БОЛЬШАЯ  СОВЕТСКАЯ  ЭНЦИКЛОПЕДИЯ
В ЭНЦИКЛОПЕДИИ СОДЕРЖИТСЯ БОЛЕЕ 100000 ТЕРМИНОВ

А Б В Г Д Е Ж З И Й К Л М Н О П Р С Т У Ф Х Ц Ч Ш Щ Э Ю Я



ФАЗОВОЙ-ФАРАДА

наглядно представить всю совокупность движений, возникающих в динамич. системе при всевозможных нач. условиях. Особые точки классифицируют по характеру фазовых траекторий в их окрестности; осн. типы особых точек изображены на рис. 1. Изолированные замкнутые траектории (предельные циклы) классифицируют по характеру их устойчивости (рис. 2).

В сочетании с аналитич. методами Ф. п. м. позволяет получать количеств. оценки решений дифференциальных ур-ний, описывающих динамич. систему, напр. оценивать длительность перехода изображающей точки из одного состояния в другое (т. е. продолжительность переходного процесса), определять период и "амплитуду" периодич. движения и т. п. Теоретич. основы Ф. п. м. разработаны А. Пуанкаре. Ф. п. м.- один из методов качеств. теории динамич. систем; он широко используется в теории колебаний, теории автоматич. управления, в электротехнике и механике.

Лит.: Пуанкаре А. О., О кривых, определяемых дифференциальными уравнениями, пер. с франц., М. - Л., 1947; Немыцкий В. В., Степанов В. В., Качественная теория дифференциальных уравнений, 2 изд., М. - Л., 1949; Андронов А. А., Витт А. А., Xайкин С. Э., Теория колебаний, 2 изд., М., 1959; Качественная теория динамических систем второго порядка, М., 1966; Емельянов С. В., Системы автоматического управления с переменной структурой, М., 1967; Марчуков Б. А.,

Проектирование систем управления методами фазовой плоскости, М., 1976. С. К. Коровин, Н. Н. Миловидов.

ФАЗОВО-КОНТРАСТНАЯ МИКРОСКОПИЯ, метод микроскопич. исследования, основанный на получении с помощью спец. приспособлений контрастного изображения различающихся по плотности структур бесцветных прозрачных микрообъектов, напр. живых микроорганизмов и тканевых культур. Подробнее см. в ст. Микроскоп, раздел Методы освещения и наблюдения (микроскопия).
 

ФАЗОВРАЩАТЕЛЬ, устройство автоматики, преобразовательной и измерительной техники, служащее для измененияфазы электромагнитных колебаний. Конструкция Ф. зависит от диапазона частот, для к-рого он предназначен, пре делов изменения фазы и точности её установки. На низких частотах и в диапазоне радиочастот (до неск. Мгц) в качестве Ф. обычно применяют четырёхполюсники, состоящие из сопротивлений, индуктив-ностей и ёмкостей. Простейший Ф.- фазосдвигающая цепь, состоящая из резистора и конденсатора или резистора и катушки индуктивности. Такие Ф. обычно используют для создания фиксированного фазового сдвига в пределах от 0 до 90°. Более совершенны Ф., выполненные в виде мостовой цепи из 3 резисторов и 1 конденсатора, к-рые обеспечивают регулируемый сдвиг в пределах от 0 до 180° (при мало изменяющейся величине выходного сигнала). Применяют также транзисторные (ламповые) мостовые Ф., в состав к-рых входит фазоинвертор с разделённой нагрузкой; такие Ф. дают сдвиг фазы на 180°. Фазовый сдвиг, вносимый перечисленными Ф., зависит от частоты. Этот недостаток устраняется в следящих Ф., у к-рых при отклонении фазового сдвига от заданного значения параметры автоматически изменяются так, чтобы это отклонение уменьшилось. Для регулирования фазы в цепях переменного тока пром. частоты применяют вращающиеся трансформаторы, сельсины, а также трёхфазные асинхронные электродвигатели с заторможенным ротором (см. Фазорегулятор). В диапазоне дециметровых и более коротких волн применяют Ф., собранные из отрезков коаксиальных линий и волноводов (см. Фазовращатель СВЧ). Погрешность установки фазы в электро-механич. Ф. составляет 0,5-1°, в электронных 0,05-0,1°.

Лит.: Валитов Р. А., Сретенский В. Н., Радиотехнические измерения, М., 1970; Авраменко В. Л., Галямичев Ю. П., Ланнэ А. А., Электрические линии задержки и фазовращатели. (Справочник), М., 1973; Кушнир Ф. В., Радиотехнические измерения, 3 изд., М., 1975.

ФАЗОВРАЩАТЕЛЬ СВЧ, фазосдвигатель СВЧ, устройство, предназначенное для изменения фазы электромагнитных колебаний на выходе линии передачи СВЧ (полого или диэлектрич. радиоволновода, коаксиальной длинной линии, полосковой линии) относительно фазы колебаний на её входе, осуществляемого посредством изменения электрич. длины этой линии. (Электрич. длина линии равна 2пI/ЧВ, где l - её геометрич. длина, ЧВ - длина волны в линии.) Ф. подразделяются на регулируемые и нерегулируемые.

Регулируемый Ф.- участок фидера, вносящий фазовый сдвиг на определённой частоте (или требуемые сдвиги фаз в заданной полосе частот), к-рый при необходимости можно регулировать по величине. Различают Ф. с механич. (или электромеханич.) управлением фазовым сдвигом и ф. с электрич. управлением. К первым относятся: раздвижная секция коаксиальной линии, регулируемая посредством изменения l;волноводный диэлектрический Ф.- отрезок волновода, содержащий перемещаемую пластину из диэлектрика, управление сдвигом фаз в к-ром основано на изменении фазовой скорости волны и ЧВ при изменении положения пластины в волноводе; сжимная секция - отрезок прямоугольного волновода, узкие стенки к-poro снабжены упругими подвесками, позволяющими изменять ширину волновода (и тем самым ЧВ); м о-стовой Ф.- многоплечее устройствоСВЧ (коаксиальное или волноводное), снабжённое двумя согласованно изменяемыми по длине короткозамкнутыми шлейфами и являющееся, по существу, направленным ответвителем. Ко вторым относятся Ф. с полупроводниковыми элементами (такими, как полупроводниковые диоды с р-i-n-структурой; варакторы, или вари-капы); с ферритовыми устройствами; с сегнетоэлектри-ком; плазменные. Наиболее перспективны Ф. на р-i-n-диодах, используемых в качестве коммутац. элементов. Диоды позволяют изменять фазовый сдвиг ступенчато, посредством либо прямого изменения l, либо подключения к линии (через диоды) набора шлейфов. Распространены также ферритовые Ф., работа к-рых основана на взаимодействии электромагнитной волны с нескомпенсированными магнитными моментами под-решёток феррита. Ферритовые Ф. бывают взаимные, обеспечивающие одинаковый сдвиг для обоих направлений распространения волны, и невзаимные (частный случай последних - гиратор).

Нерегулируемый Ф. реализуют в виде калиброванного по фазе отрезка фидера, фазовый сдвиг в к-ром достигается подбором значения его длины, размеров поперечного сечения (при использовании волновода) либо эффективной диэлектрич. проницаемости.

Ф. используют в различных устройствах сверхвысоких частот техники, напр. в системах с большим числом потребителей - для обеспечения требуемого распределения начальных фаз поступающих к ним сигналов, в фидерах радиосистем- для выравнивания электрич. длин фидеров, в фазированных антенных решётках и др. когерентных радиосистемах.

Лит.: СВЧ устройства на полупроводниковых диодах, М., 1969; Лебедев И. В.. Техника и приборы СВЧ, 2 изд., т. 1, М., 1970; Бова Н. Т., Стукало Н. А., Храмов В. А., Управляющие устройства СВЧ, К., 1973. Р. И. Перец.

ФАЗОВЫЙ КОНТРАСТ, метод получения изображений микроскопич. объектов, у элементов структуры к-рых преломления показатель и способность поглощать оптич. излучение разнятся настолько мало, что эти элементы неразличимы при иных методах наблюдения и получения изображений в микроскопе. В то же время сдвиги фаз световых волн, вносимые такими элементами, могут заметно отличаться один от другого, образуя т. н. "фазовый рельеф", на к-рый не реагируют ни глаз, ни фоточувствит. слой. Метод Ф. к. состоит в преобразовании (с помощью вспомогат. оптич. устройства) "фазового рельефа" в изменения интенсивностей (амплитуд) световых волн - в т. н. "амплитудный рельеф", к-рый и регистрируется фотоприёмником. Метод Ф. к. разработан Ф. Цернике в 1935. Подробнее см. Микроскоп, раздел Методы освещения и наблюдения (микроскопия), а также лит. к этой статье.

ФАЗОВЫЙ ОБЪЁМ, объём в фазовом пространстве. Для механич. системы с N степенями свободы элементарный Ф. о. равен dpdq = dp1dq1 ...dpNdqN, где q1 ,..., qN - обобщенные координаты, а p1, ..., pN - обобщённые импульсы системы. Ф. о. конечной фазовой области G равен 2N-мерному интегралу fGdpdq. Если система описывается уравнениями Гамильтона (см. Механики уравненияканонические), то при движении системы её Ф. о. остаётся неизменным (Лиувилля теорема); это позволяет ввести нормированные функции распределения в фазовом пространстве.

ФАЗОВЫЙ ПЕРЕХОД, фазовое превращение, в широком смысле - переход вещества из одной фазы в другую при изменении внешних условий - темп-ры, давления, магнитного и элект-рич. полей и т. д.; в узком смысле - скачкообразное изменение физ. свойств при непрерывном изменении внешних параметров. Различие двух трактовок термина "Ф. п." видно из следующего примера. В узком смысле переход вещества из газовой фазы в плазменную (см. Плазма) не является Ф. п., так как ионизация газа происходит постепенно, но в широком смысле это - Ф. п. В данной статье термин "Ф. п." рассматривается в узком смысле.

Значение темп-ры, давления или к.-л. другой физ. величины, при к-ром происходит Ф. п., называют точкой перехода.

Различают Ф. п. двух родов. При Ф. п. первого рода скачком меняются такие термодинамич. характеристики вещества, как плотность, концентрация компонент; в единице массы выделяется или поглощается вполне определённое количество теплоты, носящее назв. теплоты перехода. При Ф. п. второго рода нек-рая физ. величина, равная нулю с одной стороны от точки перехода, постепенно растёт (от нуля) при удалении от точки перехода в другую сторону. При этом плотность и концентрации изменяются непрерывно, теплота не выделяется и не поглощается.

Ф. п.- широко распространённое в природе явление. К Ф. п. I рода относятся: испарение и конденсация, плавление и затвердевание, сублимация и конденсация в твёрдую фазу, нек-рые структурные переходы в твёрдых телах, напр. образование мартенсита в сплаве железо-углерод. В антиферромагнетиках с одной осью намагничивания магнитных подрешёток Ф. п. I рода происходит во внешнем магнитном поле, направленном вдоль оси. При определённом значении поля моменты магнитных подрешёток поворачиваются перпендикулярно направлению поля (происходит "опрокидывание" подрешёток). В чистых сверхпроводниках магнитное поле вызывает Ф. п. I рода из сверхпроводящего в нормальное состояние (см. Сверхпроводимость).

При абсолютном нуле темп-ры и фиксированном объёме термодинамически равновесной является фаза с наинизшим значением энергии. Ф. п. I рода в этом случае происходит при тех значениях давления и внешних полей, при к-рых энергии двух разных фаз сравниваются. Если зафиксировать не объём тела V, а давление р, то в состоянии термодинамич. равновесия минимальной является энергия Гиббса Ф (или G), а в точке перехода в фазовом равновесии находятся фазы с одинаковыми значениями Ф (см. Гиббсо-ва энергия).

Многие вещества при малых давлениях кристаллизуются в неплотноупакованные структуры. Напр., кристаллич. водород состоит из молекул, находящихся на сравнительно больших расстояниях друг от друга; структура графита представляет собой ряд далеко отстоящих слоев атомов углерода. При достаточно высоких давлениях таким рыхлым структурам соответствуют большие значения энергии Гиббса. Меньшим значениям Ф в этих условиях отвечают равновесные плотно-упакованные фазы. Поэтому при больших давлениях графит переходит в алмаз, а молекулярный кристаллич. водород должен перейти в атомарный (металлический). Квантовые жидкости 3Не и 4Не при нормальном давлении остаются жидкими вплоть до самых низких из достигнутых темп-р (Т~0,001 К). Причина этого - в слабом взаимодействии частиц и большой амплитуде их колебаний при темп-pax, близких к абс. нулю (т. н. нулевых колебаний, см. Неопределённостей соотношение). Однако повышение давления (до 20 атм при Т=О К) приводит к затвердеванию жидкого гелия. При отличных от нуля темп-pax и заданных давлении и темп-ре равновесной по-прежнему является фаза с минимальной энергией Гиббса (минимальная энергия, из к-рой вычтена работа сил давления и сообщённое системе количество теплоты).

Для Ф. п. I рода характерно существование области метастабильного равновесия вблизи кривой Ф. п. I рода (напр., жидкость можно нагреть до темп-ры выше точки кипения или переохладить ниже точки замерзания). Метастабилъные состояния существуют достаточно долго по той причине, что образование новой фазы с меньшим значением Ф (термодинамически более выгодной) начинается с возникновения зародышей этой фазы. Выигрыш в величине Ф при образовании зародыша пропорционален его объёму, а проигрыш - площади поверхности (значению поверхностной энергии). Возникшие маленькие зародыши увеличивают Ф, и поэтому с подавляющей вероятностью они будут уменьшаться и исчезнут. Однако зародыши, достигшие нек-рого критического размера, растут, и всё вещество переходит в новую фазу. Образование зародыша критич. размера - очень маловероятный процесс и происходит достаточно редко. Вероятность образования зародышей критич. размера увеличивается, если в веществе имеются чужеродные включения макроскопич. размеров (напр., пылинки в жидкости). Вблизи критической точки разница между равновесными фазами и поверхностная энергия уменьшаются, легко образуются зародыши больших размеров и причудливой формы, что отражается на свойствах вещества (см. Критические явления).

Примеры Ф. п. II рода - появление (ниже определённой в каждом случае темп-ры) магнитного момента у магнетика при переходе парамагнетик - ферромагнетик, антиферромагнитного упорядочения при переходе парамагнетик - антиферромагнетик, возникновение сверхпроводимости в металлах и сплавах, возникновение сверхтекучести в 4Не и 3Не, упорядочение сплавов, появление самопроизвольной (спонтанной) поляризации вещества при переходе параэлектрик- сегнетоэлектрик и т. д.

Л. Д. Ландау (1937) предложил общую трактовку всех Ф. п. II рода, как точек изменения симметрии: выше точки перехода система обладает более высокой симметрией, чем ниже точки перехода. Напр., в магнетике выше точки перехода направления элементарных магнитных моментов (спинов) частиц распределены хаотически. Поэтому одновременный поворот всех спинов не меняет физ. свойств системы . Ниже точки перехода спины имеют преимущественную ориентацию. Одновременный их поворот изменяет направление магнитного момента системы. Другой пример: в двухкомпонентном сплаве, атомы к-рого А и В расположены в узлах простой кубической кристаллической решётки, неупорядоченное состояние характеризуется хаотическим распределением атомов Л и В по узлам решётки, так что сдвиг решётки на один период не меняет её свойств. Ниже точки перехода атомы сплава располагаются упорядочение: ...АВАВ... Сдвиг такой решётки на период приводит к замене всех атомов Л на В или наоборот. В результате установления порядка в расположении атомов симметрия решётки уменьшается.

Сама симметрия появляется и исчезает скачком. Однако величина, характеризующая асимметрию (параметр порядка), может изменяться непрерывно. При Ф. п. II рода параметр порядка равен нулю выше точки перехода и в самой точке перехода. Подобным образом ведёт себя, напр., магнитный момент ферромагнетика, электрич. поляризация сег-нетоэлектрика, плотность сверхтекучей компоненты в жидком 4Не, вероятность обнаружения атома А в соответствующем узле кристаллич. решётки двухкомпонент-ного сплава и т. д.

Для Ф. п. II рода характерно отсутствие скачков плотности, концентрации, теплоты перехода. Но точно такая же картина наблюдается и в критич. точке на кривой Ф. п. I рода (см. Критические явления). Сходство оказывается очень глубоким. Вблизи критич. точки состояние вещества можно характеризовать величиной, играющей роль параметра порядка. Напр., в случае критич. точки на кривой равновесия жидкость - пар это - отклонение плотности от среднего значения. При движения по критич. изохоре со стороны высоких темп-р газ однороден, и эта величина равна нулю. Ниже критической температуры вещество расслаивается на две фазы, в каждой из к-рых отклонение плотности от критической не равно нулю. Поскольку вблизи точки Ф. п. II рода фазы мало отличаются друг от друга, возможно образование зародышей большого размера одной фазы в другой (флуктуации), точно так же, как вблизи критич. точки. С этим связаны многие критич. явления при Ф. п. II рода: бесконечный рост магнитной восприимчивости ферромагнетиков и диэлектрической постоянной сегнетоэлектриков (аналогом является рост сжимаемости вблизи критич. точка жидкость-пар), бесконечный рост теплоёмкости, аномальное рассеяние электромагнитных волн [световых в жидкости и паре (см. Опалесценция критическая), рентгеновских в твёрдых телах], нейтронов в ферромагнетиках. Существенно меняются и динамические явления, что связано с очень медленным рассасыванием образовавшихся флуктуации. Напр., вблизи критич. точки жидкость-пар сужается линия рэлеевского рассеяния света, вблизи Кюри точки ферромагнетиков и Нееля точки анти ферромагнетиков замедляется спиновая диффузия (см. Спиновые волны) и т. д. Ср. размер флуктуации (радиус корреляции) R растёт по мере приближения к точке Ф. п. II рода и становится в этой точке бесконечно большим.

Современные достижения теории Ф. п. II рода и критических явлений основаны на гипотезе подобия. Предполагается, что если принять R за единицу измерения длины, а ср. величину параметра порядка ячейки с ребром R - за единицу измерения параметра порядка, то вся картина флуктуации не будет зависеть ни от близости к точке перехода, ни от конкретного вещества. Все термодинамич. величины являются степенными функциями R. Показатели степеней называют критическими размерностями (индексами). Они не зависят от конкретного вещества и определяются лишь характером параметра порядка. Напр., размерности в точке Кюри изотропного материала, параметром порядка к-рого является вектор намагниченности, отличаются от размерностей в критич. точке жидкость - пар или в точке Кюри одноосного магнетика, где параметр порядка - скалярная величина.

Вблизи точки перехода уравнение состояния имеет характерный вид закона соответственных состояний. Напр., вблизи критич. точки жидкость-пар отношение (р-рк)/(ржг ) зависит только от (р-рк)/(ржг )*КТ(здесь р - плотность, рк-критич. плотность, рж - плотность жидкости, рг - плотность газа, р - давле-ние, рк - критическое давление, КТ - изотермическая сжимаемость), причём вид зависимости при подходящем выборе масштаба один и тот же для всех жидкостей (см. Критические явления).

Достигнуты большие успехи в теоретич. вычислении критич. размерностей и уравнений состояния в хорошем согласии с экспериментальными данными. Приближённые значения критич. размерностей приведены в таблице.

Дальнейшее развитие теории Ф. п. II рода связано с применением методов квантовой теории поля, в особенности метода ренормалиэационной группы. Этот метод позволяет, в принципе, найти критические индексы с любой требуемой точностью.

Деление Ф. п. на два рода несколько условно, т. к. бывают Ф. п. I рода с малыми скачками теплоёмкости и др. величин и малыми теплотами перехода при сильно развитых флуктуациях. Ф. п.- коллективное явление, происходящее при строго определённых значениях темп-ры и др. величин только в системе, имеющей в пределе сколь угодно большое число частиц.

Лит.: Ландау Л. Д., Лифшиц Е. М., Статистическая физика, 2 изд., М., 1964 (Теоретическая физика, т. 5); Ландау Л. Д., Ахиезер А. И., Лифшиц Е. М., Курс общей физики. Механика и молекулярная физика, 2 изд., М., 1969; Бpayт Р., Фазовые переходы, пер. с англ., М., 1967;

Фишер М., Природа критического состояния, пер. с англ., М., 1968; Стенли Г., Фазовые переходы и критические явления, пер. с англ., М., 1973; Анисимов М. А., Исследования критических явлений в жидкостях, "Успехи физических наук", 1974, т. 114, в. 2; Паташинский А. 3., Покровский В. Л., Флуктуационная теория фазовых переходов, М., 1975; Квантовая теория поля и физика фазовых переходов, пер. с англ., М., 1975 (Новости фундаментальной физики, вып. 6); Вильсон К., Когут Д ж., Ренормализационная группа и s-разложение, пер. с англ., М., 1975 (Новости фундаментальной физики, в. 5).

В. Л. Покровский.

ФАЗОВЫЙ ПОРТРЕТ, совокупность фазовых траекторий, характеризующая состояния и движения динамич. системы (см. Фазовой плоскости метод).

ФАЗОИНВЕРТОР, электрическое устройство, преобразующее входное напряжение в два напряжения, сдвинутые по фазе на 180°. Простейший Ф.-элект-рич. трансформатор с симметричной вторичной обмоткой, имеющей отвод от ср. точки. Часто в качестве Ф. используют колебательный контур, у к-рого имеется отвод от ср. точек в индуктивной или ёмкостной ветвях (от ср. точки катушки индуктивности или общей точки двух последовательно включённых конденсаторов). В радиотехнич. устройствах получили распространение ламповые, а позднее - транзисторные Ф. с разделённой нагрузкой (рис.). В таких Ф. выходные сигналы на аноде (коллекторе) и катоде (эмиттере) имеют разную полярность (сдвинуты по фазе на 180°). Существуют и др. Ф., напр. собранные на лампе (двойном триоде) по схеме с общим катодом или с общей сеткой, а также на т. н. составных транзисторах. Ф. используют также в измерит. аппаратуре, устройствах вычислит. техники и др.

