрному спорту.

ПЛАНЕТ (франц. pianette, уменьшительное от plane - струг), ручное или конное орудие типа струга для рыхления почвы и подрезания сорной растительности в междурядьях пропашных культур.

"ПЛАНЕТА", издательство Гос. комитета Сов. Мин. СССР по делам издательств, полиграфии и книжной торговли и Союза журналистов СССР. Находится в Москве. Создано в 1969 на базе творческого объединения Союза журналистов СССР "Орбита" и редакции фотоизданий издательства "Советский художник". Средствами фотоискусства "П." пропагандирует достижения СССР и других социалистических стран в области экономики, науки и культуры, советский образ жизни, борьбу народов за мир и национальную независимость. Выпускает фотоальбомы, фотокниги, фотооткрытки, фотопортреты, буклеты, фотомонтажи; издательству поручен выпуск журнала "Советское фото". За 1969-73 издательство выпустило ок. 100 фотоальбомов, многие из к-рых ("В. И. Ленин", "Советский Союз", "Москва", "К вулканам Камчатки", "Командоры", "Байкал" и др.) отмечены дипломами на всесоюзных конкурсах; альбомы "Москва" и "Командоры" в 1973 на Всемирном конкурсе "Самая красивая книга в мире" в Берлине получили: первый золотую, второй бронзовую медали. Г. Я. Коваленко.

ПЛАНЕТАРИЙ (новолат. planetarium, от позднелат. planeta - планета), 1) аппарат для проецирования изображений звёздного неба, Солнца, Луны и планет на полусферич. купол-экран. Первый оптич. П. был сконструирован нем. инж. В. Бауэрсфельдом в 1924, а первая модель построена на оптич. заводе фирмы "Карл Цейс" (Германия). В 70-х гг. 20 в. нар. предприятие "Карл Цейс" (ГДР) выпускает три модели аппаратов: "Большой планетарий Цейса", "Спейсмастер" для демонстрации космического полёта и "Малый планетарий Цейса"; нек-рое количество аппаратов выпущено в США (Spitz), Японии (Goto) и ФРГ (Zeiss).

Наибольшие демонстрационные возможности у " Большого Пи .". С его помощью демонстрируются все звёзды до 6,5 звёздной величины включительно. В совр. моделях 20 наиболее ярких звёзд имеют цвет, соответствующий их спектральному классу. Проекторы звёзд представляют собой шары, причём один из них проецирует звёзды Сев. полушария неба, другой - Южного. В шарах по 16 отверстий, в к-рые вложены металлич. пластинки из фольги. В каждой пластинке проделано до двухсот мельчайших отверстий, относительное расположение к-рых соответствует положению звёзд на небе. Аппарат оснащён также проектором Млечного Пути. Шар меньшего диаметра проецирует названия созвездий. Имеются также проекторы Солнца, Луны и 5 планет, видимых невооружённым глазом,- Меркурия, Венеры, Марса, Юпитера и Сатурна. Всего же аппарат имеет более ста проекционных фонарей, а также ряд электрич. двигателей, с помощью к-рых он может совершать разнообразные движения: суточное, годовое, прецессионное и движение по меридиану. "Суточное" движение аппарата, соответствующее видимому суточному движению звёздного неба, можно осуществить ускоренно: 1 оборот за время от 4 мин до 1 мин. "Годовое" движение позволяет ускорить медленные перемещения планет и Солнца на фоне звёзд: год можно демонстрировать за 1 мин. "Прецессионный" оборот осуществляется за 1,5 мин (в действительности - ок. 26 000 лет). "Движение по меридиану" даёт возможность демонстрировать звёздное небо на любой геогр. широте Земли - от Сев. до Юж. полюса. Спец. приборы проецируют на звёздное небо небесный экватор, эклиптику, небесный меридиан и др. точки и линии небесной сферы. Имеются проекторы полярных сияний, комет, метеоров, "звёздного дождя", солнечных и лунных затмений и др. небесных явлений.

Аппарат П. вместе с соответствующими панорамами может показывать не только "земное" звёздное небо, но и небо Луны, Марса и Венеры.

Схема аппарата планетария: 1 - северный и южный шары с проекторами звёздного неба; 2 - северный и южный шары с проекторами названий созвездий; 3 - проекторы Млечного Пути; 4 - проекционные механизмы Солнца, Луны и планет; 5 - проектор звезды Сириус; 6 - прибор для демонстрирования солнечных и лунных затмений; 7 - проектор небесного меридиана; 8 - проектор небесного экватора и эклиптики.

Оптический аппарат, установленный в Московском планетарии.

Здание Московского планетария.

П. "Спейсмастер" имеет возможность показать вид звёздного неба из космич. корабля, летящего по трассе с любым углом наклона к экватору. 2) Научно-просветительное учреждение, в к-ром читаются популярные лекции по астрономии, космонавтике и наукам о Земле. Лекции сопровождаются демонстрацией искусств. неба с Солнцем, звёздами, планетами, спутниками, различными космич. аппаратами. Здесь можно демонстрировать полярные сияния, кометы, метеоры, солнечные и лунные затмения, панораму Луны, Марса, Венеры и климатич. поясов земного шара. Для этих целей служит проекционный аппарат П.

Первый П. был построен в Мюнхене в 1925. В СССР первый П. был открыт в Москве 5 нояб. 1929. В 1974 стационарные П. работали в 62 городах СССР. Московский П.- крупнейший в стране центр пропаганды естествознания. Важной составной частью работы П. являются: пропаганда материалистич. мировоззрения, науч. атеизма, анализ и обобщение методики популяризации естественно-науч. знаний, создание уникальных демонстрационных приборов. Многие П. имеют астрономич. площадки, оснащённые телескопами и др. приборами для демонстрации различных астрономич., физич., геофизич. явлений. При многих П. работают астрономич. кружки, в к-рых школьники овладевают методами обращения с телескопами, обработки наблюдений и вычислений.

Большие П. имеются во многих зарубежных странах: в странах Сев. Америки - 26, Южной Америки - 7, Европы (без СССР) - 19, Азии - 10, Африки - 2, Австралии - 1.

Лит.: Базыкин В. В., Луцкий В. К., Московский планетарий, 2 изд., М., 1956; Базыкин В. В., Шевляков И. ф., Методика использования аппарата "Планетарий", М., 1963; Порцевский К. А., Организация астрономической площадки при планетарии, М., 1970; Letsсh H., Das Zeiss-Planetarium, 4 Auf 1., Jena, 1955; его же, Captured stars, Jena, 1959.

К. А. Порцевский.

ПЛАНЕТАРНАЯ ПЕРЕДАЧА, механизм для передачи вращательного движения цилиндрическими или коническими зубчатыми (реже фрикционными) колёсами, в состав к-рого входят т. н. сателлиты (колёса, совершающие сложное движение и имеющие подвижную ось вращения). Подвижное звено, на к-ром укреплены оси сателлитов, наз. водилом (рис. 1). Сателлиты находятся обычно в зацеплении с центральными колёсами, вращающимися вокруг оси механизма или закреплёнными неподвижно. Число сателлитов в П. п. зависит от возможности их размещения в механизме, но для более равномерного распределения нагрузок в результате самоустановки колёс предпочтительно иметь 3 сателлита. Компактность и малая масса П. п. в значит. степени объясняются распределением передаваемой мощности между сателлитами и использованием внутр. зацепления.

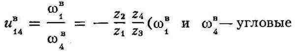
Передаточные отношения П. п. обозначают буквой и с двойным индексом внизу, указывающим отношение угловых скоростей рассматриваемых звеньев, и с индексом наверху, указывающим, какое звено механизма принято за неподвижное. Если направления вращения ведущего и ведомого звеньев одинаковы, то передаточное отношение считается положительным, если различны - отрицательным.

Простейшей П. п. является передача с 1 степенью свободы и 1 закреплённым центральным колесом. Свойства и возможности таких П. п. в значит. степени зависят от знака передаточного отношения преобразованного механизма, т. е. такого механизма, у к-рого остановлено водило и передача обращается в обычный механизм с неподвижными осями колёс. Если в преобразованном механизме передаточное отношение отрицательное
1945-4.jpg

скорости центральных колёс), то передаточное отношение П. п. определяется по формуле:
1945-5.jpg

где z1 и z4- числа зубьев центр. колёс, z2 и z3 - числа зубьев сателлитов. Такие П. п. имеют высокий кпд (0,96-0,99), но не дают возможности получать большие передаточные отношения: при 3 сателлитах в однорядной П. п. (рис. 1, а) возможно и не более 12 (обычно и =< 8), для двухрядной (рис. 1,б) - обычно и =<15.
1945-6.jpg
Рис. 1. Планетарная передача с отрицательным передаточным отношением преобразованного механизма: а - однорядная; б - двухрядная; z1 и z4 - центральные колёса; z2 и z3 - сателлиты; в - водило.

При выборе чисел зубьев колёс учитывается также условие собираемости П. п. В простейшем случае для однорядной П. п. достаточно, чтобы z1 и z4 были кратны k - числу сателлитов. Для получения передач с большим кпд и большим передаточным отношением обычно соединяют последовательно неск. однорядных П. п. (по схеме рис. 1, а).

Если в преобразованном механизме передаточное отношение положительное
1945-7.jpg

(рис. 2), то передаточное отношение П. п. определяется по формуле:
1945-8.jpg

Такие П. п. дают возможность получать очень большие передаточные отношения, но при этом обладают низким кпд.

Если использовать колёса со смещением (см. Корригирование зубчатых колёс) и числа зубьев выбрать так, чтобы
1945-9.jpg

было близким к 1, то можно получить П. п. с весьма большим передаточным отношением. Напр., при z1 =z3, z2 = z1-1 и z4 = z1 + 1 П. п., изображённые на рис. 2, а и б, дают
1945-10.jpg

т. е. при z1=100 u=10000. Однако при этом кпд П. п. получается меньше 0,01.
1945-11.jpg

Рис. 2. Планетарная передача с положительным передаточным отношением преобразованного механизма: а и 6 - с внешним и внутренним зацеплением; в - с упрощёнными сателлитами.

При средних передаточных отношениях (порядка 100) кпд П. п. с внутр. зацеплениями равен 0,6-0,7, что позволяет использовать такие передачи в качестве силовых.

Изготовление П. п. существенно упрощается, если сателлиты выполнить одновенцовыми увеличенной ширины, входящими в зацепление с центральными колёсами, имеющими разные числа зубьев (рис. 2, в).

П. п., различные по назначению, устройству и характеристикам, применяют в редукторах с целью получения компактных соосных конструкций и больших передаточных отношений; в коробках передач, реверсивных механизмах и механизмах включения с целью получения удобного управления посредством тормозов и фрикционных муфт. Известна П. п., обеспечивающая передаточное отношение до 2 . 106.

Лит.: Кудрявцев В. Н., Планетарные передачи, 2 изд., М,- Л., 1966; Детали машин. Расчет и конструирование. Справочник, под ред. Н. С. Ачеркана, 3 изд., т. 3, М., 1969. Н.Я. Ниберг.

ПЛАНЕТАРНЫЕ ТУМАННОСТИ, туманные светлые пятна круглой формы с небольшими угловыми размерами, видимые на звёздном небе. По внеш. виду напоминают диски планет, откуда и происходит их название. Представляют собой скопление крайне разряжённого газа с горячей звездой в центре. См. Туманности галактические.

ПЛАНЕТЕЗИМАЛИ (англ. planetesimal, от planet - планета и infinitesimal - бесконечно малая величина), название мелких твёрдых частичек, послуживших материалом для построения планет, согласно космогонич. гипотезе, предложенной на рубеже 19 и 20 вв. амер. учёными Ф. Мультоном и Т. Чемберленом. По этой гипотезе, П. образовались в результате остывания и конденсации вещества, исторгнутого из Солнца. Однако это предположение несостоятельно, т. к. оно не даёт возможности объяснить большие расстояния планет, удельные моменты количества движения. Иногда термин "П." применяется в совр. космогонич. гипотезах и теориях, рассматривающих образование планет из твёрдых частиц.

ПЛАНЕТНАЯ АБЕРРАЦИЯ, аберрация света, идущего от планеты, кометы или др. небесного светила - члена Солнечной системы, обусловленная относительным движением этого светила и Земли. П. а. слагается из годичной (звёздной) аберрации (являющейся результатом движения Земли вокруг Солнца) и углового перемещения по небесной сфере светила в течение светового промежутка, т. е. времени распространения света от светила до наблюдателя (учёт движения светила вокруг Солнца). П. а. определяется как угол между истинным направлением на светило в момент, когда наблюдаемый луч света покинул это светило, и истинным направлением на него в момент наблюдения его на Земле. Это определение основано на теореме Гаусса, согласно к-рой видимое направление на светило в момент t совпадает с истинным направлением на него в момент t - TAр, где p - расстояние светила от наблюдателя (см. рис.), а ТA - время прохождения светом 1 астрономич. единицы (т. н. световое ур-ние); TA = = 0,005776 ср. солнечных суток.
1945-12.jpg

Лит.: Дубяго А. Д., Определение орбит, М. - Л., 1949; Справочное руководство по небесной механике и астродинамике, под ред. Г. Н. Дубошина, М., 1971.

В. К. Абалакин.

ПЛАНЕТНЫЙ РАДИОЛОКАТОР, радиолокатор, предназначенный для астрономич. исследований Луны, больших планет и крупных астероидов, приближающихся к Земле. П. р. состоит из передающего устройства, облучающего объект зондирующими радиосигналами, приёмного устройства, улавливающего и обрабатывающего отражённые эхо-сигналы, а также регистрирующей и вспомогат. аппаратуры. Характеристики эхо-сигнала, а именно: мощность, время запаздывания, средняя частота спектра, форма спектра, форма огибающей, поляризация, содержат информацию об отражающей поверхности объекта. Анализом и интерпретацией данных, полученных таким методом, занимается радиолокационная астрономия.

