ÁÎËÜØÀß  ÑÎÂÅÒÑÊÀß  ÝÍÖÈÊËÎÏÅÄÈß
 ÝÍÖÈÊËÎÏÅÄÈÈ ÑÎÄÅÐÆÈÒÑß ÁÎËÅÅ 100000 ÒÅÐÌÈÍÎÂ

À Á Â Ã Ä Å Æ Ç È É Ê Ë Ì Í Î Ï Ð Ñ Ò Ó Ô Õ Ö × Ø Ù Ý Þ ß



×ÅÐÂÎÂÎÄÍß-×ÅÐÍÅÍÊÎ

×ÅÐÂÎÂÎÄÍß, ïîìåùåíèå äëÿ âûêîðìêè ãóñåíèö òóòîâîãî øåëêîïðÿäà. Ñòðîÿò ×. âáëèçè íàñàæäåíèé øåëêîâèöû, íà ñóõîì ìåñòå, óäàë¸ííîì îò ïðîåçæèõ äîðîã, ñâàëîê, íàâîçîõðàíèëèù. Ñòåíû êèðïè÷íûå èëè ãëèíîáèòíûå, ïîëû çåìëÿíûå óòðàìáîâàííûå, ïîòîëêè óòåïë¸ííûå. Ïîìåùåíèÿ îáîðóäóþò îòîïèò, óñòðîéñòâàìè (êàëîðèôåðû, ïå÷è è äð.), ïðèòî÷íîâûòÿæíîé âåíòèëÿöèåé. Ïðè îòñóòñòâèè öåíòðàëèçîâàííîé èíêóáàöèè ÷àñòü ×., îòäåë¸ííóþ êàïèòàëüíîé ñòåíîé, îòâîäÿò ïîä èíêóáàòîðèé, ãäå îæèâëÿþò ãðåíó (ñì. Èíêóáàöèÿ ãðåíû). Ïðåäóñìàòðèâàåòñÿ òàêæå ìåñòî äëÿ õðàíåíèÿ çàïàñîâ êîðìà.  ×. óñòàíàâëèâàþò âûêîðìî÷íûå ýòàæåðêè èëè ñòåëëàæè (4-5 ÿðóñîâ).  ïîìåùåíèè ïîääåðæèâàþò òåìï-ðó 24-28 0C, îòíîñèò, âëàæíîñòü âîçäóõà 65-75%. Äëÿ çàòåíåíèÿ âîêðóã ×. âûñàæèâàþò 1-2 ðÿäà âûñîêîñòâîëüíûõ äåðåâüåâ. Îáû÷íî ×. ðàññ÷èòàíà íà âûêîðìêó ãóñåíèö èç 300 è 750 ã ãðåíû (3 ì3íà 1 ã ãðåíû).  íåê-ðûõ õ-âàõ âíåäðÿåòñÿ ðàçäåëüíîå ñîäåðæàíèå ãóñåíèö ðàçíûõ âîçðàñòîâ. Äëÿ âûêîðìêè ãóñåíèö ìëàäøèõ âîçðàñòîâ ñòðîÿò óòåïë¸ííûå ïîìåùåíèÿ, äëÿ ãóñåíèö ñòàðøèõ âîçðàñòîâ èñïîëüçóþò îáëåã÷¸ííûå ×., â ò. ÷. ðàçáîðíûå êàðêàñíûå ñ ïîêðûòèåì èç ñèíòåòè÷. ïë¸íêè.

Ëèò.: M è ë ÿ å â À. Ï., Ñïðàâî÷íèê ïî øåëêîâîäñòâó, M., 1960; Ó÷åáíàÿ êíèãà øåëêîâîäà, 2 èçä., M., 1973.