ФАЗОКОМПЕНСАТОР, источник реактивной мощности, включаемый в определённых узлах электрич. сети либо непосредственно на зажимах нагрузки и служащий для компенсации сдвига фаз между напряжением и током. Применение Ф. позволяет регулировать (поддерживать) напряжение в сети, снижать потери электрич. энергии и увеличивать пропускную способность электрич. коммуникаций. Различают регулируемые и нерегулируемые Ф. Регулируемый Ф. позволяет менять характер реактивной мощности в сети (ёмкостный или индуктивный), что обеспечивает возможность поддержания заданного режима работы сети при изменении влияющих на него условий. Регулируемые Ф. бывают вращающиеся и статические. В качестве вращающихся регулируемых Ф. используют компенсаторы синхронные. Статические регулируемые Ф. выполняют на конденсаторах электрических. Регулирующими элементами в таких Ф. служат управлямые выпрямители тока, регулируемые реакторы электрические или трансформаторы электрические. Н е-регулируемые Ф.-обычно статические, конденсаторного типа. В ряде случаев Ф. дополнительно выполняют роль устройств, симметрирующих нагрузку. В сетях с существенно несинусоидальными нагрузками Ф. используют в качестве фильтров гармонич. колебаний. Статич. Ф. находят применение в преобразоват. устройствах с искусств. коммутацией. Выбор типа Ф. определяется технико-экономич. показателями, учитывающими характер нагрузок сети, скорость и диапазон их изменений, режим работы сети и т. д. См. также Компенсирующие устройства.

Лит.: Мамошин Р. Р., Повышение качества энергии на тяговых подстанциях дорог переменного тока, М., 1973.

Р. Р. Мамошин.

ФАЗОМЕТР, прибор для измерения косинуса угла сдвига фаз (или коэфф. мощности) между напряжением и током в электрич. цепях переменного тока пром. частоты или для измерения разности фаз электрич. колебаний. Измерение косинуса угла сдвига фаз на пром. частоте производят электромеханич. Ф. с непосредств. отсчётом, в к-рых измерит. механизмом служит логометр (электродинамический, ферродинамический, электромагнитный или индукционный); отклонение подвижной части логометра зависит от сдвига фаз соотносимых напряжения и тока. В качестве Ф. для широкого диапазона частот применяют электронно-счётные измерители интервалов времени между моментами прохождения соотносимых колебаний через нуль, а также градуированные измерит. фазовращатели в сочетании с индикаторами нулевой разности фаз (напр., с фазовыми детекторами). Погрешности измерения электромеханическими Ф. 1-3°, электронными 0,05-0,1°.

Лит.: ВншенчукИ. М., Котюк А.Ф., Мизюк Л. Я., Электромеханические и электронные фазометры, М.- Л., 1962; Электрические измерения, под ред. Е. Г. Шрам-кова, М., 1972; Кушнир Ф. В., Радиотехнические измерения, З изд., М., 1975.

ФАЗОРЕГУЛЯТОР, электромеханическое устройство, обычно в виде асинхронной электрической машины с заторможенным фазным ротором (работающей как электрич. трансформатор), позволяющее изменять сдвиг фаз между напряжениями на зажимах источника тока и нагрузки. Обмотку статора (играющую роль первичной обмотки трансформатора) подсоединяют к сети трёхфазного тока, а обмотку ротора (вторичную обмотку) через контактные кольца подсоединяют к нагрузке. Токи в статорной обмотке создают вращающееся магнитное поле, к-рое индуцирует в обмотках статора и ротора эдс. Сдвиг фаз между этими эдс определяется относит. положением статора и ротора Ф. (углом взаимного сдвига электрич. осей фазных обмоток). Поворачивая ротор относительно статора посредством механич. приспособления, напр. при помощи червячного механизма, можно плавно изменять сдвиг фаз между эдс (а следовательно, между первичным и вторичным напряжениями) в пределах от 0° до 360°.

* Изменение плотности с давлением, намагниченности с напряжённостью магнитного поля и др.

При необходимости изменять фазу напряжения в относительно маломощных цепях однофазного переменного тока используют устройства, в к-рых вращающееся магнитное поле создаётся двумя обмотками, магнитный поток одной из к-рых сдвинут по фазе относительно потока второй на четверть периода включением электрич. конденсатора.

В автоматике, телемеханике, преобра-зоват. и измерит. технике для изменения сдвига фаз между напряжениями или токами применяют Ф. на основе четырёхполюсников, состоящих из резисторов, катушек индуктивности и электрич. конденсаторов. Такие Ф. наз. фазосдвигаю-щими цепями и фазовращателями.

Лит.: Электротехнический справочник, 5 изд., т. 1, М., 1974. Г. М. Вотчицев.

ФАЗОРЕНТГЕНОКАРДИОГРАФИЯ, методика исследования функции сердца посредством рентгенографии в различные фазы его деятельности (систола, диастола).

ФАЗОСДВИГАЮЩАЯ ЦЕПЬ, электрическая цепь, на выходе к-рой фазы колебаний отд. гармонич. составляющих спектра распространяющегося по ней сигнала отличаются от фаз соответствующих составляющих на входе. В Ф. ц. с сосредоточенными параметрами сдвиг фаз обусловлен действием реактивных элементов (напр., конденсаторов, катушек индуктивности), а в Ф. ц. с распределёнными параметрами - конечным временем распространения электрич. сигнала от входа цепи до её выхода. Пример простейшей Ф. ц. - Г-образный четырёхполюсник, содержащий реактивный элемент и резистор (рис.) либо 2 разнородных реактивных элемента. Такую Ф. ц. обычно используют для введения фиксированного фазового сдвига в тракт передачи сигнала на пром. частоте и радиочастотах (вплоть до частот метрового диапазона). Ф. ц. имеют большое практич. значение в радиотехнике: их используют для изменения формы входного сигнала (в дифференцирующих устройствах, интегрирующих устройствах), для компенсации фазовых искажений, фазовой модуляции и т. д.

Лит.: 3ернов Н. В., Карпов В. Г., Теория радиотехнических цепей, 2 изд., [Л.], 1972. К. К. Товара.

ФАЗОСДВИГАЮЩЕЕ УСТРОЙСТВО, электрическое устройство в системе управления вентильным преобразователем, предназначенное для создания требуемой задержки во времени (выражаемой обычно в единицах угла сдвига фаз) между моментом естеств. включения (зажигания) вентиля и моментом подачи на него управляющего импульса (см. Преобразовательная техника). Простейшее Ф. у. состоит из дросселя насыщения и резистора (рис.). До момента насыщения дросселя питающее напряжение практически полностью приложено к его обмотке; в момент насыщения падение напряжения на резисторе резко возрастает, и этот скачок напряжения может быть использован непосредственно как управляющий импульс в преобразоват. устройствах с низким быстродействием. В Ф. у. с импульсным трансформатором момент формирования управляющего импульса на выходной обмотке трансформатора можно регулировать, изменяя полярность и силу тока в обмотке управления (подмагничи-вающего тока). Применяют также Ф. у., выполненные на регулируемых резисторах и конденсаторах, и Ф. у. с модуляцией электрич. сигналов и др.

Лит. см. при ст. Преобразовательная техника. Ю. М. Иньков.

ФАЗОТРОН (от фаза и ...трон), циклический резонансный ускоритель тяжёлых заряженных частиц (протонов, дейтронов и др.) с постоянным во времени ведущим магнитным полем и переменной частотой ускоряющего ВЧ электрич. поля. Ф. с азимутально-однородным магнитным полем наз. также синхроциклотроном. См. Ускорители заряженных частиц.

ФАЗОУКАЗАТЕЛЬ, прибор электромагнитной или индукционной системы, предназначенный для определения порядка чередования фаз в трёхфазных электрич. цепях. Порядок чередования фаз определяет направления вращения электродвигателей трёхфазного тока; кроме того, от него зависит правильность работы нек-рых измерит. приборов, устройств автоматич. регулирования и т. д. Обычно Ф. выполняют в виде миниатюрного асинхронного электродвигателя, ротором к-рого служит алюминиевый диск, вращающийся под действием магнитного поля, возбуждаемого токами в трёх обмотках при их подключении к проводам контролируемой цепи. На зажимах Ф. обозначена нек-рая последовательность фаз; если диск вращается в направлении изображённой на нём стрелки, то последовательность фаз цепи соответствует той, что указана на зажимах прибора. Существуют также универсальные Ф., с помощью к-рых можно определять коэфф. мощности и сдвиг фаз между напряжением и током.

ФАЗОУСТАНОВИТЕЛЬ телеграфный, регулировочный узел приёмника стартстопного телеграфного аппарата, позволяющий добиться согласованной (синфазной) работы распределителей передающего и принимающего телегр. аппаратов с целью предотвращения искажений при регистрации кодовых комбинаций телегр. сообщения. При помощи Ф. устанавливают оптимальный момент регистрации каждой посылки принимаемой кодовой комбинации, соответствующий середине длительности посылки.

Лит.: Копничев Л. Н., Коган В. С., Телеграфные аппараты и аппаратура передачи данных, М., 1975.

ФАЗОЧАСТОТНАЯ ХАРАКТЕРИСТИКА (ФЧХ), характеристика линейной электрич. цепи, выражающая зависимость сдвига по фазе между гармоническими колебаниями на выходе и входе этой цепи от частоты гармонич. колебаний на входе. ФЧХ используется гл. обр. для оценки фазовых искажений формы сложного сигнала (напр., видеосигнала), вызываемых неодинаковой задержкой во времени его отд. гармонич. составляющих при их прохождении по цепи. Особенно жёсткие требования предъявляют к ФЧХ нек-рых цепей радиотехнич. систем, осн. на фазовых методах обработки сигналов, систем многоканальной связи и измерит. устройств. Для подавляющего большинства цепей (т. н. минимально-фазовые цепи) ФЧХ однозначно связана с амплитудно-частотной характеристикой.

ФАЗЫ ВОСПРОИЗВОДСТВА, см. в ст. Капиталистический цикл.

ФАЗЫ ЛУНЫ, различные формы видимой части Луны. Смена Ф. л. обусловлена переменами в условиях освещения Солнцем тёмного шара Луны при её движении по орбите. С изменением взаимного расположения Земли, Луны и Солнца терминатор, т. е. граница между освещённой и неосвещённой частями диска Луны, перемещается, что и вызывает изменение очертаний видимой части Луны (см. рис.).

ФАЗЫ РАССЕЯНИЯ, вещественные параметры, характеризующие упругое рассеяние частиц; см. Рассеяние микрочастиц.

ФАЗЫ СКЛАДЧАТОСТИ, сравнительно кратковременные явления ускорения длительных и непрерывных в целом текто-нич. движений (в особенности складкообразования), зафиксированные в толщах пород угловым несогласием, благодаря сочетанию с поднятиями и размывом. Понятие о Ф. с. впервые появилось в трудах франц. геологов А. д'Орбиньи и Л. Эли де Бомона. Более полно оно было сформулировано нем. геологом X. Штил-ле (1913, 1924), к-рый рассмотрел распределение складчатости во времени и дал перечень фаз складкообразования, получившие наименование по местам их типичного проявления. По Штилле, Ф. с. относит. кратковременны, повсеместны в планетарном масштабе и разделены эпохами тектонич. покоя. Эти представления подверглись критике со стороны В. И. Попова (1933), Н. С. Шатского (1937), Дж. Гиллули (1949), А. Л. Яншина (1966) и др., к-рые утверждали длительность складкообразования, отсутствие эпох тектонич. покоя и разновременность Ф. с. в разных областях Земли. Выясняется, что наряду с возрастным скольжением Ф. с. даже в пределах отд. складчатых сооружений наблюдается общая тенденция синхронности проявления осн. эпох тектонич. деформаций (не только складчатых) в глобальном масштабе. См. Тектонические эпохи.

ФАЗЫЛ ХЮСНЮ ДАГЛАРДЖА (Fazil Husnu Daglarca) (p. 1914, Стамбул), турецкий поэт. В 1935 окончил воен. школу. Издавал ежемесячник "Тюркче" ("Turkce", 1960-64). Первые сб-ки стихов "Мир, прочерченный в воздухе" (1935) и "Ребёнок и бог" (1940) принесли поэту известность. Обновление поэтич. форм, частое обращение к непривычным ассоциациям, реалистич. картины анатолийской деревни (сб. стихов "Земля Родная", 1950), глубокие и тонкие размышления о "вечных" проблемах бытия (сб. "Асу", 1955) определили место Ф. X. Д. как одного из самых выдающихся поэтов совр. Турции.

Соч.: Tas devri, 1st., 1945; Uc sehitler destani, 1st., 1956; AC yazi, 1st., 1959; Turk olmak, 1st., 1963; Disardan gazel, 1st., 1965; Viyetnam savasimiz, 1st., 1966; Haydi, 1st., 1968; в рус. пер. - Стихи, в кн.: Из современной турецкой поэзии, М.. 1975.

Лит.: Кabahli A., Turk edebiyati, с. 3, 1st., 1965; Sureуа С., Daglarca siirinde ilk donem, "Turk Edebiyati, 1967", 1st., 1967.

Г. Д. Меликов.

ФАЗЫЛ ЮЛДАШ-ОГЛЫ (1872, кишлак Лойка, ныне Булунгурского р-на Самаркандской обл.,-17.3.1955, там же), узбекский советский нар. поэт-сказитель. Чл. КПСС с 1940. Сын и ученик талантливого булунгурского сказителя Юлдаш-шаира. В репертуаре Ф. Ю. было более 40 дастанов: героич.-"Алпамыш", "Рустам-хан", цикл "Гороглы", "Юсуф и Ахмед"; романич.- "Ширин и Шакар", "Зевархон"; нар. варианты поэм "Юсуф и Зулейха" Дурбека, "Лейли и Медж-нун", "Фархад и Ширин" Навои, "Сейпул-Малик" Маджлиси, "Рустам, сын Зала" Фирдоуси и др. Ф. Ю. создавал дастаны на совр. темы: о нар. восстании 1916 ("Джизакское восстание"), о войне с басмачами ("Ачилдёв") и др. Он - автор мн. песен о Ленине, о Великой Окт. социалистич. революции, о Великой Отечеств. войне 1941-45. Награждён орденом Ленина.

Соч.: Гулшан бог. Зулфизар. Балхувон, Тошкент, 1969; Зевархон, Тошкент, 1970; в рус. пер. - Алпамыш. Узбекский народный эпос. По варианту фазила Юлдаша, М.,

Лит.: Жирмунский В. М., 3арифов X. Т., Узбекский народный героический эпос, М., 1947; Фозил шоир, Тошкент, 1973. Х.Г.Короглы.

ФАЗЫЛОВА Туфа Фазыловна (р. 25.4. 1917, Канибадам), таджикская советская актриса и певица (сопрано), нар. арт. СССР (1957). Чл. КПСС с 1941. В 1930 начала работать в Канибадам-ском муз.-драматич. театре как певица. В 1934-40 выступала в Тадж. муз. театре, в 1940-48 в Тадж. театре оперы и балета им. Айни, с 1948 в Драматич. театре им. Лахути (все в Душанбе). Исполнила партии: Гулизор, Нушофарин ("Восстание Восе", "Кузнец Кова" Баласаня-на), Татьяна ("Евгений Онегин" Чайковского), Зухра ("Тахир и Зухра" Ленского), Марфа ("Царская невеста" Рим-ского-Корсакова) и др. Драматич. роли: Гули ("Алишер Навои" Уйгуна и Султано-ва), Гульнор ("Дохунда" Икрами), Го-нерилья ("Король Лир" Шекспира). Выступает на эстраде как певица. Снималась в кино. Награждена орденом Ленина, 2 др; орденами, а также медалями.

ФАИ (Federation Aeronautique Internationale - FAI), международная авиац. федерация (спортивная). Осн. в 1905 в Париже, штаб-квартира (1976) там же. В 1976 объединяла авиац. орг-ции св. 60 стран. СССР - член ФАИ с 1935 (вначале был представлен Центральным аэроклубом. СССР, ныне - Федерацией авиац. спорта СССР). Среди почётных президентов ФАИ - сов. лётчик В. К. Коккинаки.

ФАИЗ, Файз, Ахмад Фаиз (р. 13.2.1911, Сиалкот), пакистанский поэт, критик, обществ. деятель. Пишет на урду и панджаби. Учился в колледжах Сиалкота в 1917-29 и Лахора в 1929- 1934. В 1947-51 и в 1955-58 ред. прогрессивной газ. "Пакистан тайме" ("Pakistan times"), а в 1948-51 и 1955-58 ред. газ. "Имроз" ("Imros"). Один из организаторов и руководителей Движения сторонников мира в Пакистане. В 1950 стал чл. Всемирного Совета Мира. Участник 1-й Конференции писателей стран Азии в Дели (1956), конференций писателей стран Азии и Африки в Ташкенте (1958) и Алма-Ате (1973). В 1951-55 находился в заключении по обвинению в участии в т. н. деле об "антиправительственном заговоре в Равалпинди". Пред. Нац. совета иск-в Пакистана с 1972. Для лирики Ф. характерны гражданственность, политич. проблематика. Излюбленные поэтич. жанры Ф.-газель, касыда, марсийа. Насыщая традиц. систему образов новым содержанием, Ф. обогатил её революц. символикой. Автор сб-ков "Печальные узоры" (1941), "Руки ветра" (1952, рус. пер. I960), "Тюремные стихи" (1957), "Рука, придавленная камнем" (1963), "Долина Синая" (1971), сб. лит.-критич. статей "Весы" (1962), сб. писем "Кресты на моём окошке" (1971). Междунар. Ленинская пр. "За укрепление мира между народами" (1962). Афро-азиатская лит. пр. "Лотос" (1975).

Соч. в рус. пер.: Многообразие и жизненная сила, "Иностранная литература", 1964, № 4; Письма на волю, там же, 1965, № 10; Роль художника в развивающейся стране, там же, 1970, № 10; [Стихи], там же, 1976, № 2; Избранное, Душ., 1976.

Лит.: Глебов Н. В., Фаиз Ахмад Фаиз. К 60-летию со дня рождения, "Народы Азии и Африки", _1971, № 3; Салганик М., Связь времён, "Иностранная литература", 1976, № 2. М. Л. Салганик.

ФАЙ (Faye) Эрве (1.10.1814, Сен-Бенуа-дю-Со,-4.7.1902, Париж), французский астроном, чл. Парижской АН (1847). Учился до 1836 в Политехнической школе. С 1876-президент Бюро долгот в Париже. Ф. принадлежат работы, посвящённые исследованию физ. строения Солнца, природы комет и др. вопросам. В 1843 открыл комету (оказавшуюся периодической), названную его именем, и вычислил её орбиту. Ф. занимался также вопросами усовершенствования астроно-мич. инструментов, одним из первых применил фотографию для наблюдения звёзд.

Соч.: Cours d'astronomie de 1'Ecole poly-technique, v. 1 - 2, P., 1881 - 83; Une nouvelle theorie du Soleil, "L'Astronomie", 1882, [t.J 1, p. 332 - 35; Sur 1'origine du monde, theories cosmogoniques des anciens et des modernes, 4 ed., P., 1907; Taches et protuberances solaires, "L'Astronomie", 1888, [t.] 7, p. 89 - 93.

ФАЙДА (позднелат. faida, от древне-верхненем. fehida, от fehan - ненавидеть), по герм. варварским правдам - вражда между родами или группами сородичей, а также часть композиции (возмещения), уплачивавшейся семье (или сородичам) пострадавшего и прекращавшей вражду. В ср. века в странах Зап. Европы - частная феод. война, начатая пострадавшей стороной для отмщения обиды. С централизацией гос. власти начала ограничиваться, окончательно запрещена с установлением абсолютизма.

ФАЙЕР Юрий Фёдорович [5(17).1.1890, Киев,-3.8.1971, Москва], советский дирижёр, нар. арт. СССР (1951). Чл. КПСС с 1941. В 1919 окончил Моск. консерваторию. С 1906 солист-скрипач и концертмейстер различных оркестров. С 1916 солист оркестра, в 1923-63 дирижёр балета Большого театра. Репертуар Ф. насчитывал св. 50 балетов. Участвовал в пост. балетов - "Красный мак" Глиэра (1927, с 1957 под назв. "Красный цветок"), "Пламя Парижа" (1933), "Бахчисарайский фонтан" (1936) Асафьева, "Дон Кихот" (1940) Минкуса, "Золушка" (1945), "Ромео и Джульетта" (1946) Прокофьева, "Гаянэ" (1957), "Спартак" (1958) Хачатуряна. Автор кн. "О себе, о музыке, о балете" (1970). Гос. пр. СССР (1941, 1946, 1947, 1950). Награждён орденом Ленина, 2 др. орденами; а также медалями.

ФАЙЗАБАД, город на С.-В. Афганистана, в оазисе, на р. Кокча, адм. центр пров. Бадахшан. 60 тыс. жит. (1966). Автодорогой соединён с гл. кольцевой автотрассой Кабул - Кандагар - Герат - Мазари-Шариф - Кабул. Обработка кожи и шерсти. Мельницы. Торг. центр.

ФАЙЗИ (псевд.; наст. фам.-Файзуллин) Ахмед Сафиевич [26.2(11.3). 1903, Уфа, -11.8.1958, Казань], татарский советский писатель, засл. деят. иск-в РСФСР (1957). Учился в Оренбургском вост. ин-те (1921). Участник Великой Отечеств. войны 1941-45. Печатался с 1918. Отдал дань формалистич. увлечениям, но с сер. 1920-х стал писать в реалистич. манере. Поэма "Флейты" (1933) - о духовных исканиях интеллигенции; баллады "Пустыня н человек" (1936) - о нравств. стойкости сов. человека, "Почему молчит чёрный камень" (1940) посв. В. И. Ленину. Поэт-лирик, автор мн. сб-ков стихов. Изучал жизнь и творчество Г. Тукая, написал драму "Тукай" (1938), опубл. 1-ю ч. романа о поэте (1952), создал либретто первого тат. балета "Шурале" (1955) по мотивам поэтич. сказок Тукая; либретто оперы о М. Джалиле (музыка Н. Жиганова); его драматургия - крупное явление тат. сов. лит-ры.

Соч.: Эсэрлэр, т. 1-3, Казан, 1965-66; Сайланма эсэрлэр, Казан, 1970; в рус. пер.- Тукай. Роман, М., 1966.

Лит.: История татарской советской литературы, М., 1965; Гиниятуллина А., Писатели Советского Татарстана. Биобиблиография, справочник, Каз., 1970.