Гл. показателем информативности эхосигнала является уровень его энергии относительно энергии шумов приёмной системы, на фоне к-рых он выделяется. Для того чтобы этот уровень был достаточно высоким, приходится применять мощные передатчики, крупнейшие антенны, охлаждаемые малошумящие приёмники, а также увеличивать время накопления энергии эхо-сигнала. При слабых сигналах время накопления достигает величины времени облучения и исчисляется часами. Обработка эхо-сигналов, к-рая, помимо выделения из шумов, заключается в разрешении их по частоте и по запаздыванию, производится на электронных вычислит. машинах и занимает время большее, чем длительность сигнала. Поэтому после усиления и понижения несущей частоты эхо-сигнал перед обработкой регистрируется, напр., на магнитную ленту.

Лит.: Котельников В. А. [и др.], Радиолокационная установка, использовавшаяся при радиолокации Венеры в 1961 г., "Радиотехника и электроника", 1962, № 11; Дубинскиq Б. А., Слыш В. И., Радиоастрономия, М., 1973.

Б. А. Кубинский.

ПЛАНЕТОГРАФИЧЕСКИЕ КООРДИНАТЫ, числа, определяющие положение точки на поверхности планеты. В качестве П. к. служат, как и для Земли, широта и долгота. Широта измеряется углом между плоскостью экватора планеты и нормали к поверхности планеты в данной точке. Для планеты с малым сжатием это понятие практически совпадает с понятием планетоцентрич. широты, измеряемой углом между плоскостью экватора и прямой, соединяющей данную точку с центром планеты. Северным считается полушарие планеты, находящееся со стороны того полюса её, к-рый лежит с сев. стороны Лапласа неизменяемой плоскости. Долготой точки является двугранный угол между плоскостью меридиана данной точки и плоскостью нулевого меридиана, проходящего через избранную в соответствии с международным соглашением точку на диске планеты. Долготы отсчитываются от 0° до 360° в направлении, противоположном направлению вращения планеты (для наблюдателя, находящегося в инерциальной не вращающейся системе координат). У планет, лишённых чётко выраженных деталей, к-рые могли бы быть использованы для проведения нулевого меридиана, в качестве последнего принимают меридиан, проходящий через центр диска планеты (центр. меридиан) в нек-рый фиксированный момент. Зная период вращения планеты, можно определить положение нулевого меридиана относительно центрального для любого момента времени. Если планета вращается с разной угловой скоростью на разных широтах, для каждой широтной зоны устанавливается своя система долгот (у Юпитера, Сатурна, а также у Солнца).

Нередко для П. к. конкретных планет используются собственные имена: термографические координаты у Меркурия (Гермеса), веннерианские координаты у Венеры, географические - у Земли, селенографические - у Луны, ареографические - у Марса (Ареса), йовиграфические - у Юпитера и т. п.

Д. Я. Мартынов.

ПЛАНЕТОЛОГИЯ (от планеты и ...логия), термин, применяемый для обозначения раздела астрофизики, посвящённого изучению физики планет Солнечной системы. Термин "П." применяется гл. обр. специалистами в области наук о Земле и редко - астрономами.

ПЛАНЕТЫ (позднелат., ед. ч. planeta, от греч. aster planetes - блуждающая звезда), большие небесные тела, движущиеся вокруг Солнца и светящиеся отражённым солнечным светом; размеры и массы П. на неск. порядков меньше, чем у Солнца. Ещё в глубокой древности были выделены семь небесных светил, изменяющих своё положение ("блуждающих") среди звёзд: Солнце, Луна, Меркурий, Венера, Марс, Юпитер, Сатурн. Считалось, что все эти светила, названные планетами, обращаются вокруг Земли. Лишь в нач. 16 в. создатель гелиоцентрич. системы мира Н. Коперник показал, что только Луна движется вокруг Земли, а остальные П., как и Земля, движутся вокруг Солнца, к-рое является, т. о., центральным телом системы П.- Солнечной системы. Само Солнце не причисляется к П.; оно является звездой, поскольку светится собственным, а не отражённым светом. Из числа П. древности была изъята и Луна - спутник Земли. В новое время были открыты ещё три планеты - Уран (1781, В. Гершель), Нептун (1846, Дж. Адаме, У. Леверъе, И. Галле), Плутон (1930, П. Ловелл, К. Томбо). Т, о., известно девять больших П. Кроме того, открыто несколько тысяч малых планет (астероидов), размеры к-рых составляют от неск. сотен до 1 км и меньше; они движутся гл. обр. между орбитами Марса и Юпитера.

Уже в древности П. по характеру их движения среди звёзд делились на нижние и верхние. К нижним П. относятся Меркурий и Венера, движущиеся вокруг Солнца ближе, чем Земля; к верхним принадлежат все остальные П., орбиты которых расположены за пределами земной орбиты. Более глубокое научное значение имеет деление П. на внутренние и внешние. К внутренним относят П., движущиеся по орбитам внутри пояса малых П. Это - Меркурий, Венера, Земля, Марс; они наз. также П. земной группы. Внешние П. находятся за пределами кольца малых П. Это - Юпитер, Сатурн, Уран, Нептун, Плутон. Все они (кроме Плутона) из-за своих значит. размеров наз. также планетами-гигантами.

Между П. и Солнцем действует взаимное притяжение, описываемое Ньютона законом тяготения. Движение П. вокруг Солнца происходит по эллиптич. орбитам в основном в соответствии со сравнительно простыми Кеплера законами. Однако взаимное притяжение П. осложняет движение, вследствие чего вычисление положения П. на звёздном небе, а также их расстояний от Солнца составляет трудную задачу небесной механики (особенно если вычисление должно быть выполнено на большой срок вперёд или назад). Тем не менее совр. матем. теории движения

П. позволяют вычислить положения П. на небе в далёком прошлом, напр. неск. тысячелетий назад, с точностью, более высокой, чем это могли сделать непосредств. наблюдениями астрономы той эпохи.

Общая характеристика планет. Видимый блеск всех П., известных с древности, не уступает блеску самых ярких звёзд, а блеск Венеры, Марса и Юпитера превосходит их. Из П., открытых в новое время, только Уран доступен невооружённому глазу. Для нормального человеческого зрения все П. представляются, как и звёзды, светящимися точками, но уже с помощью небольшого телескопа можно увидеть диск у всех П. (кроме далёкого Плутона), что впервые обнаружил в 1609 Г. Галилей. У Венеры и Меркурия можно видеть фазы, подобные фазам Луны - от "полной" до узкого серпа или полной невидимости в нижнем соединении с Солнцем (см. Конфигурации). У верхних П. полной смены фаз не бывает (у Марса ущерб не превышает 47°, у Юпитера 11° и т. д.). Фазы и угловые размеры диска П. меняются в зависимости от взаимного расположения П., Солнца и Земли, а также от расстояния П. от Земли. Вычисление линейных размеров П. по их угловым размерам не составляет труда, т. к. расстояние от П. до Земли известно с достаточной точностью. Впрочем, телескопич. измерения угловых размеров П. обременены трудно устранимыми систематич. ошибками, доходящими до 1% измеряемой величины.

Радиолокация П. (Меркурия, Венеры, Марса и Юпитера) даёт возможность очень точно установить расстояние до поверхности П.: небесно-механические же расчёты, осн. на анализе радиолокац. измерений за неск. лет, позволяют вычислить расстояния до центра П. Разность тех и других расстояний равна радиусу П. Такой способ вычисления радиусов П. обеспечивает точность, большую 0,1%. Радиусы П. определяются также из наблюдений затмения спутника П. при его заходе за диск П. и выходе из-за диска. Результаты особенно успешны в применении к П. с разрежённой атмосферой (напр., Марс). Измерения видимого диаметра П. в разных направлениях позволяют определить её фигуру или, по крайней мере, сжатие у полюсов. Достаточно надёжно характеризует форму П. сжатие (динамич. сжатие), к-рое выводится из анализа возмущений, наблюдаемых в движении спутников П., в предположении, что внутри П. соблюдается гидростатическое равновесие.

Табл. 1. - Геометрические и механические характеристики больших планет (по данным на 1973)
 
Планета
Диаметр планеты (экваториальный)
Угловые диаметры планеты (экваториальные) - наименьший и наибольший в секундах дуги
Сжатие планеты
Объём планеты в единицах объёма Земли
Масса планеты в единицах массы Земли
Средняя плотность планеты, в г/см3
Ускорение силы тяжести на поверхности планеты в единицах Земли
Скорость убегания на поверхности планеты, в км/сек
Среднее расстояние от Солнца, в а. е.
Период обращения планеты вокруг Солнца
в км
в единицах диаметра Земли
Меркурий
4865
0,38
4,7-12,9
0,0
0,055
0,055
5,52
0,38
4,3
0,387
88 сут
Венера
12105
0,95
9,9-65,2
0,0
0,861
0,815
5,22
0,90
10,3
0,723
224,7 "
Земля
12756
1,00
 
1:298,2
1,000
1,000
5,517
1,00
11,2
1,000
365,3 "
Марс
6800
0,53
3,5-25,5
1:190
0,150
0,107
3,97
0,38
5,0
1,524
1,881 года
Юпитер
141700
11,11
30,5-50,1
1:15,3
1344,8
317,82
1,30
2,35
57,5
5,203
11,862 "
Сатурн
120200
9,41
14,7-20,7
1:10,2
770
95,28
0,68
0,92
37
9,539
29,458 "
Уран
50700
3,98
3,4-4,3
1:33
61
14,56
1,32
0,92
22
19,19
84,015 "
Нептун
49500
3,88
2,2-2,4
1:60
57
17,28
1,84
1,15
23
30,06
164,79 "
Плутон
60001
0,47
0,5
 
0,1
0,111
61
0,51
5
39,752
250, 62 "

1 Очень ненадёжное значение. 2 Сильно меняется во времени.

Геометрические, механические и физические характеристики больших П. приведены в табл. 1 и 2.

Детали поверхности, вращения планет, их картографирование. На поверхности П., полностью (или почти полностью) лишённой атмосферы, видны различные детали. Им часто условно присваивают названия земных образований, хотя их физ. природа и не соответствует этим названиям. Таковы, напр., тёмные "моря" на Марсе, которые вовсе не являются морями в земном смысле слова; они выделяются на фоне др. деталей лишь из-за более низкой способности отражать солнечный свет. У такой П., как Венера, обладающей мощной атмосферой, детали поверхности не поддаются оптич. наблюдениям, у неё доступны для наблюдений только детали облачного слоя. Впрочем, с космического корабля "Маринер 10" поверхность Венеры была сфотографирована частично, в просветы между облаками. Периодически повторяющиеся перемещения деталей на диске П. указывают на её вращение; измеряя их положение в разное время определяют период вращения П. вокруг оси и положение оси вращения в пространстве. Это даёт возможность определить на П. планетографические координаты деталей и составить карту П.; такие карты имеются для Марса и Меркурия. К Венере и ко всем верхним П. эта методика неприменима, т. к. у каждой из них постоянному наблюдению доступен только облачный покров, в к-ром могут быть мощные систематич. движения, совпадающие с вращением самой П. Вращение П. может быть изучено методами радиолокационной астрономии. Вследствие вращения П. радиоло-кац. сигнал, посланный с Земли, отражается как от точек поверхности П., движущихся по направлению к земному наблюдателю, так и от точек, удаляющихся от него. Вследствие эффекта Доплера форма сигнала изменяется, причём тем больше, чем быстрее П. вращается. Таким методом советские (В. А. Котельников с сотрудниками) и американские радиофизики выяснили, что Венера вращается с периодом 243 земных сут в направлении, обратном её вращению вокруг Солнца. В дальнейшем обнаружилось, что её облачный слой вращается с периодом несколько большим 4 сут. Изучение собственного радиоизлучения Юпитера на дециметровых волнах показало, что его источники, связанные с телом П., вращаются с периодом 9 ч 55 мин 29,4 сек, тогда как облачный слой на экваторе П. имеет период вращения, равный 9 ч 50 мин 30,00 сек.

Табл. 2. - Физические характеристики больших планет (по данным на 1973)
Планета
Период вращения планеты вокруг оси относительно звёзд в единицах времени
Наклон плоскости
экватора планеты к
плоскости ее орбиты
Солнечная постоянная для планеты
Освещенность от Солнца на границе атмосфер в фотах
Блеск планеты в среднем противостоянии в звездных величинах
Сферическое альбедо (визуальное)
Равновесная температура, оС
Средняя измеренная

температура, оС

Координаты северного конца оси вращения планеты (1950.0)
Число спутников
мвт/см2
в единицах

солнечной постоянной

для Земли

прямое восхождение
склонение
Меркурий
58,65 сут
0°з
910
6,7
90,1
-0,3 - +0,65
0,07
+230°
+34009
254°
+70°
0
Венера
243,0 "
178
261
1,9
25,8
-0,078
0,76
-44
+48010
273,0
+66,0
0
Земля
23 ч 56 мин 4,1 сек
23,5
1364
1,0
13,5
-3,877
0,39
-23
+ 12
--
+90
1
Марс
24 ч 37 мин 22,7 сек
25,2
59
0,43
5,8
-2,01
0,16
-57
-53
317,32
+52,68
2
Юпитер
I1 9 ч 50 мин 30 , 0 сек
3,1
5,0
0,037
0,50
-2,55
0,67
-160
-14511
268,00
+64,52
12
II2 9 ч 55 мин 40 , 6 сек
Сатурн
I1 10 ч 14 мин II2 10 ч 40 мин
26,4
1,5
0,011
0,15
+0,678
0,69
-190
-17011
38,50
+83,31
10
Уран
10,8 ч
98
0,37
0,0027
0,037
+5,52
0,93
-210
-21011
76,76
+ 14,92
5
Нептун
15,8 ч
29
0,15
0,0011
0,015
+7,84
0,84
-220
-160
294,91
+40,53
7
Плутон
6,39 ч
?
0,08
0,0006
0,0085
+ 14,9
0,1
-230
--
?
?
?