×EPBÎHEHKO Ñòåïàí Âàñèëüåâè÷ [ð. 3(16).9.1915, ñ. Îêîï, íûíå Ïîëòàâñêîé îáë.], ñîâåòñêèé äèïëîìàò, ïàðò, äåÿòåëü, êàíä. ôèëîñ. íàóê (1949). ×ë. ÊÏÑÑ ñ 1940. Ðîä. â ñåìüå êðåñòüÿíèíà. Îêîí÷èë Êèåâñêèé ãîñ. óí-ò èì. T. Øåâ÷åíêî (1936).  1937-41 äèðåêòîð ñð. øêîëû.  1941-44 â Ñîâ. Àðìèè, ó÷àñòíèê Âåëèêîé Îòå÷åñòâ, âîéíû.  1944- 1948 ïðåïîäàâàòåëü, çàâ. êàôåäðîé ìàðêñèçìà-ëåíèíèçìà, äèðåêòîð ×åðêàññêîãî ó÷èòåëüñêîãî èí-òà (ïðè Ïåäàãîãè÷.èí-òå).  1949-56 â àïïàðàòå ÖÊ ÊÏ Óêðàèíû.  1956-59 ñåêðåòàðü ÖÊ ÊÏ Óêðàèíû.  1959-65 ÷ðåçâû÷àéíûé è ïîëíîìî÷íûé ïîñîë ÑÑÑÐ â ÊÍÐ, â 1965-73 - â ×ÑÑÐ, ñ 1973 - âî Ôðàíöèè. ×ë. ÖÊ ÊÏÑÑ ñ 1961. Äåï. Âåðõ. Ñîâåòà ÑÑÑÐ 5-ãî ñîçûâà. Íàãðàæä¸í 3 îðäåíàìè Ëåíèíà, îðäåíîì Îêòÿáðüñêîé Ðåâîëþöèè, îðäåíîì Òðóäîâîãî Êðàñíîãî Çíàìåíè è ìåäàëÿìè.

×ÅÐÂÎÍÅÖ (îò ïîëüñê. czerwony - êðàñíûé, çîëîòîé), 1) îáùåå íàçâàíèå èíîñòðàííûõ çîëîòûõ ìîíåò (äóêàòîâ, öåõèíîâ), îáðàùàâøèõñÿ â äîïåòðîâñêîé Ðîññèè. 2) Ðóññêàÿ çîëîòàÿ ìîíåòà 3-ðóáë¸âîãî äîñòîèíñòâà, âûïóùåííàÿ â 1701 (ñîäåðæàëà 3,4 ã çîëîòà), èíîãäà ÷åêàíèëèñü äâîéíûå ×. 3) Áàíêîâñêèå áèëåòû, âûïóñêàâøèåñÿ Ãîñáàíêîì ÑÑÑÐ â 1922- 1947 äîñòîèíñòâîì â 1, 2, 3, 5, 10, 25 è 50 ×. Çîëîòîå ñîäåðæàíèå ×. áûëî óñòàíîâëåíî â 7,74234 ã ÷èñòîãî çîëîòà. 1 ×. = 10 ðóá. êàçíà÷åéñêèìè áèëåòàìè.  ðåçóëüòàòå äåí. ðåôîðìû 1947 ×. áûëè çàìåíåíû íîâûìè áàíêîâñêèìè áèëåòàìè, âûðàæåííûìè â ðóáëÿõ.

×ÅÐÂÎÍÍÀß ÐÓÑÜ, èñòîðè÷. íàçâàíèå Ãàëèöèè (Ãàëè÷èíû) â ïèñüì. ïàìÿòíèêàõ 16-19 ââ.

×ÅÐÂÎÍÍÎÅ ÇÎËÎÒÎ, âûñîêîïðîáíûé ñïëàâ çîëîòà ñ ìåäüþ, ïðèìåíÿâøèéñÿ ðàíåå äëÿ èçãîòîâëåíèÿ ÷åðâîíöåâ è äð. ìîíåò. ×. ç. ñîîòâåòñòâóåò ïðîáàì îò 916 (88) äî 986 (94 2/ç). Òåðìèí "×. ç." óòðàòèë òåõíè÷. çíà÷åíèå è ñîõðàíèëñÿ ëèøü â áûòó.

×ÅÐÂÎÍÎÀÐÌÅÉÑÊ (äî 1940 - P à ä ç è â è ë î â), ãîðîä, öåíòð ×åðâîíîàðìåéñêîãî ð-íà Ðîâåíñêîé îáë. ÓÑÑÐ, íà øîññå Ëüâîâ - Ðîâíî. Æ.-ä. ñòàíöèÿ íà ëèíèè Êðàñíå - Çäîëáóíîâ. Êîìáèíàòû: îâîùåñóøèëüíî-êîíñåðâíûé, ïèù., õëåáîïðîäóêòîâ; ç-äû: êîìáèêîðìîâûé, ôóðíèòóðíûé, àñôàëüòíûé; ô-êè: -"Ìàÿê", ìåáåëüíàÿ.