ФАЙЗИ (псевд.; наст. фам.- Файзуллин) Мирхайдар Мустафович [19 (31). 10.1891, дер. Кукшелово, ныне Оренбургской обл.,-9.7.1928, Баймак Башк. АССР], татарский советский драматург. Один из зачинателей тат. сов. лит-ры. Учился в медресе. В 1918-26 вёл культ.-просветит. работу в тат. и башк. деревне. Писать начал в 1905. Первый сб. "Мои стихи" опубл. в 1912. Комедии "Два Ха-сана" (1909), "Молодёжь не даст обмануть себя" (1911, пост. 1913); социально-кри-тич. пьесы "Жалкая" (1913), "На реке Урал" (1917-18, опубл. 1919), "Белый колпак" (1922-23) и др. Особое влияние на развитие тат. драматургии оказала реалистич. драма "Галиябану" (1916, пост. 1917, опубл. 1922, рус. пер. 1958) о дореволюц. тат. деревне. Пьеса "Красная звезда" (1921-23)-о рождении новых человеческих отношений в сов. время. Ф. изучал и собирал фольклор, составил сб. нар. песен.

Соч.: Сайланма эсэрлар, т. 1 - 2, Казан, 1937; Галиябану. Пьесалар, Казан, 1962; в рус. пер.-Драмы, М., 1961.

Лит.: История татарской советской литературы, М., 1965; Нуруллии И., XX йоз башы татар здэбияты, Казан, 1966.

ФАЙЗИЕВ Латиф Абидович (р. 2.1. 1929, Ташкент), советский кинорежиссёр, засл. деят.иск-в Узб. ССР (1964). Учился и одновременно был актёром в Ташкентском театре юного зрителя (1941-45). В 1951 окончил ВГИК. С этого же года работает на киностудии "Узбекфильм". Поставил: "Крушение эмирата" (1955, совм. с В. П. Басовым), "Священная кровь" (1957), "По путёвке Ленина" (1958), "Птичка-невеличка" (1961), "Звезда Улугбека" (1965),"Родившийся в грозу" (1966), "Сыны Отечества" (1968); фильмы-балеты - "Легенда старой крепости" (1970), "Ожившие миниатюры" (1971) и др. На киностудии "Таджикфильм" в 1975 совм. с инд. кинематографистами поставил фильм "Восход над Гангом". В 1958-67 первый секретарь Союза кинематографистов Узб. ССР. Награждён орденом "Знак Почёта" и медалями.

ФАЙКО Алексей Михайлович (р. 7(19). 9.1893, Москва], русский советский драматург. Окончил ист.-филологич. ф-т МГУ (1917). Дебютировал в 1921 (комедия "Дилемма"). Мелодрама "Озеро Люль" (пост. 1923), комедия "Учитель Бубус" (пост. 1925), драма "Евграф, искатель приключений" (пост. 1926) сочетают условное начало с бытовым, реальным. Драма "Человек с портфелем" (1928, пост. Моск. театра Революции), ознаменовавшая переход к строго реалистич. манере,-одна из первых сов. пьес, глубоко и принципиально решавших проблему "интеллигенция и революция". Ф. принадлежат также пьесы "Концерт" (1936), "Капитан Костров" (1946), "Не сотвори себе кумира" (1956; пост. Ленингр. театра Комедии). Переводит пьесы драматургов народов СССР. Награждён 3 орденами.

Соч.: Пьесы, М., 1935; Драмы и комедии, М., 1958; Театр. Пьесы. Воспоминания. (Послесл. Н. Р. Войткевич), М., 1971.

Лит.: Алперс Б., Крушение индивидуализма. Творческий портрет А. Файко, "Театр и драматургия", 1935, № 12; Сурков Е., Удар по человеку с портфелем, "Театр", 1957, № 6; Войткевич Н., Мастер комедии. К 80-летию со дня рождения Файко, там же, 1973, № 11. Б. Яранцев.

ФАЙНЦИММЕР Александр Михайлович [р.31.12.1905 (13.1.1906), Екатеринослав, ныне Днепропетровск], советский кинорежиссёр, засл. деят. иск-в БССР (1935) и Литов. ССР (1954). В 1928 окончил режиссёрский ф-т Гос. техникума кинематографии. Получил известность острогротесковой комедией "Поручик Киже" (1934). Значит. место в творчестве Ф. занимают фильмы о сов. флоте -"Балтийцы" (1938), "Танкер „Дербент"" (1941), "За тех, кто в море!" (1948). Ряд лучших работ посвящён Гражданской войне и Великой Отечеств. войне, партиз. движению-"Котовский" (1943), "Константин Заслонов" (1949, совм. с В. В. Корш-Саблиным), "У них есть Родина" (1950). Поставил совм. с литов. кинематографистами фильм "Над Неманом рассвет" (1953). В 1955 экранизировал роман Войнич "Овод". Обращался к муз. комедии-"Девушка с гитарой" (1958), "Спящий лев" (1965) и др. Гос. пр. СССР (1950, 1951). Награждён орденом "Знак Почёта" и медалями.

ФАЙНШТЕЙН (нем. Feinstein, букв.- чистый штейн), полупродукт металлур-гич. произ-ва (безжелезистый сульфид), получаемый при конвертировании штейнов. По хим. составу различают Ф. медный (Cu2S), чаще наз. белым маттом, никелевый (Ni3S2) и медноникелевый (Cu2S, Ni3S2), к-рый перед переработкой на металл разделяют флотацией на медный и никелевый.

ФАЙХИНГЕР (Vaihinger) Ханс (25.9. 1852, Нерен близ г. Тюбинген,- 18.12. 1933, Галле), немецкий философ-идеалист. Проф. ун-тов в Страсбурге с 1883, в Галле с 1906; автор "Комментария к „Критике чистого разума" И. Канта" (т. 1-2, 1881-82); основатель журн. "Kant - Studien" (1897) и Кантовского об-ва (1904). В гл. соч. "Философия как если бы" (1911) Ф. под влиянием Канта, предлагавшего пользоваться осн. мировоззренч. идеями (душа, мир, бог) "как если бы" (als ob) их объекты были реальны (см. Соч., т. 3, М., 1964, с. 571-72), развил субъективно-идеа-листич. концепцию фикционализма, или "критич. позитивизма". Считая научные и филос. понятия ("атом", "бесконечно-малое", "абсолют", "бог" и др.) фикциями, к-рые не имеют теоретич. ценности, но практически важны, Ф. пришёл к агно-стич. выводам о невозможности познания действительности как она есть "на самом деле" и к признанию ощущений конечной доступной познанию данностью.

Соч.: Hartmann, Duhring und Lange, Iserlohn, 1876; Pessimismus und Optimismus, В.. 1924; в рус. пер.-Ницше как философ, СПБ, 1913.

Лит.: Бакрадзе К. С., Очерки по истории новейшей и современной буржуазной философии, Тб., 1960.

ФАЙЮМ, оазис в Египте, на В. Ливийской пустыни. Центр - г. Файюм (Эль-Файюм). Расположен в тектонич. впадине на глубине 43 м ниже у. м. В центре Ф.- солоноватое озеро Биркет-Карун, к-рое соединено рукавом Юсуф с Нилом. Осн. занятие населения - орошаемое земледелие; возделывают хлопчатник, зерноные (кукуруза, пшеница, рис), бобовые культуры. Рощи финиковых пальм. Небольшие предприятия текст., пищ., кож. пром-сти. Ремёсла. В оазисе имеются следы палеолитич. и не-олитич. стоянок (см. Фаюмские поселения). В 1887 в Ф. были найдены заупокойные живописные портреты (т. н. Фаюмские портреты).

ФАЙЮМ, Эль-Файюм, Мединетэл ь-Файюм, город в Египте, в оазисе Файюм; адм. ц. мухафазы Файюм. 150,9 тыс. жит. (1970). Ж.-д. станция. Хл.-очистит., хл.-бум., шерстяная, кож., табачная пром-сть. Центр с.-х. р-на (хлопчатник, зерновые, бобовые).

ФАКЕЛ, посёлок гор. типа в Игринском р-не Удмуртской АССР. Расположен в 12 км к С. от ж.-д. станции Игра. Стекло-комбинат.

ФАКЕЛЫ, светлые образования волокнистой структуры, наблюдаемые на поверхности Солнца. Лучше всего видны у краёв солнечного диска, в особенности около групп солнечных пятен.

ФАКЕЛЬНАЯ ТОПКА, топка паровых и водогрейных котлов или печей, в к-рой топливо (угольная пыль, распылённый мазут или газ) сгорает в факелах, занимающих большую часть объёма топочной камеры (в отличие от слоевой топки). В зависимости от расположения горелок факелы могут не иметь поворота в топке (при подовом или сводовом расположении горелок) либо поворачиваться на 90° (при горизонтальном расположении горелок) или на 180° (U-образный факел). Темп-pa факела в ядре горения доходит до 2000 0С, постепенно снижаясь примерно до 1000 °С на выходе из топки. Для Ф. т. характерно интенсивное теплоизлучение пламени на стены топки. Стены Ф. т. обычно покрыты экранами из водоохлаждаемых труб, а у совр. мощных паровых котлов состоят из плавниковых труб, сваренных между собой. При этом тяжеловесная наружная обмуровка из огнеупорных кирпичей, применявшаяся на старых котлах, заменяется лёгкой изоляцией, навешиваемой с наружной стороны на экранные плавниковые трубы. Большая часть совр. топок - факельные.

ФАКЕЛЬНЫЙ ПРОЦЕСС, 1) процесс зажигания рабочей смеси в форкамерно-факелъных двигателях внутр. сгорания. Зажигание бедных рабочих смесей в осн. камере сгорания осуществляется факелом горящих газов (отсюда и назв. процесса), выбрасываемых из небольшой форкамеры, заполняемой богатой рабочей смесью, к-рая поджигается электрич. свечой зажигания. Факел горящих газов в осн. камере служит не только для под-жигания, но и для интенсивной турбулизации бедной смеси, что увеличивает скорость и полноту сгорания. 2) Процесс сгорания топлива в камерах сгорания факельных топок.

ФАКЕЛЬНЫЙ РАЗРЯД, один из видов высокочастотного одноэлектродного электрического разряда в газах. При давлениях порядка атмосферного и выше Ф. р. имеет форму, близкую к форме пламени свечи. С понижением давления Ф. р. постепенно утрачивает свою характерную форму, превращаясь в разряд с равномерным диффузным свечением. Ф. р. может протекать при частотах порядка 10 Мгц и выше. Он может возникать различным образом, напр. при удалении одного из электродов высокочастотного дугового разряда или при повышении мощности короны высокочастотной. Как и коронный разряд, Ф. р. наиболее легко зажигается на электродах с большой кривизной - на остриях, тонких проволоках и т. д. Темп-pa Ф. р. в различных точках различна; вблизи электрода она достигает 4000 "К.

Лит. см. при статьях Коронный разряд, Электрический разряд в газах.

"ФАКЕЛЬЩИКИ", употреблявшееся в рус. лит-ре название участников крест. восстания в Китае в 1852-68, поднятого членами тайных об-в "Нянь". См. Нянъ-цзюньское восстание.

ФАКИР (араб., букв.-бедняк), 1) му-сульм. странствующий дервиш. 2) В Индии, кроме того, общинный слуга, отправляющий мусульм. обряды, связанные с с.-х. циклом. 3) Иногда Ф.-фокусник, дрессировщик, прорицатель, знахарь (именно в этом значении слово "Ф." распространено в Европе). 4) В цирке и на эстраде исполнитель номера, основанного на показе нечувствительности тела к физ. боли (достигнутой в результате длит. тренировки), а также использовании иск-ва престидижитатора.

Лит.: Вадимов А. А., Тривас М. А., От магов древности до иллюзионистов наших дней, М., 1966.

ФАКИР БАЙКУРТ (Fakir Baykurt) (p. 30.6.1929, с. Акчакёй, вилайет Бур-дур), турецкий писатель. Окончил ин-т сел. учителей в Гёнене (1949), пед. ин-т в Анкаре (1955). Преподавал; с 1960 служил инспектором нач. школ в Анкаре. В 1971 был арестован как представитель левого демократич. направления, до 1973 находился в тюрьме. Лит. деятельность начал в 40-х гг. как поэт. Известность ему принесли романы "Месть змей" (1959, рус. пер. 1964) и "Житие Иразд-жи" (1961)-о тяжёлой жизни совр. тур. деревни. В 1962 опубл. остросоциальный роман "Десятая деревня" (1961, рус. пер. 1967). Рассказы и повести Ф. Б.- значит. явление в совр. тур. прозе: сб-ки "Боль в желудке" (1961), "Карлик Мухаммед" (1964), "Анатолийский гараж" (1970). Автор исследований по тур. фольклору.

Соч.: Efendilik savasi, 1st., 1959; Kaplum-bagalar, 1st., 1967; Amerikan sargisi, 1st., 1967; Tirpan, 1st., 1970; On binlerce kagni, 1st., 1971; Can parasi, 1st., 1973.

Лит.: Алькаева Л. О., Из истории турецкого романа, М., 1975; Тatаr1i I., Мо11оf R., Marksist acidan tiirk romani, 1st., 1969; Fethi Naci, On tiirk romani, 1st., 1971.

ФАКСИМИЛЕ (от лат. fac simile - сделай подобное), 1) точное воспроизведение графич. оригинала (подписи, рукописи, документа и т. д.) фотографич. или печатным способом. 2) Клише-печать, воспроизводящая подпись.

ФАКСИМИЛЬНАЯ СВЯЗЬ, фототелеграфная связь, фототелеграф, передача на расстояние плоских неподвижных изображений (графических, иллюстративных и буквенно-цифровых) с воспроизведением их в пункте приёма, осуществляемая электрич. сигналами, распространяющимися по проводам, или радиосигналами; вид электросвязи. Исторически Ф. с. включают в состав телеграфной связи. По сравнению с последней она характеризуется большим разнообразием передаваемой документальной информации и более высокой помехоустойчивостью.

Методами и средствами Ф. с. пользуются при передаче фототелеграмм и материалов полос центр. газет при децентрализованной печати последних. Ф. с. служит также для оперативной передачи иллюстраций к печатным периодич. изданиям, визуальной информации с космич. аппаратов, инж. и технологич. информации при внутрипроизводств. связи (на крупных предприятиях), для обмена гидрометеокартами между метеорологич. станциями и т. д.

Ф. с. включает следующие осн. операции: разбиение всей поверхности объекта передачи (оригинала) в передатчике факсимильного аппарата на большое число достаточно малых элементов (элементарных площадок), различающихся по определённому физ. признаку (напр., по оптич. плотности), и последовательное - элемент за элементом - преобразование изображения объекта в серию электрич. импульсов, несущих информацию об оригинале в соответствии с выбранным признаком; передача этих импульсов по линии связи; их обратное преобразование и запись в той же последовательности в приёмном устройстве, в результате чего получается копия передаваемого изображения.

Историческая справка. Впервые передачу на расстояние неподвижного изображения осуществил итал. физик Дж. Казелли в 1855. Сконструированный им электромеханич. аппарат мог передавать изображение текста, чертежа или рисунка, предварительно нанесённого на свинцовую фольгу спец. изолирующим лаком так, что оригинал представлял собой совокупность перемежающихся элементов с большой (фольга) и ничтожно малой (лак) электропроводностью. Передающее устройство посредством контактного штифта, скользящего по оригиналу, "считывало" элементы изображения, передавая в линию связи токовые и бестоковые сигналы. Принятое изображение записывалось электрохимич. способом на увлажнённой бумаге, пропитанной раствором железосинеродистого калия (феррицианида калия). Аппараты Казелли использовались на линиях связи Москва - Петербург (1866-68), Париж - Марсель, Париж - Лион. Однако несовершенство таких аппаратов и гл. обр. необходимость переноса передаваемого изображения на фольгу ограничили область их применения.

В 1868 нем. изобретатель Б. Мейер предложил способ записи принимаемого изображения с помощью одновитковой спирали, покрытой слоем типографской краски. На обычной бумаге, прижимаемой в определённые моменты времени к вращающейся спирали, оставались мелкие штрихи, из к-рых и складывалось изображение. Этот способ применяется в усовершенствованном виде и в совр. Ф. с.

Качественно новые способы и технич. средства Ф. с. начали развиваться с 20-х гг. 20 в. после открытия фотоэффекта, изобретения электронных ламп, усилителей электрических колебаний и создания разветвлённой сети линий и каналов связи, по к-рым осуществляется факсимильная передача. В 30-х гг. в СССР были разработаны и получили распространение фототелеграфные аппараты (напр., ЗФТ-А4, ФТ-37, ФТ-38), осн. на использовании при записи изображения фотографич. методов и материалов (см. Фотографическая запись). В Германии подобная аппаратура носила назв. бильдтелеграф, в США - телефакс,

телеавтограф. С 50-х - 60-х гг. Ф. с. применяется для передачи не только фототелеграмм, но и изображений карто-графич. материалов и газетных полос. Кроме фотографического, появились и др. методы записи изображения, поэтому ранее использовавшийся термин "фототелеграфная связь" по рекомендации Междунар. консультативного к-та по телефонии и телеграфии (МККТТ) в 1953 был заменён более общим-"Ф. с.".

Структура, технические средства и методы современной Ф. с. Тракт Ф. с. включает передатчик, линию связи и приёмник.

В передатчике факсимильного аппарата осуществляется анализ оригинала точечным световым пятном - развёртывающим элементом (см. Развёртка), к-рый построчно обегает всю площадь оригинала, разбивая её на элементарные площадки, характеризующиеся способностью в разной степени отражать падающий на них световой поток. Отражённый от поверхности оригинала световой поток, модулированный по интенсивности в соответствии с отражат. способностью площадок, падает на фотоэлектрич. преобразователь, где превращается в пропорциональный световому потоку электрич. ток-видеосигнал. В качестве фотоэлектрич. преобразователей в факсимильной аппаратуре используют фотоэлектронные умножители (ФЭУ) или (реже) фотоэлементы. Далее в передатчике производится модуляция ВЧ колебаний видеосигналом с целью преобразования последнего к форме, удобной для передачи по каналу связи. В Ф. с., как правило, применяется амплитудная или (реже) частотная модуляция.

В качестве каналов Ф. с. используют стандартные телефонные каналы проводной связи или радиотелефонные каналы, характеризующиеся полосой пропускания от 0,3 до 3,4 кгц. Для быстрой передачи больших объёмов факсимильной информации (напр., газетных полос) указанный диапазон частот становится недостаточным, в этом случае для передачи изображений необходимы более широкополосные каналы - первичный, с полосой 48 кгц, или вторичный - 240 кгц (см. Многоканальная связь).

В приёмнике факсимильного аппарата прежде всего осуществляется демодуляция (см. Детектирование) принятого линейного сигнала, т. е. выделение из него видеосигнала. Далее производится преобразование видеосигнала в изображение (копию), записываемое на носитель. Копия синтезируется в приёмнике из всех элементарных площадок, располагаемых на носителе в той же последовательности, в к-рой соответствующие площадки располагались на оригинале. Эту операцию в Ф. с. называют свёрткой изображения.

В Ф. с. нашли применение след. способы записи принимаемого изображения: фотографический, при к-ром в качестве носителя используется фотобумага или фотоплёнка (запись ведётся точечным источником света, яркость к-рого изменяется в соответствии с изменением видеосигнала во времени); электрохимический , осн. на использования спец. бумаги, чернеющей при пропускании через неё электрич. тока (записывающим элементом служат 2 точечных электрода, между к-рыми располагается бумага, и запись осуществляется непосредственно видеосигналом, усиленным до требуемой величины); штриховой, или чернильный, при к-ром носителем является обычная бумага, а записывающим элементом - ролик, смазанный спец. краской, или чернильное перо, приводимое в движение электромагнитом (модификацией этого способа является запись через копировальную бумагу). Фо-тографич. способ - закрытый: фотобумага или плёнка помещается в светонепроницаемую кассету. Это не позволяет контролировать визуально качество копии до окончания приёма и последующей фотохимич. обработки носителя. Открытые способы записи - электрохимический и штриховой - лишены этого недостатка и не требуют дополнит. обработки носителя после записи. Др. способы записи - электротермический и электростатический - не получили значит. распространения.

При всех способах записи записывающий элемент перемещается по носителю вдоль строки, а затем переходит на след. строку. Развёртывающий элемент передатчика также движется по строкам. Для обеспечения точного соответствия копии оригиналу необходимо, чтобы передатчик и приёмник работали синхронно и синфазно, т. е. движение развёртывающего элемента передатчика и записывающего элемента приёмника происходило с одинаковой скоростью и начиналось для каждой из строк в один и тот же момент времени. Несоблюдение этих условий приводит к появлению геометрич. искажений принятого изображения или полной потере изображения. Синхронизация и фазирование в факсимильных аппаратах осуществляются вручную или автоматически, при помощи спец. устройств, управляющих перемещением развёртывающего и записывающего элементов.

Все изображения, передаваемые средствами Ф. с. (а также сами факсимильные аппараты), подразделяются на 2 группы: чёрно-белые, имеющие лишь две градации оптич. плотности - чёрную и белую (к ним относят рукописи, чертежи, карты, изображения газетных полос и машинописный текст); полутоновые, имеющие неск. градаций плотности, напр. чёрную, тёмную, серую, светлую и белую (примером полутоновых изображений являются художеств. фотографии, для вы-сококачеств. воспроизведения к-рых необходимо иметь возможность передавать не менее 8-12 градаций оптич. плотности). Чёрно-белые изображения могут быть записаны в приёмнике любым из перечисленных способов записи. Полутоновые материалы хорошо воспроизводятся лишь фотографич. способом.

Количественные показатели Ф. с. 1) Размер передаваемого изображения. Стандартный формат изображения-220 X X 290 мм; при передаче газетных полос он составляет 422 X 600 мм. 2) Скорость факсимильной передачи, измеряемая количеством строк, передаваемых в минуту. При передаче изображений по телеф. и радиотелеф. каналам стандартизованы скорости 60, 120 и 250 строк в мин. Передача газетных полос ведётся со скоростями 178, 1500 или 2250 строк в мин. 3) Время передачи изображения. Оно составляет (в зависимости от скорости передачи): для формата 220 X 290 мм - от 6 до 25 мин, для газетной полосы - от 2,8 до 50 мин. 4) Чёткость, или разрешающая способность, характеризующая качество воспроизведения мелких деталей изображения. Измеряется макс. количеством линий, приходящихся на 1 мм длины строки, к-рые раздельно (не сливаясь) воспроизводятся приёмником. Значение чёткости в обычных факсимильных аппаратах - 5 линий на мм, а в аппаратуре для передачи газетных полос - от 13 до 16 линий на мм. 5) Количество градаций оптич. плотности, раздельно воспроизводимых на принятой копии (только для полутоновых аппаратов).