1 I- на экваторе. 2 II - на средних широтах. 3 Ненадёжное значение. 4 1,95 кал/см2 мин. 5 В элонгации, в зависимости от расстояния от Солнца. 6 В элонгации. Максимальный возможный блеск -4,45. 7 Видимая с Солнца. 8 Кольцо Сатурна при наибольшем раскрытии делает эту величину равной -0,28. 9 Точка планеты, для к-рой Солнце находится в зените. 10 Температура поверхности. 11 Много выше по измерениям в радиодиапазоне.

Радиолокация даёт возможность построить карту деталей радио-альбедо П., выделяя в вернувшемся на Землю сигнале части, отражённые разными местами поверхности П. Более того, благодаря исключит. точности вычисления расстояний радиолокационными методами может быть выявлен и рельеф поверхности П., по крайней мере в тех её местах, к-рые локализуются близ центра видимого диска П. Так, в частности, был определён рельеф Венеры и Марса.

Масса и плотность планет. Изучение закономерностей движения спутников П. на основе закона всемирного тяготения позволяет уверенно определить массу П. У Меркурия, Венеры и Плутона, не имеющих спутников, массы определяются по возмущениям, к-рые они вызывают в движениях др. небесных тел, в первую очередь комет и искусств. космических зондов (в последнем случае точность особенно велика). Кроме Венеры и Меркурия, таким путём определена масса Марса, причём по движению естественных его спутников. Знание массы П. и её размеров позволяет вычислить среднюю плотность, значение ускорения силы тяжести на поверхности и скорость убегания, т. е. ту критическую скорость (космическую скорость), развив к-рую, тело покидает П. навсегда (скорость убегания рассчитывается для поверхности П.).

Атмосферы планет. Наличие газовой оболочки вокруг П. может быть легко замечено при наблюдениях с Земли - по потемнению диска П. к краям, по постепенному (а не мгновенному) угасанию звезды в случае, когда П. проходит перед звездой (покрытие звезды П.), по наличию облачных образований. Фотометрич. измерения П. позволяют вывести значение отражательной способности либо П. в целом, либо её частей, что выражают через величину альбедо. Многие П. имеют большое альбедо, что указывает на присутствие мощной атмосферы. Величина альбедо и характер изменения блеска П. с изменением её фазы позволяют с помощью теории рассеяния света определить количественные характеристики атмосферы П., в первую очередь её оптическую толщину и протяжённость. В этом направлении в 20 в. ценные результаты получили сов. астрономы Н. П. Барабашов, В. Г. Фесенков, В. В. Шаронов. При интерпретации таких наблюдений пользуются измерениями поляризации света П. Наличие в атмосфере твёрдых и жидких частиц (аэрозолей) сильно увеличивает рассеяние и приводит к завышенным сведениям о газовой составляющей атмосферы П. (так, напр., до сер. 60-х гг. 20 в. мощность атмосферы Марса преувеличивалась в 10-20 раз). Измерение отражательной способности, цвета и поляризации света отдельными деталями поверхности П. не дают, к сожалению, однозначного ответа на вопрос о природе этих деталей.

О мощности атмосферы П. судят по упругости газов у её основания, т. е. по величине, к-рую показал бы барометр-анероид на поверхности П.: выражают её в миллибарах (мбар). Эта величина не совпадает с действительным атм. давлением на поверхности П., зависящим (пропорционально) от ускорения силы тяжести на П., зато позволяет непосредственно сравнивать атмосферу П. с атмосферой Земли, а также вычислить общую массу газовой оболочки П. Мощность атмосферы (или к.-л. газа в ней) может характеризоваться спец. величиной (в м-атм, или см-атм), эквивалентной высоте (в м или см), на к-рую она простиралась бы, если бы имела повсюду плотность, соответствующую давлению в 1 атм ~ ~ 1013 мбар, и темп-ру 0 oС. На Земле эта величина составляет ок. 8000 м-атм, на Меркурии 1-3 см-атм, на Марсе давление атмосферы у поверхности 5- 8 мбар (по анероиду), на Венере - ок. 100 атм. Очень мощные атмосферы имеют П.-гиганты.

Хим. состав атмосфер П. определяется из спектральных наблюдений по интенсивности молекулярных полос поглощения, возникающих в спектре солнечного излучения, после того как оно дважды прошло через атмосферу П.- до и после отражения от её поверхности. Сложность применения этого метода связана с тем, что на спектрограмме, полученной на земной поверхности, эти полосы трудно отделимы от полос, обусловленных прохождением света через земную атмосферу. Частично эти затруднения устраняются при наблюдениях с баллонов (см. Баллонная астрономия). Этим методом сравнительно легко обнаруживаются газы атмосфер П., отсутствующие или имеющиеся в небольшом кол-ве в атмосфере Земли; таковы: углекислый газ (СO2), метан (СН4), аммиак (NH3), водород (Н2). Труднее обнаружить водяные пары (Н2О) и кислород (О2). Почти невозможно обнаружить у П. таким способом гелий (Не), азот (N2), аргон (Аr) и нек-рые др. газы, дающие полосы поглощения в далёкой ультрафиолетовой части спектра. К началу космич. эры уже было установлено, что у Венеры и Марса главной составляющей атмосферы является СО2, а у внешних П.- молекулярный водород Н2 (ок. 85 км-атм над облачным слоем Юпитера), СН4 и NH3. Предполагается по аналогии с составом атмосферы Солнца наличие большого количества гелия.

Космич. эра принесла новую методику исследования атмосфер П. Измеряя ослабление радиосигналов космич. зондов, заходящих за П., вследствие поглощения в атмосфере, можно вывести "шкалу высот" атмосферы и определить т. о. отношение её темп-ры Т к среднему молекулярному весу n. Однако этот метод применим только к разрежённым атмосферам или к верхним слоям более мощных атмосфер. Несравненно эффективнее непосредственный контакт спускаемых аппаратов космич. зондов с атмосферой П. Такой эксперимент был осуществлён в 60-х гг. 20 в. при спуске на Венеру зондов серии "Венера" (СССР). Измерения интенсивности той или иной молекулярной полосы в спектре деталей П., над к-рыми пролетает искусств. спутник П., даёт возможность определить также и расстояние до поверхности П. в этом месте, т. е. рельеф П. под траекторией спутника. Ценные результаты такого рода были получены с помощью искусственных спутников Марса "Марс-3", "Марс-5" (СССР) и "Маринер-9" (США). Вследствие вращения П. под орбитой спутника проходят разные части её поверхности, благодаря чему рельеф Марса был определён на значит. части его поверхности с точностью до нескольких сот м.

Температура планет. Прямые измерения интегрального теплового потока или излучения П. в отдельных областях её инфракрасного спектра, осуществляемые, напр., с помощью болометров, позволяют определить общую темп-ру П. или темп-ру отдельных её частей. Та же задача может быть решена путём измерения тепловых потоков П. радиометодами в сантиметровом, дециметровом и метровом диапазонах. Из подобных измерений выводятся минимальные темп-ры, основанные на предположении, что П. излучает как абсолютно чёрное тело. Есть основание полагать, что истинные темп-ры лишь немного выше полученных этим методом. Кроме того, радиоизмерения позволяют определять темп-ру на разных уровнях атмосферы П. и даже на разных глубинах под её поверхностью (в пределах метров), т. к. излучение разных частот испытывает разное поглощение в атмосфере и в твёрдой коре П. Именно методом радиоизмерений была измерена истинная темп-pa поверхности Венеры - ок. + 500 °С; болометрические же измерения давали темп-ру только верхней её атмосферы, на уровне облаков (ок. -40 °С). Сравнение теоретич. равновесной темп-ры (т. е. той, к-рую должна была бы иметь П., если бы её единственным источником тепла было солнечное облучение) с измеренной темп-рой даёт возможность судить о том, что П. обладает собственными источниками тепла, к-рое просачивается наружу. Этот процесс очень существенно зависит от теплопроводности коры и атмосферы П. Атмосфера может обусловливать сильный парниковый эффект, сущность к-рого заключается в том, что она пропускает приходящее от Солнца оптич. излучение, но в значит. мере задерживает уходящее наружу длинноволновое (тепловое) излучение самой П. Поэтому П., лишенная атмосферы, холоднее и отличается большей суточной амплитудой темп-ры, чем П. с атмосферой. Именно поэтому у Венеры под мощной атмосферой темп-ра на 550 °С выше, чем на уровне облаков, а дневная темп-pa практически неотличима от ночной. У Юпитера также при равновесной темп-ре 110 К измерения в инфракрасном диапазоне показали темп-ру 123 К, а на миллиметровых и сантиметровых волнах даже 150 К. Она ещё выше в дециметровом диапазоне, но это является следствием нетеплового излучения П., к к-рому понятие темп-ры неприменимо. У др. П.-гигантов превышение измеренных темп-р над равновесными ещё больше, но измерения менее точны. Для определения темп-ры отдельных деталей поверхности П. пригодны только тепловые измерения с крупными телескопами в инфракрасной области спектра. Так было установлено, напр., что в экваториальной области Марса летом дневные темп-ры могут быть заметно выше 0 °С, ночные же - ок. -60 °С; что тёмные "моря" теплее светлой "суши" и т. д.

Совокупное исследование темп-ры и хим. состава атмосферы П. (наличие кислорода и воды) позволяет сделать заключение о возможности существования жизни на П. Так, из того, что известно о Марсе, можно заключить, что на этой П. может существовать жизнь в простейших её формах. Возможность жизни даже в таких формах на др. П. Солнечной системы сомнительна.

Внутреннее строение планет. Наблюдения изменений орбиты спутника П., в частности поворота плоскости орбиты, вращения орбиты в этой плоскости позволяют матем. путём определить форму П., её сжатие. Скорость этого вращения тем больше, чем больше величина I разности между сжатием е и половиной отношения х центробежной силы на экваторе П. к силе тяжести. Величина I может быть определена по результатам длительных наблюдений спутника, а x вычислена по известным размерам и массе П. и скорости её вращения; после этого величина сжатия (динамического) определяется из ур-ния е = Т + x/2. Между тем из теории следует, что е зависит от распределения масс внутри П., а именно е меняется от значения x/2 для П., у к-рой вся масса сосредоточена в её центре, до 5х/4 для П., однородных от центра до периферии. Зная ср. плотность П., оценивая возможные значения давления внутри П. и принимая в расчёт её хим. состав, приведённые выше закономерности позволяют составить обоснованные суждения о природе вещества в глубоких недрах П. и его агрегатном состоянии. Дополнит. сведения о распределении масс внутри П. может дать определение скорости прецессии, её оси вращения, но для этого нужны длительные (неск. столетий) наблюдения за её вращением.

Как видно из табл. 1, у П. земной группы ср. плотность значительно превышает ср. плотность П.-гигантов, близкую к ср. плотности Солнца (1,4 г/см3). П.-гиганты, кроме того, имеют несравненно большие массы, вследствие чего в их недрах давление значительно выше. Т. о., с большой вероятностью можно предполагать, что у Меркурия, обладающего большой по сравнению с др. П. плотностью, есть плотное железное ядро, в к-ром содержится ок. 60% массы П.; Венера, по массе и плотности сходная с Землёй, имеет в своём центре ядро, более богатое железом, чем Земля, а плотность силикатов в её оболочке неск. выше, чем в оболочке Земли; Земля же имеет сложную структурную оболочку (мантию), простирающуюся до глубины 2900 км, а ниже находится ядро, по-видимому металлическое (железное), на границе с мантией - жидкое, а у центра - твёрдое; у Марса, имеющего сранительно малую плотность, если и есть железное ядро, то оно невелико (не больше 30% радиуса, а точнее 15-20% ), а плотность силикатных пород его оболочки несколько выше, чем у Земли.

Совсем иная картина у П.-гигантов. Очень низкая ср. плотность и специфический хим. состав их атмосфер свидетельствуют о том, что они состоят из вещества, подобного солнечному, т. е. гл. обр. из водорода и гелия. значит. тепловой поток, исходящий из Юпитера, указывает на высокую темп-ру в его недрах - м. б. до 20 тыс. градусов. Такой поток тепла свидетельствует о существовании в недрах Юпитера и Сатурна конвективного перемешивания тепла. В недрах господствует колоссальное давление, намного превышающее 2,5 млн. бар, при к-ром молекулярный водород испытывает переход к металлич. фазе и вполне подобен щелочным металлам. Находится ли он в жидком или газообразном состоянии - трудно сказать, т. к. темп-pa известна недостаточно точно. Нужно думать, однако, что металлич. ядро Юпитера жидкое, в противном случае трудно было бы объяснить существование у Юпитера мощного магнитного поля, значительно более мощного, чем у Земли. Сходную с Юпитером структуру имеет Сатурн. Более плотные Уран и Нептун содержат, по-видимому, значительно больше гелия. У этих П. темп-ра ниже, так что около их центра возможно имеются ядра, состоящие из смеси льда и соединений, содержащих водород, кислород, углерод, азот, серу и др. О строении Плутона ничего неизвестно.

Для полноты характеристики П. Солнечной системы необходимо ещё добавить, что у П. земной группы мало спутников (у Земли - 1, Марса - 2), тогда как у П.-гигантов их много: у Юпитера - 12, Сатурна - 10, Урана - 5 и только у Нептуна - 2. Плутон спутников, по-видимому, не имеет.

Эволюция планет и их происхождение. На протяжении миллиардов лет существования П. Солнечной системы испытали сильные изменения. П. малой массы (напр., Меркурий и отчасти Марс) не могли удержать лёгкие газы, у к-рых скорость теплового движения молекул может превзойти или приблизиться к скорости убегания. Это относится прежде всего к водороду и гелию. Наоборот, азот, кислород, углекислый газ и, в меньшей мере, водяной пар сравнительно прочно удерживаются большинством П. Выделяющиеся при медленной эволюции недр абсорбированные там газы пополняют атмосферу, но у меньших П. процесс улетучивания преобладает. Происходящее в верхних слоях атмосферы расщепление сложных молекул газа (той же воды) солнечным коротковолновым излучением также облегчает убегание более лёгких их составных частей. Известную роль в изменении состава атмосферы могут играть живые организмы. Так, предполагается, что на Земле первоначально атмосфера была богата Н2О, СO2, СН4, а также более тяжёлыми углеводородами, но в результате жизнедеятельности простейших микроорганизмов и растительности при энергетич. воздействии Солнца углекислый газ был расщеплён на углерод и кислород. Последний интенсивно расходовался на окисление горных пород, но всё же значит. часть его сохранилась.