×ÅÐÂÎÍÎÀÐÌÅÉÑÊ, ïîñ¸ëîê ãîð. òèïà, öåíòð ×åðâîíîàðìåéñêîãî ð-íà Æèòîìèðñêîé îáë. ÓÑÑÐ. Ðàñïîëîæåí â 45 êì ê Ñ.-Ç. îò Æèòîìèðà, â 7 êì îò àâòîìàãèñòðàëè Êèåâ - Ëüâîâ è â 15 êì îò æ.-ä. ñò. Êóðíîå (íà ëèíèè Æèòîìèð - Íîâîãðàä-Âîëûíñêèé). Ç-äû: êèðïè÷íûé, ïî ïðîèç-âó ìÿñîêîñòíîé ìóêè; ïèùåêîìáèíàò, èíêóáàòîðíî-ïòèöåâîä÷. ñòàíöèÿ. Èñòîðèêî-êðàåâåä÷. ìóçåé.

×ÅÐÂÎÍÎÃÂÀÐÄÅÉÑÊÎÅ, ïîñ¸ëîê ãîð. òèïà â Âîðîøè ëîâãðà äåêîé îáë. ÓÑÑÐ. Ïîä÷èí¸í Êèðîâñêîìó ãîðñîâåòó. Ðàñïîëîæåí â 10 êì îò æ.-ä. ñò. Ñåíòÿíîâêà (íà ëèíèè Ðîäàêîâî - Êðàñíûé Ëèìàí). Äîáû÷à óãëÿ; âèííûé ç-ä.

×ÅÐÂÎÍÎÃÐÀÄ (äî 1953 - Kpèñòàíîïîëü), ãîðîä (ñ 1951) îáëàñòíîãî ïîä÷èíåíèÿ â Ëüâîâñêîé îáë. ÓÑÑÐ, íà ð. Áóã. Æ.-ä. ñòàíöèÿ íà ëèíèè Ëüâîâ - Êîâåëü. 53 òûñ. æèò. (1977). Äîáû÷à óãëÿ. Ç-äû: æåëåçîáåòîííûõ èçäåëèé, ìîëî÷íûé, äåðåâîîáð. êîìáèíàò, øâåéíàÿ, ÷óëî÷íàÿ ô-êè.  ×.- ôèëèàë Ëüâîâñêîãî ïîëèòåõíè÷åñêîãî èíñòèòóòà, ãîðíûé òåõíèêóì.

×ÅÐÂÎÍÎÃÐÈÃÎÐÎÂÊÀ, ïîñ¸ëîê ãîð. òèïà â Íèêîïîëüñêîì ð-íå Äíåïðîïåòðîâñêîé îáë. ÓÑÑÐ. Ðàñïîëîæåí íà áåðåãó Êàõîâñêîãî âîäîõðàíèëèùà, â 10 êì îò æ.-ä. ñò. Íèêîïîëü (íà ëèíèè Çàïîðîæüå - Àïîñòîëîâî). Îáúåäèíåíèå "Êîíñåðââèíïðîì".

×ÅÐÂÎÍÎÅ, ïîñ¸ëîê ãîð. òèïà â Àíäðóøåâñêîì ð-íå Æèòîìèðñêîé îáë. ÓÑÑÐ, â 18 êì îò æ.-ä. ñò. Àíäðóøåâêà (êîíå÷íûé ïóíêò æ.-ä. âåòêè îò ëèíèè Ôàñòîâ - Êàçàòèí). Çàâîäû: ñàõàðíûé, ñïèðòîâîé.

×ÅÐÂÎÍÎÅ, ïîñ¸ëîê ãîð. òèïà â Ãëóõîâñêîì ð-íå Ñóìñêîé îáë. ÓÑÑÐ. Ðàñïîëîæåí â 146 êì ê Ñ.-Ç. îò T. Ñóìû è â 6 êì îò æ.-ä. ñò. Ýñìàíü (íà ëèíèè Õóòîð-Ìèõàéëîâñêèé - Âîðîæáà). Êèðïè÷íûé ç-ä.