Лит.: Передача дискретной информации и телеграфия, 2 изд., М., 1974; Копничев Л. Н., Коган В. С., Телеграфные аппараты и аппаратура передачи данных, М., 1975. Л. Я. Копничев.

ФАКСИМИЛЬНЫЙ АППАРАТ, фототелеграфный аппарат, комплекс механич., светооптич. и электронных устройств, предназначенный для передачи изображений неподвижных плоских объектов (оригиналов) по элект-рич. каналам связи (см. Факсимильная связь) или для приёма таких изображений (с воспроизведением объекта передачи в виде его копии - факсимиле). Ф. а. подразделяются на передающие, приёмные (рис. 1) и приёмо-передающие.

Передающий Ф. а. (или передатчик приёмо-передающего Ф. а.) содержит (рис. 2) анализирующую систему, к-рая служит для преобразования изображения оригинала в видеосигнал, и электронный узел преобразования видеосигнала в форму, удобную для передачи по каналу связи (модулятор). Анализирующая система включает: светооптич. устройство, формирующее узкий световой пучок, к-рый образует на поверхности оригинала "точечное" световое пятно; развёртывающее устройство (см. Развёртка), к-рое направляет световой пучок поочерёдно (в заданной последовательности) на все элементарные площадки, в результате чего от поверхности отражается световой поток, модулированный по интенсивности в соответствии с отражат. способностью площадок; фотоэлектрич. преобразователь, преобразующий отражённый световой поток в пропорциональный ему электрич. ток (видеосигнал). В узле преобразования видеосигнала осуществляется модуляция колебаний - позитивная амплитудная (при к-рой макс. уровень колебаний с несущей частотой соответствует чёрному полю передаваемого изображения), негативная амплитудная (максимальный уровень колебаний соответствует белому полю изображения), позитивная частотная (более высокая частота соответствует белому полю) или негативная частотная (более высокая частота соответствует чёрному полю).

Приёмный Ф. а. (или приёмник приёмо-передающего Ф. а.) содержит электронный узел выделения видеосигнала, предназначенный для демодуляции (см. Детектирование) принимаемых модулированных колебаний, и синтезирующую систему, формирующую копию передаваемого изображения; синтезирующая система состоит из развёртывающего и записывающего устройств. В качестве носителя записи используют фотобумагу, фотоплёнку, электрографич., электро-химич., электротермич. или обычную писчую бумагу, ферромагнитные и др. материалы .

Развёртывающие устройства приёмного и передающего Ф. а. часто аналогичны; конструктивно они подразделяются на механические и электронные. Наибольшее распространение получили Ф. а. с механич. развёрткой барабанного, плоскостного и дугового типов, осуществляемой при помощи синхронных электродвигателей. В Ф. а. с барабанной развёрткой оригинал (или носитель записи) закрепляется на поверхности цилиндра. Развёртка осуществляется в результате вращения цилиндра и его постулат. перемещения вдоль оси при неподвижном развёртывающем элементе (световом пятне) либо в результате вращения цилиндра и одновременного перемещения развёртывающего элемента вдоль образующей цилиндра. В Ф. а. с плоскостной развёрткой оригинал укрепляется между протягивающими валиками. Развёртка по строкам осуществляется развёртывающим элементом, перемещаемым по оригиналу при помощи качающегося зеркала, а по кадру (переход развёртывающего элемента на след. строку) - перемещением самого оригинала. В Ф. а. с дуговой развёрткой оригинал (или носитель записи) размещается внутри цилиндрич. камеры. Развёртка осуществляется в результате вращения оптич. системы и перемещения камеры - на один шаг за каждый оборот оптич. системы.

Синхронизация развёртывающих устройств передающего и приёмного Ф. а. осуществляется либо автономно (в этом случае электродвигатели развёртывающих устройств питаются от высокостабильных по частоте камертонных или кварцевых генераторов независимо друг от друга), либо принудительно (по сигналам синхронизирующей частоты, поступающим от передающего Ф. а. на приёмный, или посредством включения синхронных двигателей в единую электроэнергетич. систему). Фазирование развёртывающих устройств осуществляется в приёмном Ф. а. автоматически, полуавтоматически или вручную.

К основным параметрам Ф. а. относятся: скорость развёртки, т. е. число строк разложения в мин N; индекс взаимодействия (модуль), равный D*m для барабанных и L*m/п для плоскостных Ф. а. (D - диаметр барабана, L - длина строки, т - плотность строк развёртки, т. е. их число на мм); время передачи, равное h • m/N (h - высота кадра).

Лит.: Мельник С.О., Оксман М.И., Фототелеграфные " аппараты, М., 1966; Фототелеграфная передача и децентрализованное печатание центральных газет, М., 1971; Копничев Л. Н., Коган В. С., Телеграфные аппараты и аппаратура передачи данных, М., 1975. С. О. Мельник.

ФАКТ (от лат. factum - сделанное, свершившееся), 1) в обычном словоупотреблении синоним понятий истина, событие, результат. 2) Знание, достоверность к-рого доказана. 3) В логике и методологии науки Ф. - особого рода предложения, фиксирующие эмпирич. знание.

ФАКТ ЮРИДИЧЕСКИЙ, обстоятельство, с к-рым правовая норма связывает возникновение, изменение или прекращение правоотношения. В ряде случаев основанием возникновения прав и обязанностей является сложный фактич. состав (комплекс Ф. ю.). Ф. ю. подразделяются на события (обстоятельства, не зависящие от воли людей,- землетрясение, истечение срока и т. п.) и действия, т. е. обстоятельства, происходящие по воле людей,- правомерные (акты соблюдения права гражданами, применения права гос. органами, суд. решения, сделки и др.) и неправомерные (преступления, адм. и дисциплинарные проступки, гражд. правонарушения).

ФАКТИЧЕСКИЙ БРАК, супружеские отношения, не оформленные в установленном законом порядке (см. Брак). В СССР Ф. б. не порождает супружеских прав и обязанностей, предусматриваемых законодательством о браке и семье. С 1927 по 8 июля 1944 законодательство о браке и семье РСФСР и др. союзных республик (кроме Азерб. ССР, Тадж. ССР, Узб. ССР и УССР) допускало признание в суд. порядке юридич. силы за Ф. б. Дети, рождённые в таком браке, приравнивались в правах и обязанностях по отношению к родителям к детям, рождённым в зарегистриров. браке. После принятия Указа Президиума Верховного Совета СССР от 8 июля 1944, предусматривающего обязательность регистрации брака, установление судом фактич, брачных отношений, возникших после 8 июля 1944, не допускается. Супругам, состоявшим в Ф. б. до издания Указа, было предоставлено право зарегистрировать брак с указанием срока совм. жизни. В случае смерти одного из супругов или пропажи его без вести на фронте в воен. время др. супруг вправе обратиться в суд с заявлением о признании его супругом умершего или пропавшего без вести лица. См. также ст. Внебрачные дети.

ФАКТОГРАФИЧЕСКИЙ ПОИСК, информационный поиск, при к-ром отыскиваемая информация имеет характер конкретных фактич. сведений (в отличие от документального поиска, позволяющего получить сведения лишь об источниках информации).

ФАКТОР (нем. Faktor, от лат. factor - делающий, производящий), причина, движущая сила к.-л. процесса, определяющая его характер или отд. его черты. См. также Факторов теория.

ФАКТОР ГЕОМЕТРИЧЕСКИЙ, в фотометрии величина, определяющая геометрию пучка излучения. Ф. г. G зависит только от размеров и взаимного расположения диафрагм (см. Диафрагма в оптике), совместно выделяющих в пространстве из всех возможных прямых такое множество направлений, к-рое определяет луч или, при конечных размерах области, занятой излучением,- пучок этого излучения. Ф. г. одинаков для всех поверхностей, пересекаемых прямыми, входящими в данное множество (инвариантен относительно них), и принимается за меру этого множества (см. Мера множества). Для сопряжённых нач. и конечной диафрагм Аи и Ап оптич. системы, например

где d2G - второй дифференциал от Ф. г., dAИ и dAП - площади сопряжённых участков диафрагм или источника и приёмника; Ои и Оп - углы между направлением излучения и перпендикулярами к излучающей и освещаемой поверхностям;  заполненные излучением телесные углы со стороны Аи и Ап. Инвариантность Ф. г. сохраняется и для широких световых пучков. Ф. г. используют для построения систем фотометрических величин: так, яркость вдоль луча L = d2 Ф/d2G, где Ф - или световой поток, или поток излучения. Понятие о мере множества лучей было впервые введено сов. учёным А. А. Гершуном в 30-х гг. 20 в.

Лит.: Гершун А. А., Мера множества лучей, "Труды Государственного оптического ин-та", 1941, т. 14, в. 112 - 20; Теrriеn J., Desvignes F., La photometric, P., 1972. А. А. Волъкенштейн.

ФАКТОРГРУППА (матем.), группа, элементами к-рой являются нек-рые совокупности элементов другой группы G, а именно: классы смежности G по нормальному делителю Н.

ФАКТОРИАЛ (англ. factorial, от factor-сомножитель) (матем.), произведение натуральных чисел от единицы до к.-л. данного натурального числа п, то есть l*2*...*n; обозначается n!. При больших п приближённое выражение Ф. даётся Стирлинга формулой. Ф. равен числу перестановок из п элементов.

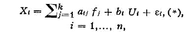
ФАКТОРНЫЙ АНАЛИЗ, раздел статистического анализа многомерного, объединяющий методы оценки размерности множества наблюдаемых переменных посредством исследования структуры ковариационных или корреляционных матриц. Основное предположение Ф. а. заключается в том, что корреляционные связи между большим числом наблюдаемых переменных определяются существованием меньшего числа гипотетич. ненаблюдаемых переменных или факторов. В терминах случайных величин - результатов наблюдений X1,..., Хп общей моделью Ф. а. служит следующая линейная модель:

где случайные величины fjсуть общие факторы, случайные величины Ui суть факторы, специфические для величин Xi и не коррелированные с fj, a ei суть случайные ошибки. Предполагается, что k < п задано, случайные величины ei независимы между собой и с величинами fjи Ui и имеют

Постоянные коэффициенты аij наз. факторными нагрузками (нагрузка i-й переменной

на j-й фактор). Значения аij, bi и ci2 считаются неизвестными параметрами, подлежащими оценке. В указанной форме модель Ф. а. отличается нек-рой неопределённостью, т. к. п переменных выражаются здесь через п + k других переменных. Однако уравнения (*) заключают в себе гипотезу о ковариационной матрице, к-рую можно проверить. Напр., если факторы fj некоррелированы и сij - элементы матрицы ковариаций между величинами Xi, то из уравнений (*) следует выражение для сijчерез факторные нагрузки и дисперсии ошибок:

Т. о., общая модель Ф. а. равносильна гипотезе о ковариационной матрице, а именно о том, что ковариационная матрица представляется в виде суммы матрицы А = ij} и диагональной матрицы А с

Процедура оценивания в Ф. а. состоит из двух этапов: оценки факторной структуры - числа факторов, необходимого для объяснения корреляционной связи между величинами Xi, и факторной нагрузки, а затем оценки самих факторов по результатам наблюдения. Принципиальные трудности при интерпретации набора факторов состоят в том, что при k > 1 ни факторные нагрузки, ни сами факторы не определяются однозначно, т. к. в уравнении (*) факторы fjмогут быть заменены любым ортогональным преобразованием. Это свойство модели используется в целях преобразования (вращения) факторов, к-рое выбирается так, чтобы наблюдаемые величины имели бы максимально возможные нагрузки на один фактор и минимальные нагрузки на остальные факторы. Существуют различные практические способы оценки факторных нагрузок, имеющие смысл в предположении, что Х1, ..., Хп подчиняются многомерному нормальному распределению с ковариационной матрицей С = {cij}. Выделяется максимального правдоподобия метод, к-рый приводит к единственным оценкам для сij, но для оценок аijдаёт уравнения, к-рым удовлетворяет бесчисленное множество решений, одинаково хороших по статистическим свойствам.

Ф. а. возник и первоначально разрабатывался в задачах психологии (1904). Область его приложения значительно шире - Ф. а. находит применение при решении различных практич. задач в медицине, экономике, химии и т. д. Однако многие результаты и методы Ф. а. пока ещё не обоснованы, хотя практики ими широко пользуются. Математическое строгое описание совр. Ф. а.- задача весьма трудная и до сих пор в полной мере не решённая.

Лит.: Лоули Д., Максвелл А., Факторный анализ как статистический метод, пер. с англ., М., 1967; Xарман Г., Современный факторный анализ, пер. с англ., М., 1972. А. В. Прохоров.

ФАКТОРОВ ТЕОРИЯ, термин, традиционно используемый для обозначения социологич. концепций, пытающихся объяснить изменение состояний общества воздействием к.-л. явления, признаваемого единств. фактором, определяющим эти изменения.

В истории социальной мысли известно неск. попыток такого объяснения механизма развития общества. К их числу относятся географич., демографич., пси-хологич., в конце 19 в.- технологич. и и др. виды детерминизма. Однако всякий раз эти попытки приводили к ситуации (к-рую Г. В. Плеханов назвал заколдованным кругом взаимодействия), вызываемой тем, что явление, используемое в качестве фактора, прежде чем стать причиной, было следствием (см. "К вопросу о развитии монистич. взгляда на историю", гл. 2). В кон. 19 - нач. 20 вв. ряд бурж. социологов (М. Вебер, М. М. Ковалевский), неправомерно изображая марксизм как однофакторную теорию - экономич. детерминизм, противопоставлял ему т. н. концепцию множества факторов, согласно к-рой развитие общества определяется одновременным воздействием экономич., демографич., религ., психологич. и др. факторов. Подобная позиция приводит к эклектике, механич. соединению различных факторов.

К. Маркс, Ф. Энгельс и В. И. Ленин отвергли попытки вульгаризации марксизма, изображения его как экономич. детерминизма. Марксизм рассматривает общество как развивающуюся систему, изображает "...весь процесс в целом (а потому также и взаимодействие между его различными сторонами)" (Маркс К. и Энгельс Ф., Соч., 2 изд., т. 3, с. 37), выделяя при этом в качестве определяющего способ производства. См. также Исторический материализм, Формация общественно-экономическая.

ФАКТУРА (от лат. factura - обработка, строение) в изобразительных искусствах, характер поверхности художеств. произведения, её обработки. В живописи Ф.- характер красочного слоя: напр., "открытая" Ф. (широкий мазок, неровный слой краски) или "скрытая" гладкая Ф.; в скульптуре и декоративно-прикладном иск-ве - полированная, шероховатая и т. д. поверхность статуи, рельефа, произв. художеств. ремесла. Эффекты Ф., являющиеся одним из признаков, наиболее непосредственно выявляющих личный творческий почерк того или иного мастера, служат задаче всестороннего раскрытия содержания. Однако распространённые в модернистском иск-ве 20 в. эксперименты по усложнению Ф. (коллаж, введение в красочный слой опилок, песка и т. д.) нередко способствуют разрушению изобразительного начала.

В музыке, муз. ткань, совокупность элементов изложения (осн. мелодия, др. мелодич. голоса, аккорды, фигурация, орнаментика и др.), образующая звуковую ткань муз. произв. Ф. определяется содержанием произведения, компо-зиц. принципами (гомофония, полифония), выразит. и технич. возможностями муз. инструментов или голосов.

Лит.: Vо1avka V., Die Handschrift des Malers, Prag, [1956]; eго же, Die Handschrift des Bildhauers, Prag, [1958].

ФАКТУРНАЯ МАШИНА, устройство для обработки алфавитно-цифровых документов (напр., счетов, счётно-платёжных требований, калькуляц. ведомостей, строит. смет и т. д.), требующей несложных вычислений (сложения, вычитания, умножения, деления, вычисления процентов и др.), при этом результат обработки автоматически печатается пишущей машиной на бумаге и одновременно фиксируется на вспомогат. носителе информации (магнитной ленте, перфоленте, перфокартах). В состав Ф. м. входят электрич. пишущая машина, вычислит. устройство (в совр. Ф. м.- мини-ЭВМ), устройство программного управления и блок записи на вспомогат. носитель информации. Ф. м. используют на машиносчётных станциях, в бухгалтериях торговых и пром. предприятий, в банках, на крупных складах, в строительно-монтажных управлениях и т. д.; применение Ф. м. существенно ускоряет процесс обработки учётно-отчёт-ной документации. С развитием автоматизированных систем управления (АСУ) Ф. м. стали применять в качестве устройств ввода данных в АСУ.

Различные модели Ф. м. отличаются друг от друга шириной каретки пишущей машины (32, 45 и 62 см), набором выполняемых ими вычислит. операций и степенью автоматизации. В Сов. Союзе распространены Ф. м. типа ВА-345М и ВА-345П, а также "Зоемтрон" (ГДР) и др.

Лит.: Механизация инженерно-технического н управленческого труда, Л., 1973; Иванов А. П., Брагина Р. Г., Абрамова Л. Д., Техническое обеспечение автоматизированных систем управления, М., 1974. Ю. Ф. Щелочков.

ФАКУЛЬТАТИВНЫЕ ЗВУКИ, звуки, к-рые могут замещать друг друга в одних и тех же фонетич. условиях, не изменяя лексич. значения слова. Обычно их наз. факультативными вариантами фонемы. Ф. з. характеризуют определённый стиль речи или определённый слой лексики и не считаются нарушением нормы (см. Норма языковая), напр. мена фрикативного [Т] и смычного [Г] в словах "благодать", "ого!", удлинение начального [z] в нем. речи как показатель эмоциональных оттенков (напр., в слове zo?! -"да-а?"). Ф. з. получают различную социальную оценку в плане нормативности, напр. во франц. яз. образцово-нормативным является произношение V увулярного, а переднеязычное V, хотя и допустимо, но расценивается как "сниженное" в сравнении с нормой.

ФАКУЛЬТАТИВНЫЙ (франц. facultatif, от лат. facultas - возможность), возможный, необязательный, предоставляемый на выбор (напр., факультативный курс), действующий от случая к случаю.

ФАКУЛЬТАТИВНЫЙ КУРС, в СССР необязательный уч. курс, предмет, изучаемый по желанию студентами вузов, уч-ся ср. специальных и проф.-технич. уч. заведений и общеобразоват. школ (старшие классы) в целях расширения и углубления науч. и прикладных знаний, развития способностей и удовлетворения личных интересов. Ф. к. организуются по новейшим проблемам науки, техники и культуры, а также по темам, заинтересовавшим студентов (уч-ся) в процессе изучения той или иной уч. дисциплины. Примерный перечень рекомендуемых Ф. к. обычно содержится в действующих уч. планах. Советам вузов (ф-тов), пед. советам ср. спец. и проф.-технич. уч. заведений и общеобразоват. школ предоставлено право организовывать Ф. к. по своему усмотрению в соответствии с интересами студентов (уч-ся). Существуют также факультативные практикумы, семинары, лабораторные занятия и т. п. К проведению факультативных занятий в средних уч. заведениях привлекаются работники высшей школы и н.-и. учреждений, специалисты народного х-ва и культуры. В. А. Юдин.

ФАКУЛЬТЕТ (нем. Fakultat, от лат. facultas - возможность, способность), учебно-научное и адм. подразделение высшего учебного заведения, осуществляющее подготовку студентов и аспирантов по одной или неск. родственным специальностям, повышение квалификации специалистов соответствующей отрасли нар. х-ва и культуры, а также руководство н.-и. деятельностью кафедр, к-рые он объединяет.

Деление уч. заведений на Ф. установилось в ср.-век. университетах - т. н. артистический (общеобразовательный), мед., юридич., богословский Ф. С дифференциацией наук и развитием пром-сти в 18-19 вв. кол-во Ф. значительно возросло - появились физ.-математич., ист.-филологич., филос., биологич., технич. и др. Ф. В 19 и нач. 20 вв. подразделения типа Ф. в технич. вузах часто наз. отделениями, а в совр. высшей школе ряда стран их наз. департаментами, ин-тами, колледжами. Во многих вузах существуют самостоят. заочные и вечерние Ф., подготовительные -для иностранных граждан (в СССР вузовские подразделения для повышения уровня общеобразоват. подготовки рабочей и сел. молодёжи и создания ей необходимых условий для поступления в высшую школу наз. подготовительными отделениями), Ф. повышения квалификации специалистов.

В СССР для общенауч. и общеинж. подготовки студентов-заочников в целях приближения уч. центров к месту работы и жительства студентов при вузах организуются общетехнич. Ф., к-рые работают по вечерней и заочной системам обучения и, как правило, по унифицированным уч. планам, рассчитанным на первые три курса. По окончании общетехнич. Ф. студенты продолжают обучение по избранной специальности на соответствующем Ф.

Для орг-ции уч. работы по специальностям или по видам обучения в составе Ф. создаются отделения. Руководство работой Ф. осуществляет декан, для рассмотрения осн. вопросов деятельности Ф. при декане организуется совет Ф. (см. Совет вуза и научного учреждения).

В. А. Юдин.

ФАКЦИИ (лат. factiones), термин, употреблявшийся в Рим. империи для обозначения совокупности лиц, связанных с устройством конных состязаний, в дальнейшем перенесённый исследователями византинистами на известные с 4 в. спортивные орг-ции в визант. городах, ведавшие подготовкой и проведением цирковых и спортивных зрелищ. К Ф. примыкали широкие слои "болельщиков", именовавшиеся "народом" (греч. demos, множ. ч. demoi - димы). Обычно в городе было 4 Ф., они (так же, как и димы) назывались в соответствии с цветом одежды возниц спортивных колесниц: голубые (венеты), зелёные (прасины), белые (левки), красные (русии). Наиболее значительными были в Константинополе венеты и прасины, игравшие в 5-7 вв. серьёзную политич. роль. С сер. 7 в. утратили политич. значение, занимаясь лишь орг-цией спортивных состязаний и торжественных церемоний в Константинополе.