Т. о., П. земной группы, имеющие малую массу, растеряли свои летучие газы Н2, Не, СН4, а Меркурий и отчасти Марс - и более тяжёлые (O2 и СO2), за исключением Н2, связанного с О в водяном паре и существующего преимущественно в жидкой или твёрдой фазе у большинства П. Наоборот, у П.-гигантов сохранились все газы, вследствие чего хим. состав их атмосфер (и недр) тот же, что и у Солнца.

Из сказанного можно сделать заключение о схожести состава вещества Солнца и П. и общности их происхождения. Метеорные тела и кометы также имеют хим. состав, в основном близкий к составу Солнца. Однако поиски механизма образования П. вокруг Солнца в этом предположении (общности вещества) натолкнулись на трудность, состоящую в том, что на долю П., суммарная масса к-рых составляет 1/700 часть массы всей Солнечной системы, приходится 98% вращательного момента, в то время как на долю Солнца только 2%. Попытка в нек-рых космогонич. гипотезах (см. Космогония) объяснить столь большой момент тем, что он был отнят у проходившей мимо звезды, оказалась несостоятельной, т. к. осталось необъяснимым, почему удельный (на единицу массы) вращательный момент сильно растёт при переходе ко всё более удалённым от Солнца П. В сер. 20 в. в значит. мере под влиянием работ О. Ю. Шмидта и его учеников общее мнение стало склоняться к тому, что, каков бы ни был механизм процесса, планетная система образовалась в результате дифференциации вещества в колоссальном вращающемся газо-пылевом облаке: это облако первоначально было холодным, т. к. в противном случае горячий газ быстро рассеялся бы, не успев присоединиться к пылевой субстанции при её конденсации в П. Во время этого процесса выделялось нек-рое количество тепла за счёт уменьшения потенциальной энергии. П. разогревалась, и это продолжалось дальше также за счёт радиоактивного распада внутри П. Вещество её постепенно переходило в пластическое и даже жидкое состояние, при к-ром стала возможной дифференциация вещества: наиболее тяжёлые фракции (напр., железо, никель) опускались к центру, а лёгкие всплывали, образуя оболочку П. и её кору. Газ, находившийся в первоначальном облаке вблизи образовавшегося Солнца, нагрелся и рассеялся; в облаках, отдалённых от Солнца, этого не произошло.

Околосолнечная планетная система безусловно не единственная в Галактике, а тем более во Вселенной. Но прямых доказательств существования других таких систем пока нет. Только ничтожные периодические движения, замеченные у нек-рых ближайших к нам звёзд, дают слабое косвенное указание на это.

Лит.: Шаронов В. В.. Природа планет, М., 1958; Мороз В. И., Физика планет, М., 1967; Брандт Дж., Ходж П., Астрофизика солнечной системы, пер. с англ., М., 1967; Мартынов Д. Я., Планеты. Решенные и нерешенные проблемы, М., 1970; Физические характеристики планет-гигантов, А.-А., 1971; Рессель Г. Н., Солнечная система и её происхождение, пер. с англ., М.- Л., 1944; Левин Б. Ю., Происхождение Земли и планет, 4 изд., М., 1964; Сафронов В. С., Эволюция допланетного облака и образование Земли и планет, М., 1969; Жарков В. Н., Внутреннее строение Земли, Луны в планет, М., 1973. Д. Я. Мартынов.

ПЛАНЕТЫ-ГИГАНТЫ, планеты Солнечной системы: Юпитер, Сатурн, Уран, Нептун; расположены за пределами кольца малых планет. Сравнительно с планетами земной группы (внутренними) они обладают большими размерами, массами, более низкой ср. плотностью, мощными атмосферами, быстрым вращением и большим количеством спутников. Все эти характеристики убывают от Юпитера к Нептуну. У самой удалённой планеты - Плутона - они отсутствуют и потому Плутон не причисляют к П.-г. См. также Планеты.

ПЛАНИМЕТР (от лат. planum - ровное место, плоскость и ...метр), математический прибор для определения площадей плоских фигур произвольной формы. Наибольшее распространение получил полярный П., созданный Я. Амслером (Германия) в 1854. Принцип действия такого П. поясняется на рис. 1:
1945-13.jpg

при движении прямолинейного ориентированного отрезка АВ в плоскости площадь "обметённой" им фигуры равна произведению длины отрезка АВ на длину дуги, которую описывает средняя точка отрезка. Значение o равно длине дуги поворота т. н. интегрирующего ролика, если его насадить на отрезок, как на ось, в средней его точке. Полярный П. (рис. 2) имеет полярный и обводной рычаги, к-рые связаны шарнирно в точке В. Полярный рычаг может поворачиваться вокруг закреплённого шарнира О полюса. Интегрирующий ролик вместе со счётным механизмом помещается на специальной тележке, к-рую можно смещать вдоль обводного рычага (меняя тем самым его длину).

В каждом П. функции "обметающего" отрезка выполняет обводной рычаг, на одном конце к-рого укреплён штифт для обвода контура фигуры, а другой движется по т. н. направляющей. В линейном П.- это прямая, в полярном П.- окружность, в радиальном П. - точка. Линейные и полярные П. используются для вычисления площадей, ограниченных кривыми, заданными графически, и для вычисления интегралов вида
1945-15.jpg
1945-14.jpg

Рис. 2. Полярный планиметр: О-полюс; ОВ - полярный рычаг; А - обводной штифт; АВ - обводной рычаг; Т - тележка; p - интегрирующий ролик; М - счётный механизм.

радиальные П. позволяют находить интегралы вида
1945-16.jpg

если кривая r = f(ф) вычерчена в полярных координатах.

ПЛАНИМЕТРИЯ (от лат. planum - плоскость и ...метрия), часть элементарной геометрии, в к-рой изучаются свойства фигур, лежащих в плоскости. Обычно под П. понимают часть курса геометрии в средней школе. Содержание П. и способ её изложения были установлены древнегреч. учёным Евклидом (3 в. до н. э.). См. "Начала" Евклида.

ПЛАНИРОВАНИЕ ДЕНЕЖНОГО ОБРАЩЕНИЯ, регулирование количества денег в обращении в соответствии с потребностями социалистич. расширенного воспроизводства (см. также Кассовое планирование и Кассовый план).

П. д. о. оказывает активное воздействие на планомерное формирование всего воспроизводств. процесса. "...Оборот денежный... прекрасно проверяет удовлетворительность оборота страны...",- подчёркивал В. И. Ленин, анализируя специфически синтетич. характер показателей и пропорций ден. обращения, их внутреннюю связь с осн. факторами произ-ва (Полн. собр. соч., 5 изд., т. 43, с. 66). П. д. о.- одно из важных преимуществ социалистич. системы х-ва перед капиталистической. В условиях последней анархия произ-ва, постоянные колебания рыночной конъюнктуры исключают возможность П. д. о. в масштабе нар. х-ва и отд. р-нов страны. П. д. о. обеспечивает необходимое соответствие между ден. и товарной массами в обращении. Наличноденежное обращение при социализме в основном ограничено сферой денежных доходов населения и их реализацией. Она охватывает оборот, возникающий в связи с получением населением денежных доходов от социалистич. предприятий (заработная плата, оплата труда колхозников) и гос-ва (пенсии, стипендии и др. выплаты), и оборот, связанный с покупкой населением товаров, оплатой услуг, взносами в финанс. систему и т. д.

Для П. д. о. важное значение имеет плановая увязка ден. доходов и расходов населения и прежде всего платёжеспособного спроса с товарными ресурсами, выделяемыми для продажи населению. Поэтому П. д. о. во многом зависит от планирования произ-ва и распределения совокупного общественного продукта и национального дохода (а внутри последнего - фонда потребления).

Увязка материальных и стоимостных элементов фонда потребления достигается с помощью планового баланса произ-ва, распределения, перераспределения и использования нац. дохода, а также разработкой финанс. баланса нар. х-ва (единого финанс. плана гос-ва), гос. бюджета, баланса ден. доходов и расходов населения, кредитного и кассового планов Госбанка СССР.

Плановый баланс произ-ва, распределения и использования нац. дохода охватывает движение вновь созданной стоимости на всех стадиях её кругооборота. Финансовый баланс народного хозяйства, государственный бюджет, баланс денежных доходов и расходов населения, кассовый и кредитный планы Госбанка СССР, выполняя свои специфич. функции, выступают как орудия организации и планирования совокупного (наличного и безналичного) ден. оборота.

Для планирования оборота наличных денег гос-во использует баланс денежных доходов и расходов населения. Разработка баланса позволяет активно воздействовать на установление соответствия объёмов произ-ва и предложения потребительских товаров и платных услуг размерам и терр. размещению покупательных фондов населения, что создаёт условия для нормальной циркуляции наличных денег. Для обеспечения сбалансированности доходов и расходов населения и устойчивости денег важное значение имеет осуществление мероприятий по всемерному развитию произ-ва товаров нар. потребления, улучшению их качества и расширению ассортимента, всё более полному удовлетворению нужд населения в культурном и бытовом обслуживании.

Госбанк СССР планирует налично-ден. обращение в стране в разрезе отд. его потоков: поступление денег в кассы банка по осн. источникам и выдачу их по целевому назначению. Оперативное кассовое планирование помогает вовлекать в оборот резервы дополнит. произ-ва товаров нар. потребления, расширять предложение товаров и платных услуг населению в целях более полной сбалансированности спроса и предложения в условиях быстрого роста и изменения структуры личных потребностей населения.

Лит.: Батырев В. М., Денежное обращение в СССР. (Вопросы теории, организации и планирования), М., 1959; Марголин Н. С., Планирование финансов, М., 1960; Славный И. Д., Очерки планирования денежного обращения, М., 1961; Атлас 3. В., Социалистическая денежная система, М., 1969; Денежное обращение и кредит СССР, коллектив авторов под руководством В. С. Геращенко, М., 1970, гл. 6, 7. Ю. И. Кашин.

ПЛАНИРОВАНИЕ НАРОДНОГО ХОЗЯЙСТВА в СССР, осн. метод осуществления экономич. политики Коммунистич. партии, направленной на всесторонний подъём производит. сил общества и всё более полное удовлетворение материальных и духовных потребностей народа. С помощью планирования гос-во управляет сложным процессом обществ. труда, организует и регулирует произ-во, распределение и обмен материальных благ. Методология планирования опирается на марксистско-ленинскую теорию расширенного социалистич. воспроизводства, на сознательное использование объективных экономич. законов социализма.

Планомерность и пропорциональность развития социалистич. экономики - объективная закономерность, к-рая определяется самой природой обществ. произ-ва (см. Планомерного, пропорционального развития народного хозяйства закон). Уже в условиях частной собственности на средства произ-ва, по мере обобществления труда, всё более настойчиво проявляется необходимость контроля со стороны общества и сознательного планомерного регулирования произ-ва. Развивая учение основоположников марксизма, В. И. Ленин показал, как на стадии империализма т. н. организованный монополистич. капитал, стремясь преодолеть стихийность обществ. произ-ва и "свободную конкуренцию", вводит государственно-монополистич. регулирование, которое иногда охватывает не только крупные отрасли экономики отдельных стран, но и отрасли мирового капиталистич. х-ва. Однако при капитализме в силу стихийности развития и анархии, порождаемых частной собственностью на средства произ-ва, планомерность не может стать законом развития всего обществ. произ-ва, как бы широко ни захватывало обобществление труда отдельные отрасли и сферы экономики.

Лишь завоевание политич. власти пролетариатом и установление социалистич. собственности на средства произ-ва впервые в истории создали в СССР практич. возможность и необходимость планомерной организации всего обществ. произ-ва, обеспечения в экономике необходимых пропорций. В этом состоит важнейшая предпосылка планомерного развития производит. сил. Преимущества социалистич. собственности могут реализоваться только путём планомерной организации произ-ва в масштабе всего общества исходя из его целей и реальных возможностей. Согласно формулировке, принятой в первой Программе РСДРП (1903), социализм означает "...планомерную организацию общественно-производительного процесса для обеспечения благосостояния и всестороннего развития всех членов общества..." (Ленин В. И., Полн. собр. соч., 5 изд., т. 32, с. 149).

Планомерное развитие общественного произ-ва осуществляется на основе единого хоз. плана. Подчёркивая созидательное значение такого плана, В. И. Ленин отмечал, что "...только то строительство может заслужить название социалистического, которое будет производиться по крупному общему плану, стремясь равномерно использовать экономические и хозяйственные ценности" (там же, т. 37, с. 21-22).

П. н. х. на базе единого плана позволяет гармонично развивать все отрасли произ-ва и сферы обслуживания, науку и культуру, использовать финанс., материальные и трудовые ресурсы в соответствии с важнейшими социально-экономич. задачами того или иного периода, устанавливать необходимые для этого межотраслевые и внутриотраслевые пропорции, рационально размещать производительные силы, обеспечивать высокую экономическую эффективность общественного производства. Благодаря научно обоснованному планированию создаётся объективная возможность своевременно выявлять объём и структуру общественных потребностей, правильно оценивать имеющиеся и предвидимые ресурсы для всё более полного удовлетворения этих потребностей .

Марксистско-ленинские партии социалистич. стран вели и ведут решительную борьбу против праворевизионистских концепций, отрицающих роль П. н. х. при социализме, ратующих за "рыночную экономику", за стихийное развитие х-ва. Социалистич. планирование несовместимо также с волюнтаризмом и бюрократич. централизмом.