×ÅÐÂÎÍÎÅ ÎÇÅÐÎ, ×åðâîíîå Ïîëåñüå, Êíÿçü-îçåðî, çàðàñòàþùåå îçåðî â Ãîìåëüñêîé îáë. ÁÑÑÐ. Ïë. 43,6 êì2, ãëóá. äî 4 ì. Ïèòàíèå ñìåøàííîå. Ðàçìàõ êîëåáàíèé óðîâíÿ 0,8 ì, íàèâûñøèé óðîâåíü â ìàðòå - àïðåëå. Çàìåðçàåò â íîÿáðå - äåêàáðå; âñêðûâàåòñÿ âî âòîðîé ïîëîâèíå ìàðòà - àïðåëå. Èç ×. î. ïî äðåíàæíûì êàíàëàì è ð. Áîáðèê îñóùåñòâëÿåòñÿ ñòîê â ð. Ïðèïÿòü. Ðûáîëîâñòâî (ëåù, ùóêà, îêóíü è äð.).

×ÅÐÂÎÍÎÇÀÂÎÄÑÊÎÅ, ãîðîä (ñ 1977) â Ëîõâèöêîì ð-íå Ïîëòàâñêîé îáë. ÓÑÑÐ, íà ð. Ñóëà (ïðèòîê Äíåïðà). Æåëåçíîäîðîæíàÿ ñò. (Ñóëà) íà ëèíèè Áàõìà÷ - Êðåìåí÷óã. Ñàõ., ñïèðòîâîé êîìáèíàòû; ñóõîãî ìîëîêà è ìàñëà, êîìáèêîðìîâûé, êîðìîâûõ äðîææåé ç-äû è äð. Òåõíèêóì ïèù. ïðîì-ñòè.

×ÅÐÂÎÍÎÏÀÐÒÈÇÀÍÑÊ, ãîðîä (ñ 1960) â Âîðîøèëîâãðàäñêîé îáë. ÓÑÑÐ, ïîä÷èí¸í Ñâåðäëîâñêîìó ãîðñîâåòó. Æ.-ä. ñò. (Êðàñíàÿ Ìîãèëà) íà ëèíèè Äåáàëüåâî - Çâåðåâå. 25 òûñ. æèò. (1974). Äîáû÷à óãëÿ, îáîãàòèò, ô-êà. Êðàåâåä÷. ìóçåé.

×ÅÐÂÎÍÖÛ ìíîãîãëàçêè, ãðóïïà áëèçêèõ ðîäîâ (Lycaena, Heodes, Thersamonia) äíåâíûõ áàáî÷åê ñåì. ãîëóáÿíîê (ïðåæäå ê ×. îòíîñèëè îäèí ðîä - Chrysophanus). Êðûëüÿ êðàñíî-çîëîòèñòûå (îòñþäà íàçâàíèå), ðåæå áóðûå èëè ãîëóáîâàòûå. Ãóñåíèöû ïî ôîðìå íàïîìèíàþò ìîêðèö, ïèòàþòñÿ ëèñòüÿìè òðàâÿíèñòûõ ðàñòåíèé èç ñåì. ãðå÷èøíûõ è áîáîâûõ. Ðàñïðîñòðàíåíû ïðåèì. â Åâðîïå è Àçèè.  ÑÑÑÐ îê. 20 âèäîâ, ìíîãèå èç ê-ðûõ âñòðå÷àþòñÿ ëèøü íà âûñîêîãîðíûõ ëóãàõ Cp. Àçèè è Çàêàâêàçüÿ. Íàèáîëåå îáû÷íû: ×. îãíåííûé (H. virgaureae), ðàçìàõ êðûëüåâ 30-35 ìì, áàáî÷êè ëåòàþò â èþíå - àâãóñòå, ãóñåíèöû æèâóò íà ùàâåëå; ðàñïðîñòðàí¸í íà ëóãàõ ëåñíîé çîíû Åâðîïû è Àçèè; ×. ïÿòíèñòûé (L. phlaeas), ðàçìàõ êðûëüåâ 25-30 ìì, áàáî÷êè ëåòàþò â ìàå - èþíå, â èþëå - àâãóñòå (2 ïîêîëåíèÿ), ãóñåíèöû ðàçâèâàþòñÿ íà ùàâåëå, äóøèöå; ðàñïðîñòðàí¸í â Ñåâ. ïîëóøàðèè (êðîìå Êðàéíåãî Ñ.).