ФАЛ (голл. val), снасть, служащая для подъёма и спуска парусов с рангоутом (реями, гафелями и др.) и без него (напр., кливеров, стакселей), флагов и сигнальных знаков. Название получают в зависимости от назначения, напр. кливер-Ф., сигнальные Ф. Изготовляется из растительного, синтетического или стального троса.

ФАЛАБОРВА, Пхалаборва (Phala-borwa), пром. посёлок в ЮАР, на В. пров. Трансвааль. Крупный горнопромышленный комплекс, введённый в строй в 1966. Значит. запасы меди (св. 2 млн. т), апатитов (ок. 70 млн. т), а также вермикулита. Медеплавильный з-д.

ФАЛАЛЕЕВ Фёдор Яковлевич [19(31). 5. 1899, дер. Полянская, ныне Можгинского р-на Удм. АССР, - 12.8.1955, Москва], советский военачальник, маршал авиации (1944). Чл. КПСС с 1918. Род. в крестьянской семье. После Окт. революции 1917 член Можгинского ревкома. В Сов. Армии с 1919. В Гражд. войну участвовал в боях на Вост. фронте и в борьбе с бандитизмом на Украине, политработник. После войны комиссар полка. Окончил курсы "Выстрел" (1928), воен. школу пилотов (1933) и Военно-возд. академию им. Н. Е. Жуковского (1934). С 1940 зам. команд. ВВС 1-й Отд. Дальневост. армии, с 1941 ген.-инспектор авиации, затем 1-й зам. нач. Гл. управления ВВС Красной Армии. Во время Великой Отечеств. войны 1941-45 команд. ВВС 6-й армии, Юго-Зап. фронта и Юго-Зап. направления. С окт. 1942 по апр. 1946 нач. штаба и зам. команд. ВВС Красной Армии (в 1943-45 2-й зам. команд. ВВС). Был представителем Ставки Верх. Главнокомандования в Сталинградской битве, в Крымской, Белорус., Прибалт. и Вост.-Прус. операциях. В 1946-50 нач. Военно-возд. академии. С 1950 в отставке по болезни. Награждён орденом Ленина, 3 орденами Красного Знамени, 2 орденами Суворова 1-й степени, орденами Кутузова 1-й степени, Суворова 2-й степени, Красной Звезды, "Знак Почёта" и медалями, а также рядом иностр. орденов.

ФАЛАНГА (греч. phalanx) (воен.), тесно сомкнутое линейное построение греч. пехоты (гоплитов) для боя. Ф. имела 8-16 рядов (реже до 25), по фронту занимала до 500 м (при ряде в 1000 чел.). Ф. была известна ещё во время Троянской войны, но окончательно оформилась в 6 в. до н. э. Была усовершенствована Филиппом Македонским, включившим в Ф. пелтастов и кавалерию. Т. н. большая македонская Ф. насчитывала 16 384 гоплита, 8192 пелтаста и 4096 конных воинов. Были установлены подразделения Ф., осн. из к-рых: лохос (1 ряд из 16 гоплитов), синтагма (16 лохосов), малая Ф. (16 синтагм). Комбинации различных подразделений Ф. позволяли производить определённый манёвр. Боевое построение могло также быть различным - квадрат, уступ, клещи. Основа действия Ф.- фронтальная атака гоплитов, вооружённых сарисами (длинными копьями). Тактическая Ф. действовала как единое целое, обладала значит. силой фронтального удара. Однако она была малоподвижна, её ряды быстро расстраивались при движении. Применялась в Др. Риме до введения манипулярного строя (кон. 4 в. до н. э.), а также в позднем Риме в войнах с варварами.

ФАЛАНГИ, отряд членистоногих; то же, что сольпуги.

ФАЛАНГИ (от греч. phalanx - сустав) (анатомич.), небольшие трубчатые кости, образующие скелет пальцев конечностей у позвоночных животных и человека. Строение пальцев тесно связано с образом жизни животных. У большинства древнейших наземных позвоночных - стегоцефалов и у хвостатых земноводных число Ф. в 1-4-м пальцах передней конечности выражается формулой 2,2,3,2, а у большинства бесхвостых земноводных - 2,2,3,3. В задней конечности у стегоцефалов 2,2,3,4,3 Ф., так же как и у бесхвостых земноводных; у хвостатых земноводных 2(1), 2, 3, 3, 2. У пресмыкающихся число Ф. больше - обычно 2,3,4,5,3(4) в обеих конечностях; у черепах может понижаться до 1-2. У вымерших ихтиозавров было до неск. десятков Ф. (гиперфалангия), что повышало гибкость превращённой в плавник конечности. У птиц передняя конечность преобразовалась в крыло и сохранились лишь 3 пальца (2-4-й). 3-й палец имеет 2-3 Ф., 2-й и 4-й - обычно по одной рудиментарной Ф. У млекопитающих чаще 5 пальцев на передней и задней конечностях и формула Ф.- 2,3,3,3,3. У плавающих (китообразные) отмечается гиперфалангия в ластах; у летающих (рукокрылые) удлиняются 2-5-й пальцы, несущие летательную перепонку; у лазающих Ф. пальцев расширены, выпуклы на тыльной стороне и вогнуты на ладонной. У человека каждый палец, кроме большого, состоит из 3 Ф. (основная, средняя, концевая, или ногтевая), а большой - из 2 Ф. Основные Ф. сочленяются с головками пястных (на руках) или плюсневых (на ногах) костей шаровидными суставами. Между собой кости Ф. соединяются блоковидными суставами, в к-рых происходит сгибание и разгибание. Н. С. Лебёдкина.

ФАЛЕЗСКАЯ ОПЕРАЦИЯ 1944, наступательная операция англо-амер. армий 10-21 авг. с целью окружения и разгрома нем.-фаш. войск в р-не Фалез (Falaise), Мортен, Аржантан (Сев. Франция) во время 2-й мировой войны 1939- 1945. В ходе боёв 7-10 авг. по отражению контрудара крупной группировки нем.-фаш. войск (до 12 дивизий) в р-не Мортена для союзников возникла возможность окружить и уничтожить осн. силы нем.-фаш. группы "Б" (5-я танк. и 7-я армии). 21-я англ. (командующий ген. Б. Монтгомери) и 12-я амер. (командующий ген. О. Брэдли) группы армий занимали рубеж: восточнее Кана, западнее Мортена, Майенна, Ле-Мана. Союзники обладали превосходством в силах и средствах, особенно в авиации. 15-й корпус 3-й амер. армии нанёс удар из р-на Ле-Мана на С. и 13 авг. достиг Аржантана, но приостановил наступление на разграничит. линии между 12-й и 21-й группами армий. 2-й корпус 1-й канад. армии наступал из р-на Кана на Ю. в направлении на Фалез. 2-я англ. и 1-я амер. армии наступали в юго-вост. направлении, тесня противника с фронта. 17 авг. англ. войска захватили Фалез. Образовался т. н. "Фалезский мешок", выход из к-poro для нем.-фаш. войск был возможен лишь через узкую горловину между Фалезом и Аржантаном. 19 авг. части 2-го канад. корпуса продвинулись к Шамбуа и Трену и соединились с наступавшими с Ю. амер. войсками, окружив значит. часть группировки противника. 20 авг. командование нем.-фаш. группы армий "Б" провело контрудар силами танк. соединений и деблокировало окружённую группировку. Осн. масса нем.-фаш. войск, потеряв в ходе Ф. о. до 10 тыс. убитыми и ок. 50 тыс. пленными, вышла из "Фалезского мешка" и отошла за р. Сена.

Ф. о. была успешной для союзных войск, но окружить и уничтожить нем.-фаш. группировку они не смогли, несмотря на благоприятные условия. Командование союзных армий и корпусов проявило медлительность и излишнюю осторожность, опасаясь переходить установленные разграничит. линии и переоценивая возможности своей авиации.

ФАЛЁНКИ, посёлок гор. типа, центр Фалёнского р-на Кировской обл. РСФСР. Ж.-д. станция на линии Киров-Яр, в 137 км от Кирова. Маслодельный з-д. Гос. селекционная станция.

ФАЛЕРИСТИКА (лат. falerae, phale-rae - металлич. украшения, служившие воинскими знаками отличия, от греч. phalara - металлич. бляхи, побрякушки), вспомогательная ист. дисциплина, изучающая историю орденов, медалей, знаков отличия и традиционно включаемая в нумизматику, в широком смысле - коллекционирование нагрудных значков и знаков, а также жетонов (как правило, сувенирных, юбилейных, памятных, значительно реже - служебных, членских, нагрудных и т. п.). Как вид коллекционирования стала популярной

Ф. Я. Фалалеев.

в 1-й пол. 20 в. (в СССР -с кон. 50-х гг.) с расширением междунар. связей, развитием туризма и массовым выпуском как общегосударственными, так и местными (в капиталистич. странах и частными) предприятиями различных сувенирных, памятных и др. значков (в СССР ежегодно ок. 1,5 тыс. видов). Обычно имеет тематич. характер: геральдика, портретистика, история, спорт, транспорт, архитектура и т. д. В отличие от филателии, филокартии, филофонии не опирается на строгую систему, т. к. не поддаётся междунар. или нац. каталогизации. В СССР материалы по Ф. публикуются в сб. "Советский коллекционер" и бюллетене "Филателия СССР".

Лит.: Ильинский В. Н., Значки и их коллекционирование, М., 1974.

Г. В. Антонов.

ФАЛЕС (Thales) (ок. 625-547 до н. э.), др.-греч. философ, родоначальник ан-тич. и вообще европ. философии и науки, основатель милетской школы. Происхо-

дил из Милета (М. Азия). По преданию, путешествовал по странам Востока, учился у егип. жрецов и вавилонских халдеев. Возводил всё многообразие явлений и вещей к единой основе (пер-востихии или первоначалу), к-рой считал "влажную природу", воду: всё возникает из воды и в неё превращается. Для Ф. характерен гилозоизм: "мир одушевлён и полон богов"; вслед за Гомером мыслил душу в виде тонкого (эфирного) вещества. Предсказал солнечное затмение 585 до н. э.

Фрагменты в рус. пер., в кн.: Маковельский А., Досократики, ч. 1, Каз., 1914, с. 9 - 24.

Лит.: Томсон Д ж., Первые философы, пер. с англ., т. 2, М., 1959, с. 145-58; Л о-сев А. Ф., История античной эстетики, М., 1963, с. 339 - 43; Михайлова Э. Н., Чанышев А. Н., Ионийская философия, М., 1966, с. 25 - 50. А. Ф. Лосев.

ФАЛЕШТЫ, город (с 1940), центр Фа-лештского р-на Молд. ССР, на шоссе Бельцы-Яссы, в 3 км от ж.-д. ст. Фалеш-ты (на линии Бельцы-Город-Унгены). Пищевая промышленность; ремонтные заводы.

ФАЛЛАДA (Fallada) Ханс (псевд.; наст. имя Рудольф Дитцен, Dit-zen) (21.7.1893, Грейфсвальд, - 5.2.1947, Берлин), немецкий писатель. Сменил множество занятий; с 1932 проф. литератор. Вероломство гос. политики в отношении крестьян, нравы бульварной прессы разоблачил в романе "Крестьяне, бонзы и бомбы" (1931). Роман "Маленький человек, что же дальше?" (1932, рус. пер. под назв. "Что же дальше?", 1934) посв. трагедии мелких служащих, угнетённых безработицей и нищетой. Нравств. деградацию "маленьких" людей Ф. объясняет аморальностью бурж. системы ("Кто отведает тюремной похлёбки...", 1934), развенчивает легенду о "безобидности" нем. обывателя ("Человек стремится вверх", 1943, изд. 1953). При фашизме подвергался преследованиям; антибурж., антимилитаристской на-

правленностью отмечены романы-эпопеи "Волк среди волков" (1937, рус. пер. 1957), "Железный Густав" (1938, рус. пер. 1969). В послевоенные годы - бургомистр в Фельдберге (сов. зона оккупации). Участвовал в деятельности Кулътурбунда. Вершина реалистич. творчества Ф.- роман "Каждый уми-

рает в одиночку" (1947, рус. пер. 1948) - о жизни в гитлеровской Германии и ан-тифаш. борьбе берлинской рабочей семьи.

Соч.: Der junge Goedeschal, В., 1920; Damals bei uns daheim, Stuttg., 1943; Heute bei uns zu Haus, Stuttg. - В., 1943; Der Alp-druck, В., 1947; Der Trinker, В., 1950.

Лит.: Фрадкин И., Литература новой Германии, 2 изд., М., 1961; Сучков Б., Лики времени, т. 1, М., 1976; История немецкой литературы, т. 5, М., 1976; Маnthеу J., Hans Fallada in Selbstzeugnissen und Bilddokumenten, [Reinbek bei Hamb.], 1963. л. Кауфман.

ФАЛЛОПИЕВЫ ТРУБЫ (по имени итал. анатома Г. Фаллопия, описавшего их в сер. 16 в.), маточные трубы, яйцеводы, парный трубчатый орган млекопитающих животных и человека, расположенный в верх, крае широкой связки матки. В Ф. т. происходит оплодотворение яйцеклетки и перемещение её из яичника в матку. Подробнее см. Маточные трубы.

ФАЛЛОПИЙ, Фалоппио (Falloppio или Falloppia) Габриеле (1523, Модена, - 9.10.1562, Падуя), итальянский врач и анатом. Изучал медицину в Модене. Ученик А. Веэалия. Проф. ун-тов в Пизе (1548-51), Ферраре (1548) и Падуе (с 1551). Осн. труды по анатомии человека. Описал скелет и сосуды плода, а также паховую связку, канал лицевого нерва внутри каменистой части височной кости, яйцеводы человека (фаллопиевы трубы) и др. Изучал строение печени, желче- и мочевыводящие пути.

Соч.: Opera genuina omnia, t. 1 - 3, Venetiis, 1606.

ФАЛУН (Falun), город в Центр. Швеции. Адм. ц. лена Коппарберг. 46,8 тыс. жит. (1975). Машиностроение, хим. пром-сть. В прошлом меднорудный центр; ныне в р-не Ф.- добыча пиритов.

ФАЛЬКБЕРГЕТ (Falkberget) Юхан (30.9.1879, Ругельдален, Рёрус,-5.4. 1967, там же), норвежский писатель. Реалистич. творчество Ф., на к-рое оказал влияние М. Горький, посв. в основном трудящимся: повести "Бьярне" (1903), "Хаук Углеватн" (1906), "Чёрные горы" (1907), "Жертва огня" (1917, рус. пер. 1965), сб. рассказов "Минеры" (1908). На ист. темы написаны повести "Эли, дочь Сиурда" (1913, рус. пер. 1913), "Охотник на медведя" (1919), тетралогия "Хлеб ночей" (1940-59). Романы "Четвёртая ночная стража" (1923), "Христиан VI" (т. 1-3, 1927-35) -об истории норв. рабочего класса.

Соч.: Verker, bd 1-12, Oslo, 1956 - 1959; Jegsadem, Oslo, 1963; в рус. пер. - У вечных снегов, "Новая жизнь", 1911, № 12; Одна из тяжёлых ночей, "Путь", 1912, № 10; У могил бедняков, там же, 1912, № 11; Как наши прадеды на лыжах ходили, в сб.: Рассказы скандинавских писателей, М., 1957.

Лит.: Thesen R., Johan Falkberget og bans rike, Oslo, 1959; Rogstad K. G., Johan Falkberget, Trondheim, 1964.

Л. Г. Григорьева.

ФАЛЬКЕНЗЕ (Falkensee), город в ГДР, в округе Потсдам. 25,5 тыс. жит. (1975). С.-х. машиностроение, произ-во конвейерных установок, химикалий, ювелирных изделий.

ФАЛЬКЕНХАЙН (Falkenhayn) Эрих фон (11.9.1861, замок Бельхау, ныне близ г. Торунь, Польша,- 8.4.1922, замок Линдштедт, близ г. Потсдам, ныне ГДР), германский генерал от инфантерии (1915). Окончил Академию Генштаба (1890). В 1896-99 воен. советник в кит. армии. В 1900-01 участвовал в подавлении Ихэтуанъского восстания. В 1913- 1914 воен. министр. После поражения герм. войск в Марнском сражении в сент. 1914 назначен нач. Генштаба. Придавая первостепенное значение Зап. фронту, Ф. пытался в 1915 наступлением на Вост. фронте вывести из войны Россию, а в 1916 перенёс гл. удар на 3. (на Верден), но нигде не добился решающего успеха. В авг. 1916 заменён ген. П. Гинденбургом и назначен команд. 9-й армией, к-рая в кон. 1916 совместно с группой ген. А. Макензена нанесла поражение рум. армии. В 1917-18 команд. группой армий "Ф" в Турции. С марта 1918 команд. 10-й армией на оккупиров. терр. Сов. России.

Соч.: Верховное командование 1914 - 1916 в его важнейших решениях, пер. с нем., М., 1923.

Лит.: ZwehI H., Erich von Falkenhayn. General der Infanterie, B., 1926.

ФАЛЬКОНЕ (Falconet) Этьенн Морис (1.12.1716, Париж, -24.1.1791, там же), французский скульптор. Сын столяра. В детстве занимался резьбой по дереву; в 1734-44 учился у скульптора Ж. Б. Лемуана в Париже. Одно из первых значит. произв. Ф.- группа "Милон Кротонский" (гипсовая модель, 1744, Эрмитаж, Ленинград; мрамор, 1754, Лувр, Париж) - отличается барочным драматизмом. В 1750-е - нач. 1760-х гг. Ф. создавал аллегорич. и мифологич. статуи и группы ("Пигмалион", 1763, там же, и др.), а также модели для севрских статуэток из бисквита ("Купальщица", илл. см. т. 23, табл. VIII, стр. 64-65; в 1757- 1766 Ф. руководил скульпт. мастерской Севрской мануфактуры); в этих произв. чувственность иск-ва рококо сочетается с чистотой форм, свойственной классицизму 18 в.

Талант Ф.-монументалиста в полную силу раскрылся в период пребывания скульптора в России (1766-78) и его работы над памятником Петру I, установленному на Сенатской пл. (ныне пл. Декабристов) в Петербурге (илл. см. также т. 14, табл. XXII, стр. 320-321; голову Петра I моделировала ученица Фалько-не М. А. Колло). В духе просветительской философии 18 в. Ф., по его словам, представил Петра как "созидателя, законодателя, благодетеля своей страны". Пьедесталом памятника послужила гранитная скала, обработанная в форме морской волны. Мощная бронзовая фигура всадника, осадившего и вздёрнувшего на дыбы скачущего коня, полна ге-роич. пафоса; стремительный порыв органично сочетается в ней с торжеств. величием. Блестящее воплощение нашли в памятнике (за к-рым благодаря одно-им. поэме А. С. Пушкина закрепилось назв. "Медный всадник") идеи могучего подъёма страны, драматич. сложности переломного момента в истории. Важную роль в образно-пластич. решении этого лучшего произв. Ф. играет тонко продуманное многообразие аспектов его восприятия. Ф. продемонстрировал умение преодолевать технич. трудности (фигура коня опирается на задние ноги и хвост, прикреплённый к змее, символизирующей зависть и козни врагов).

Не дождавшись открытия памятника (1782), Ф. в 1778 уехал в Голландию, а в 1780 вернулся во Францию (последние 10 лет жизни, разбитый параличом, он не работал). Значит. место в наследии Ф. занимают теоретич. сочинения мастера, тесно связанные с эстетикой франц. просветителей (Д. Дидро и др.).

Соч.: CEuvres..., t. 1-6, Lausanne, 1781, 3 ed., Gen., 1970; в рус. пер., в кн.: Мастера искусства об искусстве, т. 3, [М., 1967].

Лит.: Аркин Д., Медный всадник, М. - Л., 1958; 3арецкая 3. В., Фальконе, Л. - М., [19651; Каганович А. Л., "Медный всадник", Л., 1975; Levitine G., The sculpture of Falconet, Greenwich, 1972.

ФАЛЬКОНЕТ (итал.falconetto), название арт. орудия калибра 45-100 мм, состоявшего на вооружении в армиях и флотах в 16-18 вв. В России первые Ф. весом ок. 250 кг были отлиты в 1547. В нек-рых армиях в 18 в. Ф. наз. полковые 45-55-мм пушки. Ф. стреляли свинцовыми ядрами, перевозились 1-2 лошадьми. Во флоте Ф. применялись на гребных судах и яхтах.

ФАЛЬСЕН (Falsen) Кристиан Магнус (14.9.1782, Кристиания, ныне Осло,- 13.1.1830, там же), норвежский политич. деятель. Адвокат; с 1807 адвокат Верх. суда Норвегии, с 1808 сел. судья 1-й инстанции, с 1814 губернатор Бергенской губ. Пред. комиссии по выработке текста Эйдсволльской конституции 1814 (соавтор её первого проекта). С 1822 ген. прокурор, с 1827 председатель Верх, суда Норвегии.

ФАЛЬСИФИКАЦИЯ (позднелат. fal-sificatio, от falsifico - подделываю), 1) злостное, преднамеренное искажение данных, заведомо неверное истолкование ч.-л. 2) Изменение с корыстной целью вида или свойства предметов; подделка.

ФАЛЬСТЕР (Falster), остров в зап. части Балтийского м., на Ю.-В. Датских о-вов. Терр. Дании. Пл. 514 км2. Нас. 46,5 тыс. чел. (1966). Поверхность - всхолмлённая моренная равнина (выс. до 44 м); часть терр. Ф. лежит ниже ур. м. Луга, небольшие массивы широколиств. лесов. Соединён мостами с близлежащими о-вами Зеландия (дл. 3,2 км) и Лолланн. Возделывание сах. свёклы, зерновых; молочное животноводство. На Ф.- г. Нюкёбинг.

ФАЛЬЦЕВАЛЬНАЯ МАШИНА в полиграфии, складывает отпечатанные листы бумаги в тетради путём фальцовки. По способу получения фальцев (сгибов) различают Ф. м. ножевого, кассетного и комбинированного типов. В ножевых Ф. м. (рис.) сгиб образуется в результате проталкивания фальцуемого листа тонкой стальной пластинкой-ножом в щель. Полученная бум. петля захватывается валиками, к-рые формируют линию сгиба. В кассетных машинах подаваемый лист доходит до упора и начинает изгибаться, образуя у входа в кассету петлю, захватываемую валиками. Комбинированные Ф. м. имеют устройства обоих типов, причём последний сгиб формируется по ножевому принципу. Ножевые Ф. м. занимают большую площадь, по конструкции сложнее и менее производительны, чем кассетные, имеют ограниченное число вариантов фальцовки, однако на них можно фальцевать с высокой точностью большеформатные листы из бумаги любой плотности. Имеются многотетрадные Ф. м., разрезающие листы в ходе фальцовки на 2, 4 и 8 частей, каждая из к-рых выходит из машины в виде отд. тетради. Подача листов в машины производится самонакладами. Скорость работы Ф. м.: ножевых 80-100 циклов/лык, кассетных 120-140 м/мин, комбинированных 160-180 циклов/мин.