Плановое руководство нар. х-вом предполагает активное использование таких экономич. рычагов для воздействия на рост обществ. произ-ва, как хозрасчёт, цена, прибыль, кредит, формы материального поощрения, к-рые призваны создать экономич. условия для успешной деятельности производств. коллективов, обеспечивать обоснованную оценку результатов их работы, побуждать предприятия принимать напряжённые планы, более рационально использовать материальные и трудовые ресурсы, повышать производительность труда, улучшать качество продукции.

Организованность и дисциплина различных хоз. звеньев, работников, необходимые для реализации намечаемых планов,- условия неуклонного прогресса социалистич. общества. Эго не только не создаёт "нового отчуждения" личности, как утверждают враги социализма, но и служит необходимой предпосылкой всестороннего развития всех членов общества. Планы развития предприятий разрабатываются производств. коллективами, планы развития отраслей, всего нар. х-ва обсуждаются всенародно, что является важным средством участия трудящихся в управлении экономикой, в повышении производств. и общественно-политич. активности граждан.

Основы П. н. х. начали закладываться с первых дней после победы Великой окт. социалистич. революции. В дек. 1917 был образован Высший совет народного хозяйства (ВСНХ), к-рый стал первым планирующим и координирующим органом Сов. гос-ва. Одновременно формировались Советь: нар. х-ва на местах. В февр. 1920 создана Гос. комиссия по электрификации России - ГОЭЛРО. В дек. 1920 8-й Всероссийский съезд Советов обсудил и одобрил план ГОЭЛРО- первый в мире науч. перспективный комплексный план создания фундамента социалистич. экономики. Рассчитанный на 10-15 лет, он содержал широкую программу перевода всей экономики на новую хоз. базу, намечал коренное изменение структуры народного хозяйства, ликвидацию диспропорций и установление новых пропорций - отраслевых и региональных, отвечающих требованиям и целям социалистического общественного производства.

В февр. 1921 Сов. пр-во по докладу В. И. Ленина приняло решение о создании Гос. общеплановой комиссии (Госплана), к-рой было поручено рассмотрение и согласование с общегосударственным планом производств. программ и плановых предложений хоз. орг-ций, установление очерёдности работ. Через месяц после образования Госплана была сформирована сеть плановых органов во всех отраслях экономики (см. Государственный плановый комитет).

14-Й съезд Коммунистич. партии (1925) обосновал курс на высокие темпы социалистич. индустриализации страны. Решение задач, связанных с реконструкцией нар. х-ва на базе совр. техники и с коллективизацией с. х-ва, выдвинуло на первое место форму пятилетнего перспективного плана с разбивкой его на текущие (годовые) планы (см. Пятилетние планы развития народного хозяйства). Довоенные пятилетние планы сыграли важную историческую роль в экономич. развитии сов. общества. Для этого периода характерны высокие темпы роста обществ. произ-ва при глубоких качеств. изменениях в структуре и уровне производит. сил, окончательный переход от многоукладной экономики к социалистич. нар. х-ву.

В годы Великой Отечественной войны 1941-45 потребовалась крутая ломка пропорций нар. х-ва, чтобы обеспечить рост продукции, быстрое осуществление терр. сдвигов в размещении пром-сти. Осн. видом планов в этот период стали наиболее оперативные квартальные, а также месячные и декадные нар.-хоз. планы. Задания по важнейшим видам воен. продукции устанавливал Гос. Комитет Обороны (ГКО) непосредственно заводам.

После войны на основе пятилетнего перспективного планирования решались задачи восстановления нар. х-ва и перехода страны на более высокую ступень экономич. и социального развития. На протяжении четырёх послевоен. пятилеток (1946-65) осуществлялась широкая программа технич. совершенствования произ-ва, ускорения роста производительности труда, повышения нар. благосостояния. Неуклонно возрастал не только объём продукции тяжёлой индустрии, но и пром-сти, производящей предметы потребления. Первоочередное развитие получали отрасли, определяющие совершенствование структуры экономики, технич. прогресс и эффективность произ-ва: электроэнергетика, химия, машиностроение. В период развитого социалистич. общества Коммунистич. партия стала уделять ещё большее внимание коренным вопросам совершенствования экономич. отношений в обществе, улучшения системы управления нар. х-вом, планирования и стимулирования произ-ва. Были определены принципы экономической политики партии в области промышленности и сельского хозяйства, отвечающие требованиям современного этапа развития страны.

В решениях 24-го съезда КПСС (1971) дана целостная концепция качественной перестройки планового руководства хозяйством, отвечающая требованиям современного уровня высокоразвитой сов. экономики, ускорения научно-технич. прогресса. Эта концепция предусматривает: более глубокую разработку социально-экономич. проблем сов. общества; всестороннее изучение обществ. потребностей; обеспечение постоянного роста эффективности обществ. произ-ва на базе всемерного усиления интенсивных факторов развития экономики; расширение горизонтов перспективного планирования и повышение роли науч. прогнозирования; сбалансированное развитие х-ва на основе прогрессивных нормативов использования ресурсов; усиление комплексного, межотраслевого характера планирования; повышение ответственности кадров за выполнение гос. планов и заданий, укрепление плановой дисциплины во всех звеньях народнохозяйственного механизма.

Централизованное планирование призвано обеспечивать ведущую роль нар.- хоз. подхода к решению экономич. вопросов, чёткое определение очерёдности задач хоз. развития, поэтапного развёртывания целевых программ, места каждой отрасли в реализации этих задач. Комплексный характер крупных нар.-хоз. проблем предполагает усиление в планировании программно-целевого подхода к подготовке, обоснованию и принятию нар.-хоз. решений.

Основополагающий принцип построения и функционирования системы планирования в СССР - выдвинутый В. И. Лениным принцип демократического централизма, который предполагает органическое сочетание централизованного планового руководства с максимальным развитием творческой активности трудящихся в управлении произ-вом, с разнообразными проявлениями инициативы местных органов в хоз. и культурном строительстве, с экономич. заинтересованностью самих производителей в реализации плана.

Формы и методы организации гос. планирования меняются по мере развития производит. сил, совершенствования социалистич. производств. отношений, изменения конкретных ист. задач и условий хоз. строительства. Практика социалистич. планирования выработала три формы нар.-хоз. планов (по длительности планового периода): долгосрочный, охватывающий 10-15 лет, среднесрочный, как правило, 5-летний, и текущий - годовой. Долгосрочные планы выражают генеральные направления экономич., технич. и социального развития общества, намечают очерёдность решения важнейших нар.- хоз. проблем. Они обеспечивают преемственность, последовательность и согласованность различных этапов хоз. политики. В среднесрочном пятилетнем плане предусматривается решение крупных комплексных задач экономич. и социального характера, вытекающих из долгосрочной плановой перспективы развития экономики и культуры. В текущем годовом плане уточняются задания пятилетнего плана, учитывается ход его выполнения, новые потребности общества, достижения науки и техники. Сочетание этих форм является важнейшим принципом П. н. х. в СССР. Непосредственно П. н. х. осуществляют: центральные органы (Госплан СССР, министерства и ведомства СССР), Госпланы союзных и автономных республик, местные плановые органы - плановые комиссии исполкомов краевых, областных, городских и районных Советов депутатов трудящихся - и плановый аппарат на предприятиях.

В П. н. х. органически сочетаются отраслевой и терр. аспекты гос. плана. Это позволяет наиболее эффективно использовать преимущества социалистич. разделения труда, природные и трудовые ресурсы. Каждая республика имеет возможность в плановом порядке специализироваться на развитии тех производств и отраслей, к-рые, используя наиболее благоприятные природные и экономич. условия, обеспечивают рост эффективности производства. Вместе с тем специализация республик всё больше дополняется комплексным развитием их экономики.

План развития нар. х-ва разрабатывается исходя из ленинского принципа, согласно к-рому "все планы отдельных отраслей производства должны быть строго координированы, связаны и вместе составлять тот единый хозяйственный план, в котором мы так нуждаемся" (Полн. собр. соч., 5 изд., т. 42, с. 154).

Первичное звено всей системы нар.-хоз. планирования - план производств. предприятия (объединения). Его разработка "снизу", т. е. на предприятии, ведётся на базе той информации и указаний, к-рые поступают от вышестоящих органов (главков, мин-в, ведомств) и с учётом предложений самого предприятия (см. Техпромфинплан предприятия). Планы центр. хоз. органов (мин-в, ведомств) исходят из общегосударств. задач и представляют собой комплексные планы развития данной отрасли. В комплексных планах союзных республик предусматривается развитие нар. х-ва всех отраслей республики, в т. ч. пром-сти союзно-респ. и респ. подчинения, включаются также планы производства продукции на предприятиях общесоюзных министерств, составляемые с учётом предложений республик.

В нар.-хоз. плане содержится целостная система показателей, к-рая отражает политич. и экономич. задачи плана, осн. направления развития х-ва и его составных частей, взаимозависимость процессов произ-ва, распределения и потребления продукции. Показатели используются для установления необходимых темпов роста экономики и культуры, повышения эффективности обществ. произ-ва, сбалансированного, пропорционального развития нар. х-ва. Система показателей нар.- хоз. плана - единая и обязательная для всех органов и звеньев х-ва. Эти показатели разрабатываются в отраслевом и терр. разрезах (см. Плановые показатели).

Планы развития нар. х-ва носят адресный, директивный характер. Они утверждаются на сессии Верховного Совета СССР и после этого становятся законом, обязательным к исполнению не только предприятиями, но и вышестоящими органами. Утверждённые для предприятия плановые задания могут быть изменены лишь в исключит. случаях Сов. Мин. СССР. В случае пересмотра плановых заданий одновременно должны корректироваться все взаимосвязанные показатели плана, а также расчёты предприятия с бюджетом.

Нар.-хоз. план - мощный рычаг ускорения технич. прогресса произ-ва, органич. соединения достижений научно-технич. революции с преимуществами социалистической системы хозяйства. Подготовка плана ведётся на основе заранее разработанной комплексной программы развития техники и технологии (см. Планирование научно-технического прогресса).

Одним из важнейших методов обоснования и разработки нар.-хоз. планов является балансовый метод в планировании, опирающийся на марксистско-ленинскую теорию воспроизводства, используемый в практике составления пятилетних и годовых планов развития экономики страны в целом, союзных республик, экономич. р-нов и отраслей. С помощью системы балансов в нар.-хоз. плане определяется наличие материальных, трудовых и финанс. ресурсов, намечаются темпы их увеличения, устанавливаются необходимые экономич. пропорции: общеэкономические, межотраслевые и внутриотраслевые. Общеэкономич. пропорции отражают наиболее общие соотношения в произ-ве и использовании обществ. продукта и нац. дохода; межотраслевые - конкретизируют общеэкономические, показывают отраслевую структуру экономики; внутриотраслевые ещё более детально раскрывают содержание экономич. связей и технико-экономич. аспект воспроизводства. В социалистич. обществе соблюдение пропорций выступает как элемент планомерного, сбалансированного развития (см. Баланс народного хозяйства СССР, Баланс межотраслевой, Пропорции общественного производства). При этом важна не только общая количественная увязка осн. факторов произ-ва, но и максимальное соответствие структуры произ-ва обществ. спросу (см. Структура общественного производства).

Науч. обоснование планов развития нар. х-ва должно способствовать нахождению оптимальных вариантов решения экономич. проблем (см. Планирование оптимальное). Это даёт возможность обеспечить повышение эффективности обществ. произ-ва, осн. критерием к-рой является достижение в интересах общества наибольших результатов при данных ресурсах.

Социалистич. планирование, в первую очередь долгосрочное, опирается на науч. прогнозы обществ. потребностей и экономич. ресурсов, а также на прогнозы развития фундаментальных и прикладных наук, технич. воплощения их достижений и вытекающих из этого конкретных экономич. оценок (см. Прогноз экономический). Основу прогнозирования составляют прогнозы природных ресурсов, научно-технич. прогресса, демографич. и социальных сдвигов. Они предопределяют осн. элементы собственно экономич. прогноза: воспроизводство рабочей силы и производств. фондов, уровень жизни населения, темпы экономич. роста, структурные изменения и межотраслевые связи в нар. х-ве, размещение производит. сил и т. п.

Наука обогатила теоретич. арсенал планирования, разработаны эффективные методы экономико-матем. моделирования (см. Экономико-математические модели), системного анализа и др. Совр. методика планирования предусматривает повышение роли общеэкономич. расчётов на предварительной стадии разработки перспективного плана. Прежде чем приступить к детальным отраслевым проектировкам, составляется предварительная укрупнённая модель плана, охватывающая осн. факторы и показатели темпов и пропорций расширенного социалистич. воспроизводства. Это помогает определить гл. параметры будущего плана с учётом достигнутого уровня развития производит. сил и сформулировать хоз.-политич. задачи предстоящего периода. Экономико-матем. модель представляет собой схематич. отражение реальных взаимосвязей в экономике, позволяющее учитывать широкий круг показателей и их взаимное влияние. Методы моделирования применяются преим. для разработки пятилетних планов.

В СССР проводится большая работа по развитию совр. технич. базы планирования, в первую очередь путём широкого применения ЭВМ. Использование ЭВМ намного ускоряет получение и обработку больших объёмов информации, подготовку мн. вариантов плана и нахождение оптимальных решений. Крупные вычислит. центры созданы в Госплане СССР и ряде др. центральных экономич. ведомств, в плановых и хоз. органах союзных республик, на мн. предприятиях и в науч. учреждениях. Ведётся работа по созданию общегосударств. автоматизированной системы сбора и обработки информации для учёта, планирования и управления нар. х-вом на базе государственной системы вычислительных центров и единой автоматизированной сети связи страны.