Ëèò.: Ãîðíîñòàåâ Ã. H., Íàñåêîìûå ÑÑÑÐ, M., 1970.

"×ÅÐÂÎÍÛ ØÒÀÍÄÀÐ" ("Czerwony Sztandar"- "Êðàñíîå çíàìÿ"), ðåñïóáëèêàíñêàÿ ãàçåòà Ëèòîâ. CCP íà ïîëüñêîì ÿç. Îñíîâàíà â 1953. Âûõîäèò â Âèëüíþñå 6 ðàç â íåäåëþ. Òèðàæ (1976) 46,6 òûñ. ýêç.

"×ÅÐÂÎÍÛÉ ÀÐÕÈÂ", ïðèëîæåíèå ê æóðíàëó "Àðõãâíà ñïðàâà". Èçäàâàëîñü â Õàðüêîâå â 1927 íà óêð. ÿç.: âûøëî äâå êíèãè.  "×. à." áûëè îïóáëèêîâàíû àðõèâíûå ìàòåðèàëû ïî èñòîðèè êðåñòüÿíñêîãî è íàö.-îñâîáîäèò. äâèæåíèÿ, ðåâîëþö. íàðîäíè÷åñòâà è Ãðàæä. âîéíû íà Óêðàèíå.

Èçä.: "Àðõõâíà ñïðàâà", 1927, ¹ 2 - 3,4.

×ÅÐÂÎÍÛÉ ÄÎÍÅÖ, ïîñ¸ëîê ãîð. òèïà â Áàëàêëåéñêîì ð-íå Õàðüêîâñêîé îáë. ÓÑÑÐ. Ðàñïîëîæåí íà ð. Ñåâåðñêèé Äîíåö (ïðèòîê Äîíà), â 4 êì îò æ.-ä. ñò. Øå-áåëèíêà (íà ëèíèè Õàðüêîâ - Ñâÿòîãîðñêàÿ). Âáëèçè - Øåáåëèíñêîå ãàçîâîå ìåñòîðîæäåíèå.

×EPBOHÞK Åâãåíèé Èâàíîâè÷ (ð. 21.4. 1924, Áðóñèëîâ, íûíå Æèòîìèðñêîé îáë.), ñîâåòñêèé ïåâåö (áàñ), íàð. àðò. ÑÑÑÐ (1967). ×ë. ÊÏÑÑ ñ 1960.  1950 îêîí÷èë Êèåâñêóþ êîíñåðâàòîðèþ. Ó÷åíèê Ä. Ã. Åâòóøåíêî è È. Ñ. Ïàòîðæèíñêîãî.  1950-52 ñîëèñò Óêðàèíñêîãî, ñ 1952- Õàðüêîâñêîãî òåàòðîâ îïåðû è áàëåòà. Ñðåäè ìíîãî÷èñë. ïàðòèé - Ñóñàíèí ("Èâàí Ñóñàíèí" Ãëèíêè), Áîðèñ Ãîäóíîâ ("Áîðèñ Ãîäóíîâ" Ìóñîðãñêîãî), Ìåôèñòîôåëü ("Ôàóñò" Ãóíî), Äîí Áàçèëèî ("Ñåâèëüñêèé öèðþëüíèê" Ðîññèíè), Òàðàñ è Âûáîðíûé ("Òàðàñ Áóëüáà" è "Íàòàëêà Ïîëòàâêà" Ëûñåíêî). Âûñòóïàåò êàê êîíöåðòíûé ïåâåö. Ñ 1960 ïðåïîäà¸ò â Õàðüêîâñêîì èí-òå èñê-â. Äåï. Âåðõ. Ñîâåòà ÓÑÑÐ 6-8-ãî ñîçûâîâ. Ãàñòðîëèðîâàë çà ðóáåæîì. Íàãðàæä¸í îðäåíîì Ëåíèíà.