Лит.: Ананьина Е. В., Коцарь Ю. Н., Мордовин Б. М., Машины бро-шюровочно-переплетного производства, ч. 1, М., 1974.

ФАЛЬЦЕТ (итал. falsetto, от falso - ложный), один из регистров певческого голоса (гл. обр. мужского), в к-ром используется лишь головной резонатор изолированно от грудного. При Ф. края голосовых связок становятся тоньше, между ними образуется щель. Поэтому Ф. звучит несильно, мягко, беден обертонами. До нач. 19 в. применялся тенорами для образования высоких звуков. В совр. оперном и концертном пении драматически выразительные верхние звуки образуются путём смешения грудного и головного регистров (микста). Ф. применяется лишь для особой окраски звука.

ФАЛЬЦОВКА, фальцевание (от нем. falzen - складывать, сгибать) в полиграфии, последовательное сгибание отпечатанных листов бумаги для образования тетрадей, из к-рых затем получают книги, журналы и т. п. По числу сгибов (фальцев) различают 1-, 2-, 3- и 4-сгибную Ф., а по расположению сгибов - взаимно перпендикулярную (каждый фальц перпендикулярен предыдущему), параллельную и комбинированную. Наиболее употребительны 3-и 4-сгибная Ф., позволяющие получать 16- и 32-страничные тетради. При малых тиражах Ф. выполняется вручную, а в остальных случаях - с помощью фальцевальных машин. Если тиражи печатаются на рулонных ротационных печатных машинах, то операция Ф. производится фальцевальным устройством печатной машины.

ФАЛЬЧИК, стержень (полигра-фич.), узкая полоска ткани или бумаги (шириной 12-15 мм), к одной половине к-рой приклеивается иллюстрация в книге, а другая половина Ф. приклеивается к лицевой или оборотной стороне тетради, огибая её корешковый сгиб. При последующей прошивке Ф. вместе с листами тетради обеспечивается высокая прочность вклейки.

ФАЛЬШБОРТ (от нем. Falschbord, букв. - ложный борт), продолжение бортовой обшивки судна выше верх. палубы. Служит ограждением открытых частей палубы и уменьшает накат волн на неё; к Ф. крепят палубный груз. Прочность Ф. и его стоек рассчитывают на удары волн и на воздействие груза при крене. Верх. кромку Ф. подкрепляют прочным планширом; в ниж. части Ф. устраивают штормовые портики с целью быстрого стока воды с палубы.

ФАЛЬШИВОМОНЕТНИЧЕСТВО, изготовление с целью выпуска в обращение или сбыт в виде промысла поддельной металлич. монеты, ден. знаков, гос. ценных бумаг. Ф. считается преступлением по законодательству всех стран. По сов. уголовному праву Ф. признаётся изготовление с целью сбыта, а также сбыт поддельных гос. казначейских билетов, билетов Госбанка СССР (бум. ден. знаков достоинством 1, 3, 5, 10, 25, 50 и 100 руб.), металлич. монеты, гос. ценных бумаг (напр., облигаций гос. займов) или иностр. валюты. Понятие Ф. включает также видоизменение подлинных ден. знаков или ценных бумаг путём изменения цифр, обозначающих их нарицат. стоимость или нумерацию. Ф. наказывается лишением свободы на срок от 3 до 15 лет с конфискацией имущества и со ссылкой на срок от 2 до 5 лет или без ссылки, а если оно совершено в виде промысла,- лишением свободы на срок от 10 до 15 лет с конфискацией имущества и со ссылкой на срок от 2 до 5 лет или без ссылки или смертной казнью с конфискацией имущества (ст. 87 УК РСФСР).

Борьба с Ф. ведётся и в междунар.-правовом плане. Так, в 1929 заключена Конвенция по борьбе с подделкой ден. знаков, согласно к-рой лица, изготовляющие фальшивые ден. знаки или подделывающие достоинство ден. знаков, сбывающие фальшивые деньги или изготовляющие аппаратуру для их печатания, подлежат уголовному преследованию.

ФАЛЬЯ (Falla) Мануэль де (23.11. 1876, Кадис,- 14.11.1946, Альта-Грасия, Аргентина), испанский композитор и пианист. Учился у X. Траго (фп.), Ф. Педреля (композиция). Завоевал известность оперой "Короткая жизнь" (1905, пост. 1913, Ницца), как и ряд последующих соч., осн. на фольклоре Андалусии. Концертировал как пианист. В 1907-14 жил в Париже, где встречался с К.Дебюсси, П. Дюка, М. Равелем. Под влиянием их музыки написаны "Ночи в садах Испании" ("Симфонические впечатления" для фп. с оркестром, 1915). Выделяются балеты "Любовь-волшебница" (1915, Мадрид), "Треуголка" (1919, Лондон), "Балаганчик маэстро Педро" (по "Дон Кихоту", 1923), сочетающий элементы оперы, балета-пантомимы и кукольного представления (осн. на фольклоре Кастилии), "Бетическая фантазия" для фп. (1919), концерт для клавесина и 5 инструментов (1924); 7 исп. нар. песен для голоса с фп. (1914), 4 исп. пьесы для фп. (1909); пьеса для гитары памяти Дебюсси (1920); мн. соч. известны в переложениях Ф. Крейсле-ра, П. Коханьского (для скрипки с фп.) и М. Марешаля (для виолончели с фп.). Музыке Ф., синтезирующей достижения зап.-европ. муз. иск-ва нач. 20 в. и нац. муз. традиции, свойственны ясность и законченность формы, ритмическое богатство, красочность оркестровки, напряжённая экспрессивность, сочетающаяся со сдержанностью эмоций. В кон. 1939 эмигрировал из франкистской Испании в Аргентину, изредка выступал как дирижёр.

Соч. в рус. пер.: Статьи о музыке и музыкантах, М., 1971.

Лит.: Крейн Ю., Мануэль де Фалья, М., 1960; Оссовский А., Очерк истории испанской музыкальной культуры, в его кн.: Избр. статьи, воспоминания, Л., 1961, с. 227-88; Бронфин Е., Мануэль де алья как музыкальный писатель, в кн.: Фалья М. де, Статьи о музыке и музыкантах, пер. с исп., М., 1971; CuelarJ., М. de Falla, Madrid, 1968. Е. Ф. Бронфин.

ФАЛЬЯС (Fallas) Луис Карлос (21.1. 1909, Алахуэла,-7.5.1966, Сан-Хосе), костариканский писатель. Один из организаторов и руководителей Партии Народный авангард Коста-Рики. Участвовал в создании первых профсоюзов, руководил отрядами рабочих в гражд. войну 1948. Систематич. образования не получил. В творчестве Ф. с большой силой прозвучала тема пробуждения классового сознания трудящихся и борьбы за лучшее будущее (авто-биографич. роман "Мамита Юнай", 1941, рус. пер. 1952). Рабочим и крестьянам Коста-Рики посв. сб. рассказов "Большие и маленькие люди" (1947). Автор романа о приключениях маленького костариканца "Маркое Рамирес" (1952, рус. пер. 1958).

Соч.: Mi madrina, San Jose, 1967; в рус. пер.- Секундино. Рассказ о трёх шахтерах, "В защиту мира", 1954, № 32.

Лит.: Кутейщикова В. Н., Роман Латинской Америки в XX веке, М., 1964.

ФАМАГУСТА (Famagusta), греч. Амохостос (Ammochostos), город и порт в Республике Кипр. 42,5 тыс. жит. (1970). Грузооборот порта 1,5 млн. т в 1973. Торг, центр. Предприятия пищ., текст. пром-сти.

ФАМ ВАН ДОНГ (Pham Van Dong) (p. 1.3.1906, пров. Куангнам, Юж. Вьетнам), вьетнамский политич. и гос. деятель. Род. в семье крестьянина. Учился в Ханойском колледже. С юношеских лет активно участвовал в революц. борьбе. В 1925 вступил в Товарищество революционной молодёжи Вьетнама. С 1930 чл. Ком-мунистич. партии Вьетнама. В 1929 был арестован французскими колониальными властями и приговорён к 10 годам тюремного заключения. В 1936, после прихода к власти правительства Нар. фронта во Франции, был освобождён из тюрьмы. В 1941 один из организаторов Лиги борьбы за независимость Вьетнама (Въетминъ). В 1941-45 участвовал в создании революц. баз в Сев. Вьетнаме. В 1945 чл. Нац. к-та освобождения Вьетнама. После Августовской революции 1945 министр во Врем. правительстве Демократической Республики Вьетнам. С кон. 1946 по 1949 специальный представитель ЦК партии и правительства Демократической Республики Вьетнам в Центральном Вьетнаме. В 1949-55 зам. премьер-министра, одновременно с авг. 1954 мин. иностранных дел ДРВ. С сент. 1955 премьер-министр и одновременно (до 1961) министр иностр. дел ДРВ. С июля 1976 премьер-министр правительства Социалистической Республики Вьетнам. Чл. Политбюро ЦК Партии трудящихся Вьетнама (с 1951), чл. Политбюро ЦК Коммунистической партии Вьетнама (с 1976).

ФАМЕНСКИЙ ЯРУС [от назв. местности Фамен (Famenne) в Арденнах, Бельгия], верхний ярус верхнего отдела девонской системы. Установлен бельг. геологом А. Дюмоном в 1855. В типовом местонахождении представлен песчаниками, сланцами и известняками с брахи-оподами и др. органич. остатками; в Рейнской обл. (ФРГ) - более глубоководными сланцами и известняками с цефалоподами. Ф. я. делится на 2, реже на 3 подъяруса и несколько (до 5) биозон. В СССР отложения Ф. я. имеют широкое распространение и представлены известняками и песчано-сланцевыми толщами, а также континентальными пестроцветными и лагунными образованиями - эвапоритами, появление к-рых обусловлено отступанием моря, осушением и засолонением областей осадконакопления. См. Девонская система (период).

ФАМИЛИЯ (от лат. familia - семья), 1) родовое наименование лица, приобретаемое при рождении. Изменение перво-нач. Ф. возможно при усыновлении, вступлении в брак и т. д. Ф. стала наследственной ещё в Др. Риме, прежде всего в среде родовой знати. Давалась, как правило, по названию места рождения или расположения "фамильных владений". В Зап. Европе употребление Ф. вошло в обычай с 15 в., в основном для высших сословий. В России Ф. были введены законом в 16 в. сначала для князей и бояр, затем для дворян и именитых купцов. Среди крестьянства Ф. стали употребляться после отмены крепостного права.

По сов. праву Ф. детей определяется по Ф. родителей. При разных Ф. родителей ребёнку присваивается Ф. матери или отца по их соглашению. Если мать не состоит в браке и нет совместного заявления родителей или решения суда об установлении отцовства, ребенку присваивается Ф. матери. Усыновляемому присваивается по просьбе усыновителя его Ф. (если усыновляемый достиг 10 лет,- с его согласия). При заключении брака супруги либо избирают в качестве общей Ф. одного из них, либо каждый сохраняет добрачную Ф. В нек-рых союзных республиках (Азерб. ССР, БССР, УССР и др.) допускается соединение Ф. обоих супругов (двойная Ф.). Условия и порядок перемены Ф. при расторжении брака, а также признании брака недействительным регулируются брачно-семей-ным законодательством, в иных случаях - Указом Президиума Верх. Совета СССР от 26 марта 1971 "О порядке перемены гражданами СССР фамилий, имён и отчеств" и Положением о порядке рассмотрения ходатайств о перемене гражданами СССР фамилий, имён и отчеств, утверждённым Сов. Мин. СССР 20 авг. 1971. 2) Семья, род. 3) В Др. Риме хоз.-юрид. единица, в состав к-рой, помимо кровных родственников, входили и рабы.

ФАМИЛЬНЫЙ ПАКТ 1761, Семейный договор 1761, во время Семилетней войны 1756-63 договор между франц. и исп. Бурбонами (включая пармскую и неаполитанскую ветви исп. Бурбонов) о взаимной вооруж. помощи в случае нападения на одну из сторон. Подписан 15 авг. Направлен против Великобритании. Согласно заключённой одновременно секретной конвенции, Франция передавала Испании захваченный у англичан о. Менорку, а Испания обязывалась объявить войну Великобритании, если последняя до 1 мая 1762 не заключит мира с Францией. Ф. п. вызвал объявление Великобританией 4 авг. 1762 войны Испании. Сохранял своё действие до 1789.

Публ.: Recueil des traites de la France, t. 1, P., 1880, p. 81 -88.

ФАМИНЦЫН Андрей Сергеевич [17(29). 6.1835, Москва,-8.12.1918, Петроград], русский ботаник и обществ. деятель. Акад. Петерб. АН (1884; адъюнкт с 1878). Окончил Петерб. ун-т (1857). Ученик А. С. Ценковского. Преподаватель (с 1861) там же, проф. (1867-89). Основатель (1890) и директор лаборатории анатомии и физиологии растений АН (ныне Ин-т физиологии растений им. К. А. Тимирязева АН СССР). Основоположник петерб. школы физиологов растений (И. П. Бородин, А. Ф. Баталии, Д. И. Ивановский и др.); автор первого отечеств. учебника по физиологии растений (1887). Осн. труды по фотосинтезу и обмену веществ в растениях. Доказал, что ассимиляция СО2 и образование крахмала могут происходить при искусств. освещении. Вместе с О. В. Баранецким (1867) впервые выделил из лишайников зелёные клетки водорослей. Открыл симбиоз водорослей с радиоляриями. Развивал теорию симбиогенеза. Инициатор образования (1901) и председатель Бюро библиографии по естествознанию и математике в России при АН, вместе с В. И. Вернадским инициатор создания Комиссии по изучению естеств. производит, сил России (КЕПС). Президент Вольного экономич. об-ва (1906-09), почётный президент Рус. ботанич. об-ва (1915).

Соч.: Обмен веществ и превращение энергии в растениях, СПБ, 1883; Учебник физиологии растений, СПБ, 1887; О роли симбиоза в эволюции организмов, "Зап. имп. АН Физ.-мат. отд. Серия 8", 1907, т. 20, № 3, с. 1 - 14.

Лит.: Бородин И. П., Андрей Сергеевич Фаминцын (1835 - 1918), "Журнал Русского ботанического общества", 1919, т. 4, № 1 (лит.); Сенченкова Е. М., Андрей Сергеевич Фаминцын (К 40-летию со дня смерти), "Ботанический журнал", 1960, т.45, № 2 (лит.); История и современное состояние физиологии растений в Академии наук, М., 1967. Д. В. Лебедев.

ФАНАГОРИЯ (греч. Phanagoreia), античный город на Таманском п-ове, находившийся близ совр. пос. Сенной Краснодарского края РСФСР. Осн. во 2-й пол. 6 в. до н. э. Расцвет Ф. приходится на 5-2 вв. дон. э., с 5 в. дон. э. чеканилась монета. С 5 в. до н. э. в составе Боспорского государства. В 1 в. до н. э. наз. Агриппией. Население Ф. (синды, греки, меоты, сарматы) занималось с. х-вом, рыболовством, ремёслами и торговлей. Раскопки ведутся с 19 в., систематически- с 1936 по 1940 (В. Д. Блаватский) и с 1947 (М. М. Кобылина). Часть города затоплена морем (подводные раскопки 1958-59). В Ф. обнаружены фундаменты крепостных стен, остатки жилых кварталов, гимнасий, термы, р-н гончаров. Близ Ф. находился некрополь. Город существовал до 11-12 вв.

Лит.: Кобылина М. М., Фанагория, в кн.: Материалы и исследования по археологии СССР, № 57, М., 1956.

ФАНАРДЖЯН Варфоломей Артемьевич {20.8(1.9).1898, Ахалцихе,-3.4.1976, Ереван], советский рентгенолог и радиолог, акад. АН Арм. ССР (1956), чл.-корр. АМН СССР (1960). Чл. КПСС с 1946. В 1924 окончил мед. ф-т Азерб. ун-та. С 1927 зав. кафедрой рентгенологии Ереванского мед. ин-та и одновременно (с 1946) организатор и директор Ереванского ин-та рентгенологии и онкологии. Осн. труды по проблемам рентгенодиагностики язвенной болезни, гастритов, рака желудка, туберкулёза лёгких, плевритов; биол. действия ионизирующих излучений; лучевой терапии опухолей. Установил зависимость изменений формы луковицы двенадцатиперстной кишки от местонахождения "ниши" при язвенной болезни двенадцатиперстной кишки. Награждён орденом Ленина, 2 др. орденами, а также медалями.

Соч.: Рентгенодиагностика, М., 1951; Рентгенодиагностика заболеваний органов грудной клетки, Ер., 1957; Рентгенодиагностика заболеваний пищеварительного тракта, т. 1-2, Ер., 1961 - 64.

Лит.: В. А. Фанарджян. (К 70-летию со дня рождения), "Журнал экспериментальной и клинической медицины", Ер., 1968, т. 8, № 6. Э. А. Григорян.

ФАНАРИОТЫ [новогреч. Phanariotes, букв.- житель Фанара (квартал в Стамбуле с резиденцией греч. патриарха)], в Османской империи в 18 - нач. 19 вв. представители греч. духовенства и торгово-ден. аристократии (семьи Мав-рокордато, Ипсиланти, Суццо, Карад-жа и др.). Пользовались значит. привилегиями, в т. ч. на занятие высоких постов (драгомана, господаря и др.) в тур. администрации. Власть Ф. была ликвидирована в Валахии и Молдове в результате Валашского восстания 1821, в Греции - в ходе Греческой национально-освободительной революции 1821-29.

ФАНАТИЗМ (франц. fanatisme, от лат. fanaticus - исступлённый), доведённая до крайней степени приверженность к к.-л. верованиям или воззрениям, нетерпимость к любым другим взглядам, напр. религиозный Ф.

ФАН БОЙ ТЯУ (Phan Boi Chau) (26. 12.1867, уезд Намдан, пров. Нгеан,- 29.10.1940, Хюэ), вьетнамский политический деятель, писатель, публицист, идеолог революц.-демократич. направления в нац.-освободит. движении во Вьетнаме нач. 20 в. Род. в семье сел. учителя. Рано стал заниматься лит. деятельностью. Ему принадлежали острые политич. памфлеты, направленные против франц. господства в Индокитае. В кон. 19 в. принимал участие в антифранц. движении "как выонг". В этот период он связывал вооружённую борьбу против франц. господства с сохранением монархии в стране, допускал индивидуальный террор, гл. политич. силу видел в интеллигенции и в солдатах. В 1904 тайно создал в пров. Куангнам (Центр. Вьетнам) первую в истории Вьетнама политич. орг-цию - Общество обновления Вьетнама (ООВ). Ф. Б. Т. неоднократно встречался с представителями революц. лагеря кит. эмиграции в Японии, в т. ч. с Сунь Ят-сеном. Постепенно он порвал с монархическими идеалами и перешёл на революционно-демократич. позиции. В февр. 1912 в Китае, ставшем центром вьетнамской политич. эмиграции, под рук. Ф. Б. Т. было создано (вместо распавшегося к этому времени ООВ) Общество возрождения Вьетнама (ОВВ; 1912-24), и он стал ген. секретарём ОВВ. В 1914 был арестован в Южном Китае кит. милитаристами и заключён в тюрьму (1914-17), в июне 1925 арестован франц. тайной полицией в Шанхае, доставлен во Вьетнам и приговорён к пожизненной каторге. В дек. 1925 был освобождён из заключения под давлением обществ. движения, проживал в г. Хюэ без права выезда. Проявлял большой интерес к Сов. России, стараясь понять значение Октября. Своё лит. творчество Ф. Б. Т. рассматривал как продолжение политич. деятельности. Он почти не выходил из рамок классич. жанровых форм: послание в стихах "Письмо из-за моря, написанное кровью" (1906); ист. роман-хроника "Искренняя история Чунг Куанга" (1921), поэма "Лекарство для простого люда" (1927). Итоги своего пути писатель подводит в мемуарах "Годы жизни Фан Бой Тяу" (1939). Чтится во Вьетнаме как великий патриот. Лит.: Мхитарян С. А., Рабочий класс и национально-освободительное движение во Вьетнаме, М., 1967; Nha уeu nu oс va nha van Phan Boi Chau, Ha-noi, 1970.

С. А. Мхитарян, Н. И. Никулин.

ФАНГ, пангве, пахуин, группа родств. народов (яунде, булу, бене, беги и др.), живущих на Ю. Камеруна, в Экваториальной Гвинее и сев. р-нах Габона. Общая числ. 1,7 млн. чел. (1975, оценка). Язык относится к сев.-зап. группе языковой семьи банту. Ф. сохраняют традиц. верования (культы сил природы и предков). Занятия: земледелие (просо, маниок, арахис, ямс), работа на плантациях какао, бананов и масличных пальм, на предприятиях г. Яунде по переработке с.-х. продуктов, а также в лесозаготовит., деревообр. и горнодоб. пром-сти.

ФАНГОВАЯ МАШИНА [от нем. fan-gen - ловить (петлю)], ластичная машина, трикотажная машина с 2 игольницами (фонтурами), расположенными под прямым углом. Используется для вязания деталей трикот. изделий или полотна, лицевая и изнаночная стороны к-рых одинаковы (напр., ластик, двухлицевой трикотаж и др.). Осн. рабочие органы Ф. м.: язычковые иглы (см. Трикотажная игла), размещённые в пазах игольницы; замки, к-рые последовательно перемещают иглы по пазам игольницы для выполнения процесса петлеобразования; нитеводитель, прокладывающий нить на иглы; оттяжной механизм для сбрасывания с игл готовых петель. По форме игольниц различают круглые и плоские Ф. м.