Плановая социалистич. система х-ва завоевала огромный авторитет и признание во всём мире. С возникновением мировой социалистич. системы расширилась сфера действия закона планомерного, пропорционального развития нар. х-ва, он приобрёл междунар. характер. Др. социалистич. страны восприняли и используют опыт П. н. х. в СССР. Вместе с тем в практике планирования, осуществляемого плановыми органами отд. социалистич. стран, имеется ряд специфич. черт, связанных с особенностями экономич. и ист. характера развития каждой из них. К использованию опыта планового руководства экономикой на основе ленинского учения о планировании обратились мн. страны, освободившиеся от колониального гнёта и приступившие к созданию независимой национальной экономики. Сов. плановые и научные органы оказывают им помощь в разработке, осуществлении планов и подготовке кадров специалистов.

Опыт планомерного развития экономики СССР показывает возможность взаимовыгодного крупномасштабного экономич. сотрудничества со всеми странами, в т. ч. и с развитыми капиталистическими странами. Деятельность Коммунистической партии и социалистического государства открывает большой простор для новых перспектив на пути целесообразного международного разделения труда.

Лит.: Маркс К., Капитал, т. 2, Маркс К. и Энгельс Ф., Соч., 2 изд., т. 24; его же, Критика Готской программы, там же, т. 19; Ленин В. И., По поводу так называемого вопроса о рынках, Полн. собр. соч., 5 изд., т. 1; его же, Материалы по пересмотру партийной программы, там же, т. 32; его же, Набросок плана научно-технических работ, там же, т. 36; его же, Очередные задачи Советской власти, там же, т. 36; его же, Речь на съезде председателей губернских Советов 30 июля 1918 г., там же, т. 37; его же, Великий почин, там же, т. 39; его же, Доклад о работе ВЦИК и Совнаркома на первой сессии ВЦИК VII созыва 2 февраля 1920 г., там же, т. 40; его же, Об едином хозяйственном плане, там же, т. 42; его же, VIII Всероссийский съезд Советов 22 - 29 декабря 1920 г., т. 42; его же, Лучше меньше, да лучше, там же, т. 45; его же, О придании законодательных функций Госплану, там же, т. 45; Материалы XXIV съезда КПСС, М., 1971; Экономическое планирование в СССР, М., 1967; Планирование народного хозяйства СССР, под ред. Л. Я. Берри, 2 изд., М., 1973. А. Н. Ефимов.

ПЛАНИРОВАНИЕ НАУЧНО-ТЕХНИЧЕСКОГО ПРОГРЕССА в СССР, составная часть планирования народного хозяйства; важный фактор успешного развития науки и техники, повышения технич. уровня произ-ва и эффективности нар. х-ва, позволяющий гос-ву сосредоточивать усилия учёных и др. специалистов на решении наиболее актуальных проблем, концентрировать финанс. и материально-технич. ресурсы на гл. направлениях науки и техники. После 2-й мировой войны 1939-45 для развитых стран характерно внесение элементов планирования в развитие науки и техники. Эта тенденция предопределена возросшим значением науки и техники, научно-технической революцией. В социалистич. странах П. н.-т. п. вытекает из планового ведения хозяйства.

В СССР разработана и применяется система планирования науки и техники. С первых лет Сов. власти в планировании нар. х-ва важное место занимают проблемы научно-технич. прогресса, задачи к-рого В. И. Ленин сформулировал в "Наброске плана научно-технических работ" (1918). В дальнейшем развитие науки и техники предусматривалось в пятилетних планах развития народного хозяйства. ЦК КПСС и Сов. пр-во уделяют большое внимание совершенствованию П. н.-т. п. Система планирования науки и техники в современных условиях определена пост. ЦК КПСС и Сов. Мин. СССР от 24 сент. 1968 "О мерах по повышению эффективности работы научных организаций и ускорению использования в народном хозяйстве достижений науки и техники".

Вопросами П. н.-т. п. занимаются Верх. Совет СССР и постоянные комиссии его палат. Сов. Мин. СССР рассматривает и утверждает осн. направления и планы развития научно-технического прогресса, устанавливает порядок разработки планов н.-и. работ и внедрения результатов научных исследований в производство, финансирования затрат на развитие науки и техники, организации научно-технич. информации и подготовки науч. кадров в стране.

К органам межотраслевого функционального П. н.-т. п. относятся Гос. к-т Сов. Мин. СССР по науке и технике, Академия наук СССР. Важные функции межотраслевого П. н.-т. п. выполняют Госплан СССР, Госстрой СССР и Мин-во высшего и среднего специального образования СССР.

Первым этапом планирования науки и техники служат прогнозы развития важнейших научно-технич. направлений. Советскими учёными и специалистами разработаны прогнозы развития мн. отраслей науки и техники на период, как правило, 15-20 лет, в частности по топливно-энергетич. комплексу, высокоэффективным материалам для различных назначений, комплексному развитию транспорта, с. х-ва и по мн. др. направлениям науки, техники и народного хозяйства (см. Прогноз научно-технический).

Исходя из прогнозов по важнейшим проблемам определяются основные направления развития науки и техники, как правило, на пятилетний период, в к-рых рассматриваются вопросы развития фундаментальных, прикладных, а также обществ. наук. В области экономич. наук гл. внимание обращается на решение задач повышения эффективности общественного производства с учётом требований объективных экономических законов развития социалистической экономики. Основные направления развития науки и техники на пятилетку охватывают важнейшие отрасли народного хозяйства.

Пятилетний план развития науки и техники и использования достижений науки в нар. хозяйстве - составная часть Гос. пятилетнего плана развития нар. х-ва СССР. Главными разделами пятилетнего плана развития науки и техники (или, как его часто называют, плана новой техники) являются: важнейшие научно-технич. проблемы, подлежащие разработке в планируемом периоде; создание первых серий новых машин и материалов; освоение новых технологич. процессов, включая важнейшие мероприятия по механизации и автоматизации произ-ва; подготовка научных кадров; финансирование науки.

К числу научно-технич. проблем, подлежащих разработке в планируемом периоде, относятся важнейшие межотраслевые проблемы, в работе над к-рыми участвуют 2 или более мин-в и ведомств. Число таких проблем в 9-й пятилетке (1971-75) относительно невелико (ок. 250), что даёт возможность надлежащего контроля за их исполнением. Предусматривается, что разработка каждой из них должна завершаться решением определённой технич. задачи: созданием машины нового типа, получением нового материала и т. п. Среди важнейших научно-технич. проблем, включаемых в нар.-хоз. план, отсутствуют относящиеся только к области фундаментальных наук. Это объясняется тем, что практически невозможно заранее предвидеть, в какой области науки и когда именно будет сделано новое важное открытие или осуществлено решающее продвижение вперёд. Однако развивая фундаментальные науки, необходимо концентрировать силы на наиболее актуальных направлениях путём разработки прогнозов и осн. направлений развития науки и техники.

Научно-технич. проблемы, решение к-рых предусматривается пятилетним планом, охватывают все осн. области нар. х-ва. К числу важнейших научно-технич. проблем десятилетия 1971-80 относятся, напр., создание и освоение новых энергетич. блоков (котёл-турбина-генератор-трансформатор ) максимальной мощности; разработка и сооружение дальних линий электропередачи большой мощности (так, намечено ввести линию Казахстан - Центр на постоянном токе напряжением 1500 кв); создание мощных энергетич. блоков с применением ядерных реакторов; разработка технологии и произ-во средств комплексной механизации и автоматизации добычи угля шахтным способом, обеспечивающим значительное повышение производительности труда; освоение пром. технологии изготовления шин с повышенной ходимостью и мн. др.

По каждой научно-технич. проблеме, включённой в нар.-хоз. план, разрабатываются подробные координационные планы, в к-рых указываются важнейшие этапы работы, сроки их проведения, ответств. орг-ции. Эти планы утверждаются Гос. к-том Сов. Мин. СССР по науке и технике. Координационными планами предусматривается выполнение всего комплекса работ, начиная от кауч. исследований и кончая использованием их результатов в нар. х-ве.

В разделе пятилетнего плана развития науки и техники, включающем создание первых серий машин, новых материалов, высокоэффективных технологич. процессов и важнейшие мероприятия по механизации и автоматизации произ-ва, содержатся конкретные задания, с указанием исполнителей, сроков выполнения и объёмов работ. Эти задания относятся к выпуску новых изделий и выполнению работ, к-рые прошли стадию проектно-конструкторской отработки и опытно-производств. проверки. Этот раздел плана имеет большое значение, поскольку им определяются сроки и масштабы использования в произ-ве наиболее важных результатов научно-исследовательских, проектно-конструкторских и опытно-пром. работ.

В разделе плана, посвящённом подготовке науч. кадров, содержатся задания, касающиеся работы аспирантуры: приём по годам пятилетки (с указанием отраслей науки, мин-в, союзных республик и др. орг-ций, в ведении к-рых находятся соответствующие н.-и. ин-ты и вузы); доля приёма в аспирантуру с отрывом от произ-ва; число лиц, оканчивающих аспирантуру. Разделом плана по финансированию науч. учреждений предусматривается выделение средств в разрезе союзных республик, мин-в и ведомств СССР. При определении объёма финансирования учитывается объём работ, выполненных в соответствии с гос. планом.

Показатели, характеризующие научно-технич. прогресс, содержатся не только в разделах плана по новой технике, но и в планах произ-ва, где во мн. случаях, наряду с общим объёмом выпуска продукции, указывается в т. ч. и выпуск наиболее прогрессивной продукции. Напр., в плане приводится объём произ-ва стального проката в целом и объём произ-ва тонкого холоднокатаного стального листа, объём произ-ва минеральных удобрений, в т. ч. концентрированных и сложных удобрений. Кроме того, в плане приводятся нек-рые общие показатели, характеризующие научно-технич. прогресс, такие, как коэфф. нефтеотдачи, доля добычи угля открытым способом, удельный расход топлива на выработанный киловаттчас, электровооружённость рабочего в пром-сти и др.

Ежегодно в гос. план по науке и технике при необходимости вносятся соответствующие коррективы. Наряду с общегос. планом развития нар. х-ва разделы науки и техники содержатся в республиканских планах развития нар. х-ва, в планах отраслевых мин-в СССР и др. орг-ций. производств. объединения, предприятия, н.-и., проектно-конструкторские и др. орг-ции также имеют свои планы работы.

Академия наук СССР с участием др. орг-ций разрабатывает пятилетние планы науч. исследований в области естеств. и обществ. наук. Наряду с пятилетними и годовыми планами н.-и. работ предусмотрено планирование развития науки и техники с перспективой на 15-20 лет. Ведётся работа по совершенствованию П.н.-т. п.

В условиях совр. научно-технич. революции актуальным становится международное научно-технич. сотрудничество, особенно со странами - членами СЭВ (см. Научно-техническое сотрудничество социалистических стран).

Лит.: Ленин В. И., Набросок плана научно-технических работ, Полн. собр. соч., 5 изд., т. 36; его же, Очередные задачи Советской власти, там же; его же, Лучше меньше, да лучше, там же, т. 45; его же, Письмо Г. М. Кржижановскому 14 марта 1920 г., там же, т. 51; Решения партии и правительства по хозяйственным вопросам, т. 7, М. 1970; Планирование и стимулирование научно-технического прогресса, под ред.

Л. М. Гатовского, М., 1972; Научно-технический прогресс и эффективность общественного производства, М., 1972; Ефимов К., Научно-технический прогресс: организация и управление, "Коммунист", 1973, № 10; Ефимов К., Максимов Л., Амирджанянц Ф., Совершенствование планирования и управления научно-техническим прогрессом, "Плановое хозяйство", 1974, № 11. В. А. Кириллин.

ПЛАНИРОВАНИЕ ОПЕРАТИВНО-ПРОИЗВОДСТВЕННОЕ, система расчётов по текущему регулированию хода произ-ва в целях обеспечения равномерной и ритмичной работы предприятия. П. о.-п.- органич. составная часть внутризаводского планирования. В процессе П. о.-п. осуществляется разработка и своевременное доведение до цехов и участков производственных программ, графиков загрузки рабочих мест и выпуска продукции, обеспечение слаженного хода производства по изготовлению плановой номенклатуры изделий заданного качества в установленных объёмах и сроках при наилучшем использовании всех производств. ресурсов. Важная функция П. о.-п.- ежедневный учёт выполнения плановых заданий, а также организация службы непрерывного наблюдения за ходом произ-ва.

П. о.-п. в масштабах предприятия выполняет возложенные на него задачи с помощью межцехового и внутрицехового П. о.-п., а также диспетчеризации производства. Координирование во времени и в пространстве производств. процессов требует создания спец. календарно-плановых нормативов: величины партий запуска-выпуска отд. деталей, длительности производств. циклов, опережений запуска (выпуска) заготовок, деталей, размеров заделов на рабочих местах, в цехах, между цехами и т. д.

Существует множество различных систем П. о.-п., учитывающих особенности типов произ-ва. Содержание каждой системы обусловливается взаимодействием различных факторов: технологич. сложностью произ-ва продукции, его масштабами, номенклатурой, стабильностью производств. заданий. Различие между ними состоит гл. обр. в специфике выбираемой планово-учётной единицы, большей или меньшей её детализации, что предопределяет степень централизации оперативного планирования произ-ва.

В условиях единичного производства наибольшее распространение имеет позаказная система П. о.-п., в к-рой плановоучётной единицей служит комплект деталей, входящих в конструктивный узел или изделие. Исходя из закреплённых за каждым цехом видов работ (деталей) и норм времени на их выполнение, разрабатываются объёмно-цикловые графики, в к-рых сроки выполнения всех заказов по цехам согласовываются с конечными сроками выполнения задания по каждой номенклатурной единице.

В условиях серийного производства при относительно небольшой номенклатуре изготовляемых цехами изделий (деталей, узлов) используется подетальная система планирования. Если номенклатура изделий велика и планово-диспетчерская служба предприятия не в состоянии эффективно контролировать движение каждого изделия в производственном цикле, применяются децентрализованные, т. н. комплектные, системы планирования, в которых используются укрупнённые планово-учётные единицы, представляющие собой комплект деталей и узлов, входящих в машину или прибор (машинокомплект, приборокомплект).