Ëèò.: ßâîðñüêèé E., Ãîëîâíà ðîëü æèòòÿ, [Áåñåäà ñ E. ×åðâîíþêîì], "Óêðàiíà", 1974, ¹ 16.

×ÅÐÂßÒÈ (Caeciliidae), ñåìåéñòâî èç îòðÿäà áåçíîãèõ çåìíîâîäíûõ. Äë. äî 1,1ì; âíåøíå ïîõîæè íà êðóïíûõ äîæäåâûõ ÷åðâåé (îòñþäà íàçâ.). 25 ðîäîâ; ðàñïðîñòðàíåíû â òðîïèêàõ Àôðèêè, Àçèè è Àìåðèêè. Æèâóò â ïî÷âå èëè äðåâåñíîé òðóõå, íåê-ðûå - â ìóðàâåéíèêàõ è òåðìèòíèêàõ.

×EÐÂßKΠÀëåêñàíäð Ãðèãîðüåâè÷ [25.2(8.3). 1892 - 16.6.1937], ñîâåòñêèé ãîñ. è ïàðò, äåÿòåëü. ×ë. Êîììóíèñòè÷. ïàðòèè ñ ìàÿ 1917. Ðîä. â äåð. Äóêîðêè, íûíå Ìèíñêîé îáë., â êðåñò, ñåìüå. Îêîí÷èâ ãîð. ó÷-ùå, â 1909 ñäàë ýêçàìåíû íà çâàíèå íàð. ó÷èòåëÿ, ðàáîòàë â Âèëåíñêîé ãóá.  1915 îêîí÷èë Âèëåíñêèé ó÷èòåëüñêèé èí-ò, áûë ïðèçâàí â àðìèþ. Ïîñëå Ôåâð. ðåâîëþöèè 1917-îäèí èç îðãàíèçàòîðîâ Áåëîðóñ, ñ.-ä. ðàáî÷åé ïàðòèè, íà îñíîâå ê-ðîé ñîçäàíà Áåëîðóñ, ñåêöèÿ ÐÊÏ(6).  1918-20 êîìèññàð ïî áåëîðóñ, äåëàì ïðè Íàðêîìíàöå ÐÑÔÑÐ, ó÷àñòíèê ñîçäàíèÿ ÁÑÑÐ, íàðêîì ïðîñâåùåíèÿ ÁÑÑÐ, íà ïîëèòè÷. ðàáîòå â Êðàñíîé Àðìèè íà Çàï. ôðîíòå.  1920 ïðåä. Ìèíñêîãî, Áåëîðóñ, ðåâêîìîâ.  1920-24 ïðåä. ÖÈÊ è CHK, ñ 1924 ïðåä. ÖÈÊ ÁÑÑÐ; ñ 1922-îäèí èç ïðåä. ÖÈÊ ÑÑÑÐ. Äåëåãàò 11-17-ãî ñúåçäîâ ÂÊÏ(á). ×ë. Áþðî ÖÊ ÊÏ(á) Áåëîðóññèè.

Ëèò.: Íåòûëüêèí À., Æèçíü, îòäàííàÿ Îò÷èçíå, "Íåìàí", 1968, ¹ 12; ßê óò à ó Ó., À. ×àðâÿêîó, "Ïîëûìÿ", 1971, Ne 5.