Круглые Ф. м. предназначаются для вязания трубчатого трикот. полотна, из к-рого шьют верхние изделия. Диам. игольницы достигает 760 мм, число петлеобразующих систем машины - до 72. Как правило, имеется узорообразую-щий механизм, выполняющий индивидуальный отбор (введение в работу) игл, работающих с нитями заданного по рисунку цвета. Разработаны электронные устройства для отбора игл, позволяющие быстро переходить на вязание трикотажа с новым рисунком. Производительность круглых Ф. м. до 2 млн. петель в 1 мин.

Плоские Ф. м. обычно предназначаются для вязания деталей изделия. Рабочая ширина игольницы до 1200 мм; имеются автоматич. устройства для изменения ширины детали, узорообразую-щие механизмы. Плоские Ф. м. снабжены 1 или 2 петлеобразующими системами и характеризуются периодичностью процесса вязания, связанной с переменой направления рабочего хода, что обусловливает невысокую по сравнению с круглыми Ф. м. производительность (до 500 тыс. петель в 1 мин). На базе плоских Ф. м. созданы перчаточные автоматы.

Ручные Ф. м. (плоские), распространённые в мелких мастерских, отличаются универсальностью, но имеют малую производительность (3-6 изделий верхнего трикотажа за 7 ч). На них вяжут также чулки, носки, перчатки и т. п. Лит. см. при ст. Трикотажная машина. И. И. Шалое.

ФАНДАНГО (исп. fandango), испанский нар. танец, сопровождаемый пением. Распространён в Кастилии и Андалусии. Муз. размер 3/4. Темп умеренный. Исполняется парами под аккомпанемент гитары и кастаньет. С кон. 18 в. стал вводиться в балетные спектакли. Муз. обработки имеются у Э. Гранадоса, Э. Ф. Направника и др.

ФАНДАРЬЯ, река в Тадж. ССР, лев. приток р. Зеравшан. Образуется при слиянии pp. Ягноб и Искандердарья. Дл. 24км (от истока Ягноба 140 км), пл. басс. 3230 км2. Пересекает Зеравшанский хр., образуя каньоны и пороги. Питание снеговое и ледниковое. Половодье с мая по нач. сентября. Ср. расход воды 62,6 м3/сек. По долине Ф. проходит автодорога Ташкент - Душанбе.

ФАНДЕРБЕЙЛПАРК, Вандер-бейлпарк (Vanderbijlpark), город в ЮАР, в пров. Трансвааль, у р. Ва-аль, вблизи Ференигинга. 71 тыс. жит. (1969). Возник в 1952 в связи с постройкой металлургического комбината "Ис-кор". ГЭС.

ФАНДИ (Fundy), залив Атлантического ок. у берегов Сев. Америки, сев. часть зал. Мэн. Дл. 300 км, шир. до 90 км, глуб. у входа до 208 м. Приливы полусуточные, величина их до 18 м (макс. для Мирового ок.). Значит. порт - Сент-Джон.

ФАН ДИНЬ ФУНГ (Phan Dinh Phung) (1847, пров. Хатинь, Центр. Вьетнам,- дек. 1895), вьетнамский гос. деятель, один из гл. руководителей вооруж. борьбы вьетнамского народа против франц. колонизаторов в кон. 19 в. (движение "кан выонг"). Был цензором при дворе. В 1885 поднял антифранц. восстание крестьян и чиновников в р-не Хыонгкхе пров. Нгеан, к-рое к 1893 охватило большую часть провинции Нгеан, провинции Хатинь, Куангбинь, Тханьхоа. Восставшие создали армию и наладили произ-во оружия, нанесли ряд поражений франц. войскам. Вскоре после смерти Ф. Д. Ф. восстание было подавлено франц. карателями .

ФАНЕРА (нем. Furnier, от франц. four-nir - снабжать, накладывать), древесный материал, состоящий из склеенных между собой двух или более листов лущёного шпона. Для произ-ва Ф. используют гл. обр. берёзовый шпон, в меньшей степени ольховый, буковый, сосновый и др. пород. Ф. формируют обычно из 3-5 листов шпона при взаимно перпендикулярном расположении волокон древесины в смежных листах. Склеивание осуществляют синтетич. термореактивными клеями (феноло-формальдегидны-ми, карбамидными и др.) или природными клеями (альбуминовыми, казеиновыми и др.). Толщина листов Ф. 1-19 мм (листы толще 12 мм наз. фанерными плитами), длина и ширина 725-2440 мм. К спец. видам Ф. относятся: бакелизи-рованная (повышенной водостойкости), декоративная (облицованная, с покрытием), профилированная (получаемая прессованием в пресс-форме) и др. Ф. характеризуется достаточно высокой ме-ханич. прочностью в продольном и поперечном направлениях, малой ср. плотностью (по объёму), значительно меньшей, чем у природной древесины, анизотропностью. Ф. широко применяют в автомобиле-, вагоно-, судо- и самолётостроении, меб. и тарном произ-ве, в радиопромышленности (для изготовления корпусов радиоприёмников и телевизоров) и др. См. также Деревообрабатывающая промышленность .

Лит.: Кириллов А. Н., Карасев Е. И., Производство клееной фанеры, М., 1968. И. К. Черкасов.

ФАНЕРОВАНИЕ, облицовка деталей и узлов столярных изделий лущёным или строганым шпоном; улучшает внешний вид, снижает формоизменяемость и повышает механическую прочность изделий. Для Ф. лицевых поверхностей и кромок изделий, к отделке к-рых предъявляются повышенные требования, применяют шпон из древесины дуба, ореха, ясеня, красного дерева и др. ценных пород; полосы шпона подбирают по цвету и текстуре древесины. Для Ф. прочих поверхностей используют шпон из древесины рядовых пород (напр., берёзы, ольхи, лиственницы) без спец. подбора. Поверхность изделий, предназначенная для Ф., должна быть ровной и гладкой, без задиров, выщербин, засмолков и др. дефектов. При Ф. вручную (впритирку) шпон накладывают на основание, смазанное клеем, разглаживают и притирают подогретым молотком. Машинное Ф. поверхностей (наиболее распространено) осуществляется в горячих гидравлич. прессах. Ф. широко используется в произ-ве мебели, деталей внутр. отделки зданий, пасс. вагонов, судовых кают и др. интерьеров и предметов обихода. Вместо Ф. часто применяется имитационная отделка древесины (методом печати) под ценные древесные породы.

Лит.: Бугла й Б. М., Технология столярно-мебельного производства, М., 1967.

И. К. Черкасов.

ФАНЕРОГАМЫ (от греч. phaneros - явный, открытый и gamos - брак), растения, имеющие цветки; то же, что явнобрачные растения.

ФАНЕРОЗОЙСКИЙ ЭОН, фанерозой (от греч. phaneros - явный, открытый и zoe - жизнь, образ жизни), крупнейший отрезок времени (эон), охватывающий палеозойскую, мезозойскую и кайнозойскую эры геологической истории Земли общей длительностью 570 млн. лет. Выделен амер. геологом Дж. Чедвиком (1930), разделившим всю геол. историю Земли на криптозойский зон и Ф. э.

ФАНЕРОФИТЫ (от греч. phaneros - видимый, явный, открытый и phyton - растение), жизненная форма растений, почки возобновления к-рых открыты (расположены высоко над поверхностью почвы). К ним относятся деревья, кустарники и деревянистые лианы. По высоте Ф. подразделяются на микрофанерофиты (выс. от 2 до 8 м), мезофанерофиты (выс. от 8 до 30 м) и мегафанерофиты (выс. св. 30 м).

ФАНЗА (от кит. фан-цзы), китайское жилище, каменное или саманное, на каркасе из деревянных столбов. В плане прямоугольное. Крыша двускатная, крытая соломой, черепицей, камышом. Ф. состоит обычно из трёх-пяти комнат. Входная дверь ведёт в кухню с очагами, к-рыми с помощью дымоходов отапливают комнатные каны (тёплые широкие нары, на к-рых сидят за низенькими столами или спят). Иногда каны отапливаются спец. топкой снаружи дома. Такой тип конструкции, характерный для сельского, отчасти гор. населения в Сев.-Вост. Китае, выработался в 7-10 вв. и в основных чертах сохранился до наших дней.

ФАНСИПАН (Fan Si Pan), горный массив на С.-З. Вьетнама; см. Фаншипан.

ФАНСКИЕ ГОРЫ, наиболее приподнятая центр. часть Зеравшанского хребта, расположенная между pp. Арчамайдан на 3. и Фандарья на В., на С.-З. Тадж. ССР. Выс. св. 5000 м (наибольшая- 5489 м, г. Чимтарга). Сложены гл. обр. палеозойскими известняками. Причудливые формы рельефа; остроконечные вершины. Имеются ледники. Реки (басс. Зеравшана) выработали узкие и глубокие ущелья. Много живописных высокогорных озёр (Искандеркуль, Ку-ликалон и др.). В долинах рек встречаются тополь, клён, берёза, нек-рые виды фруктовых деревьев, боярышник и др.; по склонам до выс. 3000 м растёт арча. Р-н туризма.

Лит.: Мухин А. С., Гусев В. Ф., Фанские горы, М., 1949.

ФАНТАЗИЯ, то же, что воображение.

ФАНТАЗИЯ (от греч. phantasi'a - воображение), инструментальная муз. пьеса, в к-рой важное значение приобретает импровизац. начало, свободное развёртывание муз. мысли. В 16 в. Ф. для гитары, лютни и клавишных инструментов создавались как полифонич. пьесы, близкие к ричеркару и токкате. В 17 в. Ф. испытывала влияние концерта, симфонии, увертюры, сонаты, рондо. В 17- 18 вв. она часто использовалась в качестве вступления к др. пьесе, напр. к фуге, порой и к сонате (Фантазия и соната c-moll Моцарта). В 19 в. Ф. сближается с сонатой (2 сонаты для фп. "quasi una fantasia" Бетховена, в т. ч. "Лунная"). Ф. зачастую создаются как свободные варианты сонатной формы (Ф. для фп. Шумана, Шопена), порой по структуре близкие к симф. поэме (Ф. для фп. "Скиталец" Шуберта). Одновременно получила распространение Ф. как виртуозная пьеса, осн. на разработке (б. ч. вариационной) тем из опер, балетов (Ф. для фп. Листа на темы из оперы "Дон Жуан" Моцарта и др.), мелодий нар. песен ("Фантазия на темы русских народных песен" для скрипки с оркестром Рим-ского-Корсакова и др.).

ФАНТАСТИКА (от греч. phantastike- искусство воображать), разновидность художеств. лит-ры; её исходной идейно-эстетич. установкой является диктат воображения над реальностью, порождающий картину "чудесного мира", противопоставленного обыденной действительности и привычным, бытовым представлениям о правдоподобии. Истоки Ф.- в мифотворческом народно-поэтич. сознании, выразившемся в волшебной сказке и героич. эпосе. Ф. в существе своём предопределена многовековой деятельностью коллективного воображения и представляет собой продолжение этой деятельности, используя и обновляя постоянные мифич. (см. Мифология) и сказочные (см. Сказка) образы, мотивы, сюжеты в сочетании с жизненным материалом истории и современности. Т. о. возникает предуказанный . ("архетипи-ческий") принцип фантастического правдо- и жизнеподобия, сообразного нравств. и эстетич. закономерностям воображаемого сказочно-мифо-логич. мироздания и составляющего разрастающееся мозаичное целое. Ф. эволюционирует вместе с развитием лит-ры, свободно сочетаясь с различными методами (в т. ч. с реалистическим) изображения идей, страстей и событий. Особенно плодотворным, однако, оказалось сочетание Ф. с романтизмом.

Ф. выделяется как особый вид художеств. творчества по мере отдаления фольклорных форм от практич. задач мифологич. осмысления действительности и ритуально-магич. воздействия на неё. Первобытное миропонимание становится исторически несостоятельным и тем самым - фантастическим, т. е. не соответствующим новым представлениям о действительности. Характерным признаком возникновения Ф. служит разработка эстетики чудесного, несвойственной первобытному фольклору. Происходит расслоение: богатырская сказка и сказания о культурном герое трансформируются в героич. эпос (нар иносказание и обобщение истории), в к-ром элементы чудесного являются подсобными и несущественными; сказочно-волшебная стихия осознаётся как таковая и служит естеств. средой для рассказа о путешествиях и приключениях, вынесенного за ист. рамки. Так, "Илиада" Гомера представляет собой по сути дела реали-стич. описание эпизода Троянской войны (чему не мешает участие в действии героев-небожителей); гомеровская же "Одиссея" - прежде всего фантастич. повествование о всевозможных и невероятных приключениях, не связанных с эпич. сюжетом, одного из героев той же войны. Сюжет, образы и происшествия "Одиссеи" - начало всей лит. зап.-европ. Ф. Примерно так же, как "Илиада" и "Одиссея", соотносятся ирл. героич. саги и "Плавание Брана, сына Фебала" (7 в. н. э.). Прообразом мн. будущих фантастич. путешествий послужила пародийная "Правдивая история" Лукиана, где автор для усиления комич. эффекта стремился нагромоздить как можно больше невероятного и несуразного и обогатил при этом флору и фауну "чудесной страны" мн. живучими выдумками.

Т. о., ещё в античности наметились осн. направления Ф.-фантастич. блуждания-похождения и фантастич. поиск-паломничество (характерный сюжет - сошествие в ад). Овидий в "Метаморфозах" направил в русло Ф. исконно-ми-фологич. сюжеты превращений и положил начало фантастико-символич. аллегории - жанру скорее дидактическому, чем приключенческому: "поучению в чудесах". Фантастич. превращения становятся формой осознания превратности и ненадёжности человеческой судьбы в мире, подвластном лишь произволу случая или загадочной вышней воле.

Богатый свод литературно обработанной сказочной Ф. дают сказки "Тысячи и одной ночи"; влияние их экзотич. образности сказалось в европ. предроман-тике и романтизме. Фантастич. сюжеты "Тысячи и одной ночи" отличаются своеобразной нац. и религ. замкнутостью. Фантастич. образами и отзвуками "Ма-хабхараты" и "Рамаяны" насыщена инд. лит-pa от Калидасы до Р. Тагора. Своеобразный лит. переплав нар. сказаний, легенд и поверий представляют собой мн. произв. японской (напр., жанр "рассказа о страшном и необычайном" - "Кондзя-ку-моногатари") и кит. Ф. ("Рассказы о чудесах из кабинета Ляо" Пу Сунлина).

Фантастич. воображение под знаком "эстетики чудесного" было основой ср.-век. рыцарского эпоса - от "Беовульфа" (8 в.) до "Персеваля" (ок. 1182) Кретьена де Труа и "Смерти Артура" (1469) Т. Мэ-лори. Обрамлением фантастич. сюжетов стала легенда о дворе короля Артура, наложенная впоследствии на расцвеченную воображением хронику крестовых походов. С ней скрещивалась более исторически обоснованная легенда о дворе Карла Великого. Дальнейшую трансформацию этих сюжетов являют монументально-фантастические, почти совсем утратившие историко-эпич. подоснову ренессанс-ные поэмы "Влюблённый Роланд" Бояр-до, "Неистовый Роланд" Л. Ариосто, "Освобождённый Иерусалим" Т. Тассо, "Королева фей" Э. Спенсера. Вместе с многочисл. рыцарскими романами 14- 16 вв. они составляют особую эпоху в развитии Ф. Вехой в развитии фантастич. аллегории, созданной Овидием, был "Роман о Розе" 13 в. Гильома де Лорриса и Жана де Мена.

Развитие Ф. в период Ренессанса завершают "Дон Кихот" М. Сервантеса - пародия на Ф. рыцарских похождений и одновременно начало реалистич. романа, и "Гаргантюа и Пантагрюэль" Ф. Рабле - комич. эпопея на фантастич. основе, одновременно традиционной и произвольно переоформленной и переосмысленной. У Рабле же находим (гл. "Телем-ское аббатство") один из первых примеров фантастич. разработки утопич. жанра, хотя и исконно нехарактерной: ведь у зачинателей жанра Т. Мора (1516) и Ф. Кампанеллы (1602) утопия тяготеет к дидактическому трактату и лишь в "Новой Атлантиде" Ф. Бэкона являет собой научно-фантастич. игру воображения. Пример более традиц. сочетания Ф. с мечтой о сказочном царстве справедливости-"Буря" У. Шекспира.

В меньшей степени, чем древнейшая мифология и фольклор, стимулировали Ф. религ.-мифологич. образы Библии. Крупнейшие произв. христ. Ф.- "Потерянный рай" и "Возвращённый рай" Дж. Мильтона - основаны на апокрифах. Это, однако, не умаляет того факта, что произв. европ. Ф. средневековья и Возрождения, как правило, имеют вторичную, этич. христ. окраску или представляют игру фантастич. образов в духе христ. апокрифич. демонологии. Вне Ф. стоят жития святых, где чудеса принципиально выделены как экстраординарные происшествия. Тем не менее христ.-мифологич. сознание способствует расцвету особого жанра - Ф. видений. Начиная с апокалипсиса Иоанна Богослова "видения" или "откровения" становятся полноправным лит. жанром: разные аспекты его представляют "Видение о Петре Пахаре" (1362) У. Ленгленда и "Божественная комедия" Данте. Идея "откровения", в отличие от жития,- противопоставление земной действительности иного, сверхъестественного плана существования.

Поэтика религ. "откровения" определяет визионерскую фантастику У. Блей-ка: его грандиозные "пророческие" образы - последняя вершина жанра.

К кон. 17 в. маньеризм и барокко, для к-рых Ф. была постоянным фоном, дополнит. художеств. планом (при этом происходила эстетизация восприятия Ф., утрата живого ощущения чудесного), сменил классицизм, по своей сути чуждый Ф.: его обращение к мифу полностью рационалистично. В романах 17-18 вв. мотивы и образы Ф. походя используются для осложнения интриги. Фантастич. поиск трактуется как эротич. похождения ("фейные сказки", напр. "Акажу и Зирфила", 1744, Ш. Дюкло). Ф., не имея самостоят. значения, оказывается подспорьем плутовского романа ("Хромой бес" А. Р. Лесажа, "Влюблённый дьявол" Ж. Казота), филос. трактата ("Микроме-гае" Вольтера) и т. д. В "Путешествиях Гулливера" Дж. Свифта Ф. в духе Рабле и Сирано де Бержерака поставлена на службу идеологич. сатире. Реакция на засилье просветит. рационализма наступила во 2-й пол. 18 в.; англичанин Р. Хёрд призывает к прочувствованному изучению Ф. ("Письма о рыцарстве и средневековых романах", 1762); в "Приключениях графа Фердинанда Фэтома" Т. Смоллетт предваряет ставший началом развития Ф. 19-20 в. "готический роман" X. Уолпола, А. Радклиф, М. Льюиса,

У. Бекфорда. Поставляя аксессуары романтич. сюжетов, Ф. остаётся на подсобной роли: с её помощью двойственность образов и событий становится изобразит. принципом предромантизма.

У романтиков двойственность оборачивается раздвоением личности, ведущим к поэтически благотворному "священному безумию". "Прибежища в царстве фанта-зии"(Ю. А. Кернер) искали все романтики: у "иенцев" фантазирование, т. е. устремлённость воображения в запредельный мир мифов и легенд, выдвигалось как приобщение к высшему прозрению, как жизненная программа - сравнительно благополучная (за счёт романтич. иронии) у Л. Тика, патетичная и трагическая у Новалиса, чей "Генрих фон Офтердинген" являет образец обновлённой фантастич. аллегории, осмысленной в духе поисков недостижимого и непостижимого идеально-духовного мира. Гейдельбергская школа использовала Ф. как источник сюжетов, придающих дополнит. интерес земным событиям (так, "Изабелла Египетская" Л. А. Арнима представляет собой фантастич. аранжировку любовного эпизода из жизни Карла V). Такой прагматич. подход к Ф. оказался особенно перспективным.

Стремясь обогатить ресурсы Ф., нем. романтики обратились к её первоисточникам - собрали и обработали волшебные сказки и легенды ("Народные сказки Петера Лебрехта", 1797, в обработке Тика, "Детские и семейные сказки", 1812-14, и "Немецкие предания", 1816- 1818, бр. Я. и В. Гримм). Это способствовало становлению жанра лит. сказки во всех европ. лит-pax, остающегося и поныне ведущим в детской Ф. Классич. его образец - сказки X. К. Андерсена.

Романтич. Ф. синтезирует творчество Э. Т. А. Гофмана: здесь и готич. роман ("Эликсир дьявола"), и лит. сказка ("Повелитель блох", "Щелкунчик и мышиный король"), и феерич. фантасмагория ("Принцесса Брамбилла"), и реалистич. повесть с фантастич. подоплёкой ("Выбор невесты", "Золотой горшок").

Попытку оздоровить влечение к Ф. как к "пропасти потустороннего" представляет "Фауст" Гёте; используя традиц.-фантастич. мотив продажи души дьяволу, поэт обнаруживает тщету блужданий духа в сферах фантастического и в качестве окончат. ценности утверждает земную жизнедеятельность, преобразующую мир (т. е. утопич. идеал исключается из области Ф. и проецируется в будущее).

В России романтич. Ф. представлена в творчестве В. А. Жуковского, В. Ф. Одоевского, А. Погорельского, А. Ф. Вельтмана. К Ф. обращался А. С. Пушкин ("Руслан и Людмила", где особенно важен былинно-сказочный колорит фантазии) и Н. В. Гоголь, фантастич. образы к-рого органично влиты в народно-поэтич. идеальную картину Украины ("Страшная месть", "Вий"). Его петерб. Ф. ("Нос", "Портрет", "Невский проспект"), крайне экономная и "выморочная", по-иному обусловлена общей картиной действительности, сгущённое изображение к-рой естественно порождает фантастич. образы (как и в "Пиковой даме" Пушкина или в "Двойнике" Ф. М. Достоевского).

С утверждением критич. реализма Ф. опять оказалась на периферии лит-ры, хотя нередко привлекалась как своеобразный контекст повествования, придающий символич. характер реальным образам (напр., у Ш. Бронхе, Н. Хоторна, А. Стриндберга). Готич. традицию Ф. развивает Э. По, рисующий или подразумевающий запредельный, потусторонний мир как царство призраков и кошмаров, властвующих над земными судьбами людей. Однако он же предвосхитил ("Ис-тория Артура Гордона Пима", ч Низвержение в Мальстрем") появление новой отрасли Ф.- научной фантастики, к-рая в творчестве Ж. Верна и Г. Уэллса принципиально обособляется от обще-фантастич. традиции; она рисует реальный мир, преображаемый наукой (к худу или к добру) и по-новому открывающийся взгляду исследователя. (Правда, развитие космич. Ф. приводит к открытию новых миров, по неизбежности как-то соотносящихся с традиционно-сказочным, но это момент привходящий.)