Распространение получила система непрерывного оперативно-производств. планирования, разработанная на базе опыта Новочеркасского электровозостроительного з-да и впервые внедрённая на ряде з-дов в 1963-65. В ней применены новые принципы построения планово-учётных единиц и заложены новые основы П. о.-п. Используемые здесь единый сквозной план-график для всех цехов и участков и единые средства учёта его выполнения позволяют в большей степени обеспечивать пропорциональность произ-ва. В этой системе применяются 2 вида планово-учётных единиц: 1) "условное изделие", если в программе есть изделие, преобладающее по объёму и стабильности произ-ва. В него входят все изделия, изготовляемые предприятием в планируемом периоде по их удельному весу в "условном изделии"; 2) "суткокомплект", если в программе отсутствует такое изделие. Этот показатель включает среднесуточное кол-во всех изделий, подлежащих изготовлению и выпуску в планируемом периоде.

В массовом производстве, отличающемся устойчивостью номенклатуры выпускаемых изделий, деталей, узлов, видов работ и т. п. и организуемом по поточному методу, используется система подетального планирования. При этом задания по запуску и выпуску определяются по отд. деталям (по каждой поточной линии и производств. участку внутри цехов), а плановые расчёты направлены на поддержание межцеховых производств. заделов в установленных нормах.

Во всех типах произ-ва расчёты производств. программ цехам осуществляются в порядке, обратном ходу производств. процесса, начиная с выпускающих цехов и далее до обрабатывающих и затем заготовительных цехов. Установленные для цехов задания доводятся до участков и обеспечиваются всем необходимым для ритмичного выполнения планов.

После составления и доведения до участка программы-задания закреплённая за ним номенклатура деталей и операций распределяется между рабочими местами, производятся расчёты загрузки рабочих мест, определяются формы движения деталей (параллельное, параллельно-последовательное или последовательное) и очерёдность выполнения работ. Контроль за реализацией работ, предусмотренных П. о.-п., обеспечивается диспетчерской службой, к-рой предоставляются все необходимые для этого технические средства и права (см. Диспетчерский пункт, Диспетчерская связь). В частности, для этой цели используются производств. графики, к-рые помогают в осуществлении оперативного контроля за движением произ-ва.

Лит.: Татевосов К. Г., Основы оперативно-производственного планирования на машиностроительном предприятии, М. - Л., 1965; Омаров a.  Новая система оперативно-производственного планирования в действии, М., 1965; Слодкевич Н. И., Вопросы оперативно-производственного планирования на предприятии, [М., 1967]. А. М. Омаров.

ПЛАНИРОВАНИЕ ОПТИМАЛЬНОЕ, совокупность методов и средств, позволяющих выбрать из множества возможных вариантов развития хоз. объекта наилучший (оптимальный), обеспечивающий наиболее эффективное использование ресурсов. П. о. применимо на всех уровнях планирования и управления социалистическим производством - предприятия, объединения, отрасли, экономического р-на, всего нар. х-ва. П. о. нар. х-ва возможно только в условиях социалистич. экономики, основанной на обществ. собственности на средства производства, позволяющей осуществлять планомерное использование производств. ресурсов в масштабе и в интересах всего общества (см. Планирование народного хозяйства).

Составление оптимального плана развития хоз. объекта основано на решении задачи математического программирования, в к-рой отыскивается условно-экстремальное (максимальное или минимальное) значение функции (наз. целевой функцией или критерием оптимальности плана). На основе критерия оптимальности может быть принят определённый вариант плана.

Лит.: Канторович Л. В., Экономический расчет наилучшего использования ресурсов, М., 1959; Лурье А. Л., О математических методах решения задач на оптимум при планировании социалистического хозяйства, М., 1964; Новожилов В. В., Проблема измерения затрат и результатов при оптимальном планировании, М., 1967; федоренко Н. П., О разработке системы оптимального функционирования экономики, М., 1968. С. С. Шаталин.

ПЛАНИРОВАНИЕ ПЕРСПЕКТИВНОЕ (долгосрочное и среднесрочное), см. в ст. Планирование народного хозяйства.

ПЛАНИРОВАНИЕ ТЕКУЩЕЕ (годовое), см. в ст. Планирование народного хозяйства.

ПЛАНИРОВАНИЕ ЦЕН, обоснование и определение уровней и соотношений цен на предстоящий период. Имеет большое значение для планирования народного хозяйства и проведения единой политики цен, организации планомерной работы по подготовке и введению новых прейскурантов.

В СССР начало П. ц. было положено в кон. 20-х гг. В 1-й пятилетний план (1929-32) были включены задания по изменению уровней и соотношений цен. Основой П. ц. является пятилетний план совершенствования оптовых иен. Он включает: определение осн. направлений развития цен на пятилетие; задания по совершенствованию методологии и методики ценообразования; сроки общих пересмотров цен. Реализуются задания пятилетнего плана через систему текущего П. ц., основой к-рого являются годовые планы, разрабатываемые органами ценообразования.

Важным этапом П. ц. является их прогнозирование. Оно даёт необходимую информацию об уровне и соотношении цен в перспективе по отраслям и осн. видам (группам) продукции для обоснования плана и прогноза развития нар. х-ва, оптимальных пропорций и структуры произ-ва, его рационального размещения и выбора вариантов проектных решений.

Для расчётов вариантов изменений цен на перспективу с учётом их взаимных влияний используются межотраслевой баланс (см. Баланс межотраслевой), многопродуктовые модели, методы математич. статистики. Текущее, среднесрочное и долгосрочное П. ц. получило развитие в ряде др. социалистич. стран. Оно строится на тех же исходных принципах, что и в СССР, но с учётом специфики отд. стран.

Лит. см. при ст. Ценообразование,

Г. Н. Чубаков

ПЛАНИРОВАНИЕ ЭКСПЕРИМЕНТА, раздел математической статистики, изучающий рациональную организацию измерений, подверженных случайным ошибкам. Обычно рассматривается следующая схема П. э. Со случайными ошибками измеряется функция f (0, х), зависящая от неизвестных параметров (вектора 0) и от переменных х, к-рые по выбору экспериментатора могут принимать значения из нек-рого допустимого множества X. Целью эксперимента является обычно либо оценка всех или нек-рых параметров 0 или их функций, либо проверка нек-рых гипотез о параметрах 0. Исходя из цели эксперимента, формулируется критерий оптимальности плана эксперимента. Под планом эксперимента понимается совокупность значений, задаваемых переменным х в эксперименте. Как правило, оценки параметров 0 ищут по наименьших квадратов методу, а гипотезы о параметрах 0 проверяют с помощью F-критерия Фишера (см. Дисперсионный анализ) ввиду оптимальных свойств этих методов. В обоих случаях при этом оказывается естественным выбирать в качестве критерия оптимальности плана с заданным числом экспериментов нек-рую функцию от дисперсий и коэффициентов корреляции оценок методом наименьших квадратов. Отметим, что в случае, когда f(0,x) линейно зависит от 0 оптимальный план часто можно построить до проведения эксперимента, в других случаях уточнение плана эксперимента происходит по ходу эксперимента.

Для иллюстрации рассмотрим определение весов 01, 02, 03 трёх грузов на весах с двумя чашками, если результат m-го эксперимента есть разность веса содержимого второй и первой чашки плюс случайная ошибка еm со средним 0 и дисперсией o2, т. е.
1945-17.jpg

если i-й груз был на kimчашке в m-м эксперименте, и xim = 0, если i-й груз не взвешивался в m-м эксперименте. Взвесив каждый груз отдельно и раз (3n экспериментов), мы оценим его вес по методу наименьших квадратов величиной
1945-18.jpg

с дисперсией o2/п. При n = 8 той же точности мы достигнем после взвешивания по одному разу всех 8 различных комбинаций грузов, в к-рых каждый из них лежит либо на одной, либо на другой чашке, причём оценка по методу наименьших квадратов даётся формулой
1945-19.jpg

i = 1, 2, 3.

Начало П. э. положили труды англ. статистика Р. Фишера (1935), подчеркнувшего, что рациональное П. э. даёт не менее существенный выигрыш в точности оценок, чем оптимальная обработка результатов измерений. Можно выделить следующие направления П. э.

Исторически первое из них, факторное, было связано с агробиологич. применениями дисперсионного анализа, что нашло отражение в сохранившейся терминологии. Здесь функция f (0, x) зависит от вектора x переменных (факторов) с конечным числом возможных значений и характеризует сравнительный эффект значений каждого фактора и комбинаций разных факторов. Алгебраическими и комбинаторными методами были построены интуитивно привлекательные планы одновременно и сбалансированным образом изучающие влияние по возможности большого числа факторов. Впоследствии было доказано, что построенные планы оптимизируют нек-рые естественные характеристики оценок метода наименьших

Следующим под влиянием приложений в химии и технике развивалось Пи э по поиску оптимальных условий протекания того или иного процесса. По существу эти методы являются модификацией обычных численных методов поиска экстремума с учетом случайных ошибок измерений. Специфическими методами обладает планирование отсеивающих экспериментов, в к-рых нужно выделить те компоненты вектора х, к-рые сильнее всего влияют на функцию f(0,х), что важно на начальной стадии исследования, когда вектор х имеет большую размерность В 60-х гг. 20 в. сложилась совр. теория П. э. Ее методы тесно связаны с теорией приближения функций и математич. программированием. Построены оптимальные планы и исследованы их свойства для широкого класса моделей Разработаны также итерационные алгоритмы 11. э., дающие во многих случаях удовлетворительное численное решение задачи П. э.

Лит.: Xикс Ч. Р., Основные принципы планирования эксперимента, пер. с англ. М., 1967, Федоров В. В., Теория оптимального эксперимента 1971

ПЛАНИРОВКА СЕЛЬСКИХ НАСЕЛЕННЫХ МЕСТ (планировка и застройка сельских населенных мест) в СССР комплекс мероприятий по переустройству существующих сёл и деревень и строительству новых укрупнённых сельских поселении в единой с городами системе расселения. П. с. н. м. осуществляется в ходе социально-экономич. преобразования деревни и связана с решением архит.-строительных, инженерно-технических и санитарно-гигиенических задач. Эти задачи решаются посредством перепланировки, инженерного благоустройства территорий, размещения застройки, организации системы культурно-бытового обслуживания населения и др. мероприятий Они проводятся с учётом значения и положения сельских населённых пунктов в системе расселения, местных природных и национально-бытовых особенностей.

КПСС и Сов. правительство придают гос. значение перестройке сел. поселений преодолению существ. различий в условиях жизни гор. и сел. населения. На различных этапах развития нар х-ва в области П. с. н. м. решались конкретные задачи. В 20-е гг. проводились мероприятия по упорядочению землепользования, обеспечению соблюдения противопожарных и сан. требований, улучшению внеш. благоустройства и др. В 30-е гг после завершения коллективизации с. х-ва, в застройке возникали новые комплексы здании и сооружений (клуб, бригадный двор, животноводческая ферма), в связи с чем складывались предпосылки к изменению структуры и принципов планировочнои организации сел. поселений создавались основы формирования социалистич. села; проводились первые проектно-планировочные работы. Во 2-й пол 40-х гг. наряду с восстановлением сёл и деревень, разрушенных в годы Великой Отечеств. войны 1941-45, разрабатывались проекты планировки и застройки, примерные схемы планировки колхозных сел, усадеб совхозов, МТС, животноводческих ферм. В 50-60-е гг. в условиях укрупнения хозяйств, освоения целинных земель, проводились работы по районной планировке сельских (административных) районов, планировке центр. посёлков совхозов и колхозов, разработке серий типовых проектов жилых культурно-бытовых и производств. здании. Программа КПСС (1973, с 85) поставила задачу постепенно преобразовать колхозные деревни и сёла в укрупненные населённые пункты гор. типа по культурно-бытовым условиям жизни В решениях 23-го и 24-го съездов КПСС, Мартовского (1965) пленума ЦК КПСС в постановлениях ЦК КПСС и Сов. Мин. СССР "Об упорядочении строительства на селе" (1969) и "О мерах по дальнейшему развитию сельского хозяйства нечерноземной зоны РСФСР" (1974) разработаны программа по переустройству сел. населенных мест и организационные и материально-технические меры, позволившие практически решать эти проблемы в широких масштабах. Переход с. х-ва на индустриальную основу, создание аграрно-промышленных комплексов и объединении, расширение межхозяйственных и межотраслевых связей, интенсификация трудовых и культурно-бытовых контактов гор. и сел. населения, развитие дорожной сети и транспорта предопределили формирование населённых пунктов различных производственно-функциональных типов, а также местных систем взаимосвязанного расселения. Из числа исторически сложившихся сельских поселений предусматривается выделение т. н. перспективных посёлков (отличающихся обычно большими размерами, удобным местоположением в хозяйственно-производств. и трансп. отношении, благоприятными природными условиями, наличием капитальных жилых, культурно-бытовых, производств. зданий и элементов инж. благоустройства). В них постепенно концентрируется население, сосредоточивается производственное, жилищное и культурно-бытовое строительство, проводится благоустройство. Жителей остальной части (более 60% от числа сел. поселений) - т. н. неперспективных (преим. мелких и не имеющих хозяйственного значения) населённых мест намечено постепенно переселить в перспективные поселки. В неперспективных посёлках, сохраняемых на определённый срок, осуществляется необходимое (минимальное) строительство и благоустройство. Планировочная структура, состав застройки посёлка устанавливаются также с учётом его производственно-функционального типа, роли в системе расселения, окружающего ландшафта, характера существующей планировки и застройки и терр условий развития. При создании плана поселка предусматривается: функциональное зонирование терр.; организация транспортных и пешеходных связей внутри посёлка, а также с соседними пунктами, с с.-х. угодьями и отдельно расположенными производственными комплексами, фермами и др.; целесообразное расположение жилой и производственной застройки, зданий общественного назначения; формирование общественного центра; организация отдыха. Определяется архитектурно-пространств. композиция всего посёлка и его осн. элементов как единого ансамбля, очерёдность развития и последовательность формирования посёлка и отдельных его частей. При функциональном зонировании устанавливаются зооветеринарные и противопожарные разрывы между животноводческими комплексами и сан. разрывы между производственной и жилой зонами. Районные центры, центр. посёлки колхозов и совхозов, аграрно-промышленные посёлки и др. населённые места данного типа имеют развитые внеш. связи, расширенный состав учреждений культурно-бытового обслуживания, развитую производственную зону, повышенную плотность жилой застройки 2-4-этажными жилыми домами, многообразие архитектурно-планировочных решений. Посёлки отделений совхозов, при фермах, имеют преим. индивидуальную усадебную жилую застройку, ограниченный состав учреждений культурно-бытового обслуживания, часто упрощённую планировку и традиционный сел. внешний облик.
 