Интерес к Ф. как таковой возрождается к кон. 19 в. у неоромантиков (Р. Л. Стивенсон), декадентов (М. Швоб, Ф. Сологуб), символистов (М. Метер-линк, А. Блок), экспрессионистов (Г. Мейринк), сюрреалистов (Г. Казак, Э. Крёйдер). Развитие детской лит-ры порождает новый облик фантастич. мира - мир игрушечный: у Л. Кэрролла, К. Коллоди, А. Милна; в сов. лит-ре - у А. Н. Толстого ("Золотой ключик"), Н. Носова, К. Чуковского. Воображаемый, отчасти сказочный мир создаёт с привлечением мотивов и образов западной приключенч. лит-ры А. Грин.

В зап. лит-ре 20 в. богато представлена неоготич. Ф. (У. Де ла Map, X. П. Лав-крафт, Дж. Кольер). Хотя во 2-й пол. 20 в. фантастич. импульс находит себе выход в основном в области научной фантастики, однако иногда он вызывает качественно новые художеств. явления, напр. трилогия англичанина Дж. Р. Р. Толкина "Властелин колец" (1954-55), написанная в русле эпич. Ф., романы и драмы Кобо Абэ, произв. исп. и латино-амер. писателей (А. Састре, X. Кортасар). Для современности характерно отмеченное выше контекстное использование Ф., когда внешне реалистич. повествование имеет символико-иносказат. оттенок и даёт более или менее зашифрованную отсылку к к.-л. мифологич. сюжету (напр., "Улисс" Дж. Джойса, "Кентавр" Дж. Апдайка, "Корабль дураков" К. А. Портер). Сочетание различных возможностей Ф. являет собой роман М. Булгакова "Мастер и Маргарита". Фантастико-аллегорич. жанр представлен в советской литературе циклом "натурфилософских" псзм Н. А. Заболоцкого ("Торжество земледелия" и др.), народно-сказочная Ф.- творчеством П. П. Бажова, литературно-сказочная - пьесами Е. Шварца.

Жанровые формы Ф.- фантасмагория и феерия - стали традиц. вспомогат. средством рус. и сов. сатиры: от М. Е. Салтыкова-Щедрина ("История одного города") до В. В. Маяковского ("Клоп" и "Баня").

Ф. 2-й пол. 20 в. остаётся живой и плодоносной ветвью различных направлений художеств. лит-ры.

Лит.: Мелет и некий Е. М., Герой волшебной сказки, М., 1958; его же, "Эдда" и ранние формы эпоса, М., 1968; Ильенков Э. В., Об эстетической природе фантазии, в сб.: Вопросы эстетики, в. 6, М., 1964; Кагарлицкий Ю., Что такое фантастика?, М., 1974; Бахтин М., Вопросы литературы и эстетики, М., 1975; Gould S. В., Curious myths of the Middle Ages, L., 1901-Felix-Faure-Goyau L., La vie et la mort des fees, P., 1910; Frуе N., Fables of identity, N. Y. - Birmingam, 1963; Тоdorоv Т z., Introduction a la litterature fantas-tique, P., 1970; Campbell J., The flight of the Wild Gander, Chi., 1972; Кennard J. E., Number and nightmare. Forms of fantasy in contemporary fiction, Hamden (Conn.), 1975. В. С. Муравьёв.

ФАНТАСТРОН, релаксационный генератор линейно изменяющегося напряжения с малым коэфф. нелинейности, работающий в ждущем или автоколебат. режимах. Ф. с большим перепадом изменяющегося напряжения (десятки и сотни в) выполняют на электронных лампах (обычно пентодах и пентагридах), с меньшим перепадом напряжения - на биполярных или униполярных полевых транзисторах. На рис. представлен один из вариантов схемы Ф. на транзисторах. Полный цикл работы Ф. подразделяется на стадии ожидания (покоя), запуска, рабочую и восстановления. В стадии покоя T1 насыщен, Т3 находится на грани насыщения, а Т2 - заперт. Запуск такого Ф. осуществляется отрицат. импульсом напряжения, к-рый через С3, Д и С поступает на базу Т3 и переводит транзистор Тз в активный режим работы; при этом T1 запирается, а Т2отпирается. В рабочей стадии происходит почти линейный разряд конденсатора С. Рабочая стадия заканчивается в тот момент, когда потенциал на коллекторе Т2 достигнет нек-рого критич. значения (1-2в); при этом Т1отпирается и в результате возникшего регенеративного процесса насыщается, а Т2 запирается. В стадии восстановления С заряжается от источника питания через R3 и базу Т3; продолжительность стадии восстановления тВ =3 • R3 • С. Продолжительность рабочей стадии Ф. (т. е. длительность генерируемых импульсов) в зависимости от параметров схемы лежит в пределах от неск. мксек до неск. десятков сек и может регулироваться плавно - потенциометром П и скачкообразно-конденсатором С. Применяется Ф. для точного регулирования временной задержки, в качестве генератора пилообразного напряжения, генератора прямоугольных импульсов большой длительности в радиотехнич. устройствах. Разновидность Ф.- санатрон, или санацированный Ф.

Лит.: Важенина 3. П., Фантастрон-ные генераторы. Теория, проектирование, расчет, М., 1965; Справочник по импульсной технике, под ред. В. Н. Яковлева, 4 изд., К., 1973; Ицхоки Я. С., Овчинников Н. И., Импульсные и цифровые устройства М., 1972. Я. С. Ицхоки.

ФАНТЕН-ЛАТУР (Fantin-Latour) Анри (14.1.1836, Гренобль,-25.8.1904, Бюре, Нормандия), французский живописец и график. В 1850-е гг. учился в Париже. Был другом Э. Мане; испытал влияние Г. Курбе и Дж. М. Уистлера. Приверженец новых идей в живописи и музыке, в собственном творчестве Ф.-Л. во многом опирался на традиции голл. живописи 17 в. Живописные произв. Ф.-Л. отличаются сдержанным колоритом, статич. уравновешенностью композиц. решений. Создавал натюрморты (в т. ч. цветочные), групповые портреты художников и писателей, близкие к символизму полотна и литографии, образно интерпретирующие музыку Р. Вагнера и др. композиторов 19 в. Лит.: Kahn G., Fantin-Latour, P.,

ФАНТИ, народ в Гане, входящий в группу народов акан.

ФАНТОМ (франц. fantome, от греч. phantasma - видение, призрак), 1) причудливое явление, призрак, привидение. 2) Модель человеческого тела или его части в натуральную величину, служащая наглядным пособием.

ФАНТОМНАЯ ЦЕПЬ в проводной связи, электрическая цепь, формируемая с целью соединения к.-л. источника сигналов с их приёмником на базе цепей, соединяющих др. источники и приёмники сигналов (и наз. основными цепями связи), посредством включения в эти цепи электрич. трансформаторов со ср. точкой во вторичной обмотке. Образование Ф. ц.- наиболее простой способ получения дополнит. путей связи по имеющимся физ. цепям. Сигналы, передаваемые от источников по осн. цепям и Ф. ц., поступают только на "свои" приёмники, не складываясь друг с другом. Электрич. разделение Ф. ц. и осн. цепей основано на свойствах уравновешенной мостовой цепи. Различают Ф. ц. несимметричные относительно земли (рис., а) и симметричные (рис., 6). Ф. ц. используются для линии связи уплотнения (нередко в составе других, более совершенных систем многоканальной связи); при построении цепей дистанционного питания необслуживаемых усилит. пунктов на кабельных линиях связи и цепей служебной связи, формируемых на базе магистральных линий дальней связи; в местной телефонной и (реже) телеграфной связи.

Лит.: Многоканальная связь, под ред И. А. Аболица, М., 1971. В. С. Ромбро.

А. Фантен-Латур. Натюрморт. 1866. Национальная галерея. Вашингтон.

ФАНТОМНЫЕ ОЩУЩЕНИЯ, фантомные боли, см. в ст. Культя.

ФАН ТЮ ЧИНЬ (Phan Chu Trinh) (1872, пров. Куангнам, -24.3.1926, Сайгон), вьетнамский политич. деятель. В авг. 1906 опубликовал открытое письмо ген.-губернатору Индокитая с критикой политики колон. властей. Его пропаганда в пользу реформ способствовала подъёму крест. антиналоговых выступлений. Ф. Т. Ч. был приговорён в 1908 к смертной казни, к-рая потом была заменена пожизненной каторгой. В 1910 под давлением общественности был помилован. В 1911-25 жил во Франции. В 1925 активно участвовал в кампании вьетнамской Конституц. партии по выработке программы демократич. требований. Вернувшись на родину, выступал с лекциями о монархизме и демократии. Ф. Т. Ч. боролся за отмену феод. институтов, за достижение независимости Вьетнама путём ненасильственных действий. В 20-х гг. защищал идею парламентарной республики. Его похороны сопровождались массовыми патриотич. демонстрациями. Ф. Т. Ч. чтится вьетнамским народом как великий патриот наряду с Фан Бой Тяу. Лит.: Мхитарян С. А., Рабочий класс и национально-освободительное движение во Вьетнаме (1885 - 1930), М., 1967; Тоn Quang Phiet, Phan Boi Chau va Phan Chu Trinh, Ha-noi, 1956.

ФАНФАНИ (Fanfani) Аминторе (р. 6.2. 1908, Пьеве-Санто-Стефано, пров. Арец-цо), итальянский гос. и политич. деятель, один из лидеров Христианско-демократич. партии (ХДП). Доктор экономич. наук, автор трудов по истории экономич. учений. С 1946 депутат парламента. В 1947- 1950 мин. труда и социального обеспечения, в 1951-53 мин. сел. и лесного х-ва, в 1953 мин. внутр. дел, в 1965-68 мин. иностр. дел. В 1954, 1958-59, 1960- 1963 премьер-министр. В 1968-73 пред. сената. Ф.- чл. нац. руководства ХДП с 1946, в 1954-59 и 1973-75 политич. секретарь ХДП. Ф.- лидер течения, выступающего за политич. гегемонию ХДП в итал. обществе. В 60-х гг. был одним из инициаторов поворота ХДП к левоцент-ризму и выдвинул программу проведения нек-рых экономич. и социальных реформ. В нач. 70-х гг. выступил глашатаем сдвига политич. линии ХДП вправо, к открытому антикоммунизму. В 1976 избран пред. Нац. совета ХДП.

ФАНФАРА (итал. fanfara, от франц. fanfare), 1) медный духовой сигнальный муз. инструмент; удлинённая труба без вентилей. 2) Трубный сигнал торжественного или воинственного характера. Обычно Ф. состоят из звуков мажорного трезвучия. Используются и в симф., оперной музыке ("Фиделио", а также увертюры "Леонора" № 2 и № 3 Бетховена, "Аида" Верди, где предусмотрено исполнение их на спец. инструментах - Ф., "Итальянское каприччио" Чайковского и др.). В 2-голосных Ф. широко применяются т. н. валторновые ходы. Встречаются Ф. и в виде небольших пьес для труб и литавр, труб, валторн и тромбонов и др.

ФАН ЧЖИ-МИНЬ (1900, у. Иян, пров. Цзянси,- июль 1935, г. Наньчан), деятель Коммунистич. партии Китая (КПК). Чл. КПК с 1922, чл. ЦК КПК с 1928. Участник Нанъчанского восстания 1927, затем организатор и руководитель пар-тиз. борьбы в ряде уездов пров. Цзянси. Основал здесь революц. опорную базу, границы к-рой вскоре распространились на более чем 20 уездов пров. Цзянси, Фуцзянь, Аньхой и Чжэцзян. В 1931 назначен комиссаром 10-го корпуса кит. Красной армии, а в 1932 команд. этого корпуса. В 1934 назначен команд. авангардной колонны Красной армии, к-рая выступила из Цзянси на С. для борьбы с япон. захватчиками. В янв. 1935 войска Ф. Ч.-м. попали в окружение превосходящих сил гоминьдановской армии в юж. части пров. Аньхой. При прорыве окружения Ф. Ч.-м. попал в плен и был казнён.

Соч. в рус. пер.: Тюремные записки, М., 1959.

ФАНШИПАН (Fan Si Pan), Фанши, Фансипан, горный массив на С.-З. Вьетнама, в составе хр. Хоангльеншон. Выс. до 3143 м. Сложен преим. кварцитами, гранитами, гнейсами. Крутые, глубоко расчленённые ущельями склоны, острые гребни. На склонах вечнозелёные и (выше 1700-1800 м) листопадные и хвойные леса.

ФАНЬ ВЭНЬ-ЛАНЬ (1893, у. Шаосин, пров. Чжэцзян,-29.7.1969, Пекин), китайский историк. В 1940-45 зам. директора Центр. исследовательского ин-та Коммунистич. партии Китая (КПК), в 1945-49 ректор Сев. и проректор Сев.-кит. ун-тов в Освобождённых районах Китая, в 1950-60 директор 3-го Ин-та истории, с 1960 директор Ин-та новой истории Академии наук Китая. Кандидат в чл. ЦК КПК (с 1956), чл. ЦК КПК (с 1969). Ф. В.-л.- гл. редактор и осн. автор "Краткой истории Китая", завершённой в 1941 в г. Яньань (впоследствии Ф. В.-л., переработав этот труд, стал издавать его частями, одна из к-рых переведена на рус. язык под назв. "Древняя история Китая", 1958). Автор "Новой истории Китая" (в рус. пер., ч. 1, 1955), завершённой им в 1947 и выдержавшей неск. изданий. Один из гл. авторов концепции, относящей начало феодализма в Китае к 11 в. до н. э.

ФАНЬЕЗ (Fagniez) Гюстав (6.10.1842, Париж, -18.6.1927, Мёдон), французский историк. Чл. Академии моральных и политич. наук (1901). Один из основателей Об-ва истории Парижа (1874) и создателей журн. "Revue historique". Работы гл. обр. по соц.-экономич. истории Франции 13-17 вв., основаны на архивных материалах. Большую ценность представляет публ. Ф. документов по истории ремесла и торговли средневековой Франции.

Публ.: Documents relatifs a 1'histoire de 1'industrie et du commerce en France, v. 1-2, P., 1898-1900.

Соч.: Etudes sur 1'industrie et la classe in-dustriellea Paris au XIII et au XIV siecle, P., 1877; L'economie sociale de la France sous Hen-ri IV, P., 1897; Le pere Joseph et Richelieu, t. 1 - 2, P., 1894; La femme et la societe fran-caise dans la premiere moitie du XVII siecle, P., 1929.

ФАНЬ ЧЖЭНЬ (ок. 450 - 515), китайский философ-материалист. Автор трактата "Шэнь ме лунь" ("Об уничтожении души"), направленного против учения махаяны о загробной жизни. Трактат написан в форме диалога и рассматривает взаимоотношение души и тела. Ф. Ч. считает, что душа - функция тела и уничтожается с его смертью; все части тела - одновременно части души. В отрицании бессмертия души Ф. Ч. видит важное средство освобождения людей от страха перед муками ада и надежды на загробное воздаяние.

Лит.: Чжунго сысян тунши (История китайской идеологии), т. 3, Пекин, 1957, с. 373 - 403; Ва1azs E., The first Chinese materialist, в его кн.: Chinese civilization and bureaucracy, New Haven, 1966, p. 255 - 76.

ФАНЬЯНО (Fagnano), Ками (Cami), озеро тектонико-ледникового происхождения на о. Огненная Земля в Аргентине и Чили (зап. окраина). Пл. 593 км2. Назв. в честь открывшего его в 1886 итал. исследователя Дж. Фаньяно.

ФАО, порт в Ираке, в устье р. Шатт-эль-Араб. Вывоз нефти, поступающей по нефтепроводу с месторождений Эз-Зубайр и Эр-Румайла. Грузооборот (вместе с портом Хор-эль-Амая) 34,8 млн. т в 1972.

ФАО (Food and Agricultural Organization), см. Продовольственная и сельскохозяйственная организация ООН.

ФАОЛИТ, композиционный материал, состоящий из наполнителя, обязательным компонентом к-рого является асбест, и связующего - водноэмульсионной ре-зольной феноло-формальдегидной смолы (см. Феноло-алъдегидиые смолы). Обычно используют хризотиловый асбест в смеси с антофиллитовым, с графитом (для повышения теплопроводности) или с речным песком (для увеличения теплостойкости). Ф. получают смешением смолы с наполнителем в лопастном смесителе с последующим вальцеванием. Сырая фаолитовая масса в зависимости от назначения поступает на каландрование (т. н. листовая масса предназначена для изготовления крупногабаритных изделий), экструзию (для изготовления труб), прессование (для произ-ва фиттингов). Сформованные изделия подвергают термообработке при 150 °С (см. Отверждение полимеров). Ф. характеризуется высокой стойкостью к действию кислот (кроме кислот-окислителей). Изделия из Ф. вдвое легче кислотоупорной керамики и в 4-6 раз прочнее её. Ф. используют для замены свинца, бронзы, нержавеющей стали как конструкционный и футеровочный материал при изготовлении хим. аппаратуры и деталей. См. также Асбопластики. Г. М. Цейтлин.

ФАРА (франц. phare, первонач.- маяк, огонь маяка, от греч. Pharos - Фарос, о-в близ Александрии, известный в древности своим маяком), электрич. прибор трансп. средства или самоходной рабочей машины, предназначенный для освещения дороги, места произ-ва работ и т. д. Осн. части Ф.- оптич. элементы и штампованный корпус. Соврем. Ф. имеют полуразборный оптич. элемент, состоящий из стального отражателя, покрытого тонким слоем алюминия, источника света в виде одно- или чаще 2-нитевой лампы накаливания и рифлёного стекла - рас-сеивателя света. Нить большой мощности, расположенная в фокусе отражателя, даёт дальний свет, направленный вдоль полотна дороги; нить малой мощности смещена от фокуса вверх налево и даёт световой пучок, направленный вниз и вправо,- ближний свет. Такое асимметричное распределение света снижает опасность ослепления водителей встречных трансп. средств и улучшает освещённость прав. стороны дороги. Широкое применение находят йодные лампы фар. В колбах таких ламп заключён разрежённый газ, содержащий пары иода. При одинаковой мощности с лампами обычного типа йодные лампы дают в 2 раза большую освещённость дороги и имеют больший срок службы. Каждое трансп. средство должно иметь не менее одной пары Ф. Обе Ф. должны располагаться симметрично относительно продольной оси трансп. средства. Мн. автомобили снабжены двумя дополнит. противотуманными Ф., рассеиватель и отражатель к-рых обеспечивает распространение света в горизонтальном направлении ближе к плоскости дороги (верх. пучок света срезается при помощи металлич. экрана). На спец. автомобилях (пожарных, санитарных) допускается установка Ф.-искателей, к-рые могут поворачиваться в различных направлениях посредством шарнирного устройства. Иногда Ф. устанавливают и сзади (напр., на тракторах для наблюдения за прицепными машинами и орудиями).

Лит.: Ильин Н. М., Электрооборудование автомобилей, 4 изд., М., 1975.

ФАРАБ, посёлок гор. типа, центр Фа-рабского р-на Чарджоуской обл. Туркм. ССР. Расположен на правобережье Амударьи, в 8 км от Чарджоу. Железнодорожная станция на линии Чарджоу - Бухара.

ФАРАБИ, аль-Фараби Абу Наср Мухаммед ибн Тархан (870, Фараб,-950, Дамаск), философ и учёный-энциклопедист Востока, крупнейший представитель вост. аристотелизма. Филос. и естеств.-науч. образование получил в Халебе (Алеппо) и Багдаде. В основе философии Ф.- сочетание аристотелизма с неопла-тонич. учением об эманации: божество ("необходимо-сущее само по себе") производит в вечности мир ("необходимо-сущее благодаря другому") через последо-ват. ряд истечений (эманации), начинающийся космич. "интеллектами", каждый из к-рых соответствует определённой небесной сфере; цепь этих "интеллектов" замыкается "активным интеллектом", к-рый управляет процессами, происходящими в подлунном мире - мире возникновения и уничтожения; соединение с "активным интеллектом" - предельная цель человеческого знания.

В социально-этич. трактатах Ф. развивал учение о "добродетельном городе", руководимом правителем-философом, выступающим одновременно и как имам, предводитель религ. общины, передающий широкой публике в образно-симво-лич. форме получаемые им от "активного интеллекта" истины. Идеальному соци-ально-политич. устройству Ф. противопоставлял "невежественные города", воплощающие отрицат. нравств. качества. Ф.- автор комментариев к соч. Аристотеля (отсюда его почётное прозвище "Второй учитель") и Платона. "Большой трактат о музыке" Ф.- важнейший источник сведений о музыке Востока и др.-греч. муз. системе. Ф. оказал влияние на Ибн Сыну, Ибн Баджу, Ибн Туфайля, Ибн Рушда, а также на философию и науку ср.-век. Зап. Европы.

Соч. в рус. пер.: Философские трактаты, А.-А., 1970; Математические трактаты, А.-А., 1972; Социально-этические трактаты, А.-А., 1973; Логические трактаты, А.-А., 1975; О разуме и науке, А.-А., 1975.

Лит.: Гафуров Б. Г., Касымжанов А. X., Ал-фараби в истории культуры, М., 1975; Хайруллаев М. М., Фараби, эпоха и учение, Таш., 1975 (лит.); Madkour J., La place d'al-Farabi dans 1'ecole philosophique musulmane, P., 1934.

А. В. Сагадеев.

ФАРАДА, единица электрич. ёмкости в Международной системе единиц и в МКСА системе единиц. Названа в честь М. Фарадея. Обозначения: рус. ф, междунар. F. 1 Ф.- ёмкость конденсатора, при к-рой заряд в 1 кулон создаёт на обкладках конденсатора разность потенциалов 1 вольт. Единица ёмкости системы

СГСЭ 1 см=(1092)ф=1,113*10-12ф

(с - числовое значение скорости света в вакууме, выраженное в см/сек). В практике чаще применяются дольные от Ф. единицы: микрофарада (мкф, мF), 1 мкф = 10-6 ф, и пикофарада (пф, pF), 1 пф = 10-12ф.