 
 

Село Кодаки в Киевской области Украинской ССР (строится с 1965; архитекторы Крючков,  Мельников Б. А. Прицкер, Л. Л. Семенюк и ДР.;. Генеральный план: 1 - Дом культуры; 2 - административное здание; 3 - торговый комплекс; 4 - школа; 5 - ясли; 6 - памятник В. И. Ленину; 7 - больница; 8 - жилые дома; 9 - производственная зона.

Региональные особенности (природно-климатич. условия, экономич. развитие, национально-бытовой уклад, различия в социальном и демографическом составе населения) определяют исходные нормы и правила проектирования и строительства посёлков (структура жилой застройки по типам квартир, этажности и конструктивным решениям домов и др.), а также выбор приёмов планировки и застройки.

Неблагоприятные природно-климатич. условия (солнечный перегрев и знойные суховеи, холодные ветры и снежные заносы) предопределяют объёмно-пространственные решения, обеспечивающие защиту или изоляцию посёлка от вредных воздействий среды. При благоприятных условиях, напротив, планировочные решения обеспечивают раскрытие и взаимопроникновение застройки и природной среды. Терр. жилой застройки обычно членится на кварталы или группы жилых домов ("жилые группы") различных типов: с приквартирными участками для ведения личного подсобного хозяйства (индивидуальные, двухквартирные, многоквартирные - блокированные в 1 - 2 этажа) и без участков (секционные, гостиничные в 2-4 этажа), а также на озеленённые участки с садами, площадками для отдыха, игр детей, со спортплощадками и площадками хозблоков. Квартальный приём планировки наиболее характерен для посёлков, расположенных на терр. с относительно спокойным рельефом и застраиваемых домами с приквартирными участками. Приём планировки в виде групп жилых домов позволяет наиболее экономично сооружать уличную и инженерно-технические сети, лучше использовать рельеф и др. местные условия, создавать живописные архитектурно-пространственные композиции. Рост социальной активности и уровня культуры, развитие внепроизводственного сообщения сельского населения отражаются в создании обществ. центров. Состав и вместимость учреждений культурно-бытового обслуживания обществ. центра посёлка определяется в зависимости от величины посёлка, его народнохозяйственного значения и положения в системе расселения. В соответствии с принятой единой терр. 3-ступенчатой системой культурно-бытового обслуживания, создающейся в сел. адм. районах, в посёлках отделений совхозов и др., отнесённых к I ступени, размещаются учреждения повседневного обслуживания; в центр. и аграрно-промышленных посёлках, отнесённых ко II ступени,-повседневного и периодического обслуживания; в посёлках и малых городах-райцентрах, отнесённых к III ступени,- повседневного, периодич. и эпизодич. пользования. Обычно в обществ. центре располагаются адм. здание, клуб или Дом культуры, магазины, иногда школа, спортивные сооружения. Для лучших сел. поселений, где проведены значит. реконструкция или новое строительство, характерны рациональность и удобство планировочной организации, высокий уровень культурно-бытового обслуживания и благоустройства, выразительные архитектурные ансамбли застройки и её органичное сочетание с окружающей природной средой [напр., посёлок Дайнава в Литов. ССР (строится с 1965; арх. Р. Камайтис, В.-К. Шимкус и др.; илл. см. т. 14, табл. XXXIV, стр. 544-45); село Кодаки Киевской обл. УССР (строится с 1965, арх. В. Я. Крючков, М. М. Мельников, Б. А. Прицкер, Л. Л. Семенюк и др.); посёлок Саку Харьюского района Эстонской ССР (строится с 1958; арх. Б. Б. .Миров, В. А. Пормейстер, В. А. Херкель; илл. см. т. 9, табл. XXVII, стр. 256-257) и др.].
 

Посёлок Саку Харьюского района Эстонской ССР (строится с 1958; архитекторы Б. Б. Миров, В. А. Пормейстер, В. А. Херкель). Генеральный план: 1 -общественно-торговый центр: 2 - фирменный магазин пивного завода; 3 - продовольственный магазин, ресторан-столовая; 4 - школа; 5 - школьный интернат; 6 - детский сад-ясли; 7 - павильон бытового обслуживания; 8 - главное здание института; 9 ~ научно-исследовательская лаборатория; 10 - агролаборатория; 11 - выставочный павильон; 12 - баня; 13 - многоэтажный жилой комплекс; 14-17 - 2-3-этажные многоквартирные жилые дома; 18 - блокированный жилой дом с квартирами в двух уровнях; 19 - индивидуальный жилой дом; 20 - парк; 21 - лесной парк; 22 - усадебный дом-памятник архитектуры; 23 - котельная; 24 - железнодорожный вокзал; 25 - пивной завод; 26 - экспериментальная мастерская; 27 - гараж.

Лит.: Кондухов А. Н., Михайлов А. Б., Планировка и застройка сельских поселков, М., 1966; Планировка и застройка сельских населенных мест (рекомендации по проектированию), М., 1971; Тобилевич Б. П., Проблемы архитектуры села, "Архитектура СССР", 1971, № 9; ЦНИИЭПграждансельстрой. Рекомендации по проектированию экспериментально-показательных поселков совхозов и колхозов, М., 1973. В. С. Рязанов.

ПЛАНИСФЕРА (от лат. planum - плоскость и греч. sphaira - шар), изображение сферы на плоскости в нормальной (полярной) стереографич. проекции (см. Картографические проекции). П. употреблялась вплоть до 17 в. для определения моментов восхода и захода небесных светил. Обычно представляла координатную сетку, нанесённую на металлический диск, около центра к-рого вращалась облегчавшая отсчёты алидада. С введением спец. таблиц и номограмм П. вышла из употребления.

ПЛАНК (Planck) Макс Карл Эрнст Людвиг (23.4.1858, Киль,-4.10.1947, Гёттинген), немецкий физик-теоретик.

М. Планк.

Род. в семье юриста. Учился в Мюнхенском (1874-77) и Берлинском (1877-78) ун-тах; слушал лекции Г. Гелъмголъца, Г. Кирхгофа. С 1880 приват-доцент Мюнхенского ун-та. Проф. ун-тов в Киле (1885) и Берлине (1889). Чл. Берлинской АН (1894, в 1912-43 её непременный секретарь). Президент Общества имп. Вильгельма (с 1948 - Обществом. Планка). Под влиянием работ Р. Клаузиуса П. ещё студентом увлёкся термодинамикой; его ранние исследования посвящены уточнению понятий энтропии и необратимости, обоснованию второго начала термодинамики (докторская диссертация, 1879), применению термодинамики к физико-хим. процессам, в частности к диссоциации газов и к слабым растворам (1883-88). На основе теории электролитов В. Нернста П. вычислил разность потенциалов двух электролитич. растворов (1890). Наибольшее значение имели работы П. по термодинамич. теории излучения, приведшие его к полуэмпирич. установлению формулы распределения энергии в спектре электромагнитного излучения абсолютно чёрного тела (Планка закон излучения), к-рая была доложена им на заседании Берлинского физич. общества; через 2 месяца (14 дек. 1900) П. продемонстрировал вывод этой формулы, основанный на предположении, что энергия осциллятора есть целое кратное величины hv, где v - частота излучения, a h - новая универсальная постоянная, названная П. элементарным квантом действия (Планка постоянная). Позднее П. тщетно пытался включить h в схему классич. представлений. Введение этой величины было началом эпохи новой, квантовой физики. Последующие работы П. посвящены разработке отд. аспектов теории излучения, термодинамики (обоснование принципа Ле Шателье - Брауна и др.), релятивистской механики и т. д. Важное место в науч. наследии П. занимают его монографии по осн. разделам теоретич. физики, отличающиеся глубиной и ясностью изложения. В ряде статей и лекций П. обсуждал филос. и методологич. проблемы естествознания. Он резко критиковал (с 1895)позитивистские воззрения В. Оствалъда, Э. Маха и др., а в дальнейшем неоднократно выступал против физич. индетерминизма, настаивая на том, что признание объективности законов природы и принципа причинности является необходимой предпосылкой науч. знания. П.- чл.-корр. Петерб. АН (1913), почётный чл. АН СССР (1926), чл. Лондонского королев. об-ва (1926). Нобелевская пр. (1918).

Соч.: Physikalische Abhandlungen und Vortrage, Bd 1-3, Braunschweig, 1958: в рус. пер.- Термодинамика, Л.., 1925; Введение в теоретическую физику, 2 изд., т. 1 - 5, М.- Л., 1932 - 35; Теория теплового излучения, Л.- М., 1935; Принцип сохранения энергии, М.- Л., 1938; Единство физической картины мира. Со. статей, М., 1966.

Лит.: Макс Планк. Сборник к столетию со дня рождения. 1858 - 1958, М., 1958; Мах Planck zur Feier seines 60. Geburtstages, "Die Naturwissenschaften", 1918, 6 Jg., H. 17; Hartmann H., Max Planck als Mensch und Denker, Fr./M.- В., 1964; Кretzsсhmar H., Max Planck als Philosoph, Munch.- Basel, 1967; Воrn, Max Planck, 1858 - 1947, в сб.: Die Grofjen Deutschen, Bd 4, В., 1957, S. 214-26. И. Д. Рожанский.

ПЛАНКА ЗАКОН ИЗЛУЧЕНИЯ, формула Планка, закон распределения энергии в спектре равновесного излучения (электромагнитного излучения, находящегося в термодинамич. равновесии с веществом) при определённой температуре. Был впервые выведен М. Планком в 1900 на основе гипотезы квантов энергии. П. з. и. даёт спектральную зависимость от частоты v или длины волны Л = c/v (где с- скорость света) объёмной плотности излучения p (энергии излучения в единице объёма) и пропорциональной ей испускательной способности абсолютно чёрного тела
1945-22.jpg

(энергии излучения, испускаемой единицей его поверхности за единицу времени). Функции pv,T и uv,T(или pЛ,Т и uЛ,T), отнесённые к единице интервала частот (или длин волн), являются универсальными функциями отv (или Л) и Т, не зависящими от природы вещества, с к-рым излучение находится в равновесии. П. з. и. выражается формулой:
1945-23.jpg

или
1945-24.jpg

где h - Планка постоянная, k - Больцмана постоянная. Вид функции (2) для разных темп-р показан на рис. С ростом
1945-25.jpg

Т максимум функции смещается в сторону малых длин волн. Из П. з. и. вытекают др. законы равновесного излучения. Интегрирование по v (или L) от 0 до бесконечности даёт значения полной объёмной плотности излучения по всем частотам - Стефана - Больцмана закон излучения:
1945-26.jpg

и полной испускательной способности чёрного тела:
1945-27.jpg

В области больших частот энергия фотона много больше тепловой энергии (hv>>kT) и П. з. и. переходит в Вина закон излучения: pv,T = (8Пhv3/c3-hv/kT, в области малых частот, когда kT>>hv,- в Рэлея - Джинса закон излучения: pv,T= = (8Пv2/c3)kT. Эти законы, т. о., представляют собой предельные случаи П. з. и. Вина закон смещения является также следствием П. з. и., к-рый можно представить в виде: pv,T= v3f(v/T), где f(v/T) - функция только от отношения v к Г.

П. з. и. находится в согласии с экспериментальными данными. С его помощью оказалось возможным вычислить значения h я k. На его основе, используя пирометры, можно определять темп-ру нагретых тел (напр., поверхности звёзд). При темп-pax >2000 К единственное надёжное определение темп-ры основано на законах излучения чёрного тела и Кирхгофа законе излучения. П. з. и. используют при расчётах источников света.

П. з. и. был получен А. Эйнштейном в 1916 путём рассмотрения квантовых переходов для атомов, находящихся в равновесии с излучением. Он может быть получен как следствие Базе - Эйнштейна статистики.

Лит. см. при ст. Тепловое излучение.

М. А. Елъяшевич.

ПЛАНКА ПОСТОЯННАЯ, квант действия, фундаментальная физическая постоянная, определяющая широкий круг физич. явлений, для к-рых существенна дискретность действия. Эти явления изучаются в квантовой механике. Введена М. Планком (1900) при установлении закона распределения энергии в спектре излучения абсолютно чёрного тела (см. Планка закон излучения). Обозначается h. Наиболее точное значение П. п. было получено на основе Джозефсона эффекта: h = (6,626196 ± ± 0,000050)· 10-34дж . сек = (6,626196 ± ±0,000050)· 10-27эрг-сек. Чаще пользуются постоянной h = h/2П = (1,0545919 ± ± 0,0000080)·10-27эрг-сек, также называемой П. п.

ПЛАНКЕТ, Планкетт (Planquette) Робер (31.7.1848, Париж,-28.1.1903, там же), французский композитор. Учился в Парижской консерватории. В 1872 дебютировал как театр. композитор. Известность принесла ему оперетта "Корневильские колокола" (1877, Париж), развивающая традиции франц. комич. оперы. Простота муз. языка, живые образы, романтич. приподнятость способствовали её популярности. Успехом пользовались и др. оперетты П. (напр., "Панург" по Ф. Рабле, 1895), в нек-рых из них он отдал дань фарсовому направлению франц. муз. театра.

Лит.: Янковский М. О., Оперетта, Л.- М., 1937, с. 36-38.