×ÅÐÂßÊΠÅâãåíèé Âåíèàìèíîâè÷ [27.12.1899(7), ñ. Àáäóëèíî,-17.2. 1942], ðóññêèé ñîâåòñêèé àêò¸ð, ðåæèññ¸ð, ñöåíàðèñò. Îêîí÷èë ñòóäèþ â Óôå (1918), çàòåì Ãîñ. òåõíèêóì êèíåìàòîãðàôèè â Ìîñêâå (1927). Áûë àêò¸ðîì è ðåæèññ¸ðîì Óôèìñêîãî òåàòðà. Ñíèìàòüñÿ â êèíî íà÷àë åù¸ ñòóäåíòîì ("Çîëîòîé çàïàñ", "Êðåñò è ìàóçåð", îáà â 1925), áûë àññèñòåíòîì ðåæèññ¸ðà íà êèíîñòóäèè "Ëåíôèëüì".  ôèëüìå "Ïîýò è öàðü" èñïîëíÿë ðîëü À. Ñ. Ïóøêèíà (1927, ñîàâòîð ñöåíàðèÿ è ñîðåæèññ¸ð Â. P. Ãàðäèíà). Òâîð÷åñòâî ×. îòëè÷àëîñü òîíêèì ëèðèçìîì, ïîýòè÷íîñòüþ, ñâîåîáðàçèåì ìîíòàæà, èíòåðåñîì ê ñîâð. òåìàòèêå, ãëóáîêèì ðàñêðûòèåì ïñèõîëîãè÷. õàðàêòåðèñòèê. Ôèëüìû: "Äåâóøêà ñ äàë¸êîé ðåêè", "Ìîé ñûí" (îáà â 1928), "Ãîðîäà è ãîäû" (1930, ïî ðîìàíó Ê. Ôåäèíà), "Çàêëþ÷¸ííûå" (1936), "×åñòü" (1938), "Ñòàíèöà Äàëüíÿÿ" (1940); íîâåëëà "Ó ñòàðîé íÿíè" ("Áîåâîé êèíîñáîðíèê", ¹ 2, 1941).  1929 ïî ïîâåñòè À. Êàðàâàåâîé ïîñò, èñò. ôèëüì "Çîëîòîé êëþâ". Áûë àâòîðîì ñöåíàðèåâ ðÿäà ñâîèõ ôèëüìîâ, ñíèìàëñÿ â êàðòèíàõ äð. ðåæèññ¸ðîâ.  1941 óø¸ë äîáðîâîëüöåì â ïàðòèç. îòðÿä, 16 ôåâð. 1942 â áîþ ïîä Ëåíèíãðàäîì áûë ñìåðòåëüíî ðàíåí.

Ëèò.: Åâãåíèé Âåíèàìèíîâè÷ ×åðâÿêîâ, â ñá.: Èç èñòîðèè Ëåíôèëüìà, ò. 1, Ë., 1968; Þ ð å í å â Ð., Åâãåíèé ×åðâÿêîâ - àðòèñò è âîèí, "Èñêóññòâî êèíî", 1970, ¹ 5.

×ÅÐÂß×ÍÀß ÏÅÐÅÄÀ×À, ìåõàíè÷åñêîå óñòðîéñòâî äëÿ ïåðåäà÷è âðàùåíèÿ ìåæäó ñêðåùèâàþùèìèñÿ (îáû÷íî ïîä ïðÿìûì óãëîì) âàëàìè ïîñðåäñòâîì ÷åðâÿêà (âèíòà) è ñîïðÿæ¸ííîãî ñ íèì ÷åðâÿ÷íîãî êîëåñà. ×åðâÿê (ñì. ðèñ. 2, â ïðè ñò. Äåòàëè ìàøèí) ïðåäñòàâëÿåò ñîáîé âèíò ñ òðàïåöåèäàëüíîé èëè áëèçêîé ê íåé ðåçüáîé, à ÷åðâÿ÷íîå êîëåñî ÿâëÿåòñÿ çóá÷àòûì êîëåñîì, çóáüÿ ê-ðîãî èìåþò îñîáóþ äóãîîáðàçíóþ ôîðìó. ×åðâÿ÷íîå êîëåñî îõâàòûâàåò ÷åðâÿê íà íåê-ðîé äóãå (îáû÷íî äî 100°). Âåäóùèì â ×. ï. ÿâëÿåòñÿ îáû÷íî ÷åðâÿê, âåäîìûì - ÷åðâÿ÷íîå êîëåñî; â ðåäêèõ ñëó÷àÿõ (äëÿ ïîâûøàþùèõ ïåðåäà÷) âåäóùèì ìîæåò áûòü ÷åðâÿ÷íîå êîëåñî.  íàèáîëåå ðàñïðîñòðàí¸ííûõ ×. ï. èñïîëüçóþòñÿ öèëèíäðè÷.÷åðâÿêè; ÷åðâÿêè ñ âèòêàìè íà òîðîèäíîé ïîâåðõíîñòè ïðèìåíÿþòñÿ â ãëîáîèäíûõ ïåðåäà÷àõ.  çàâèñèìîñòè îò ÷èñëà çàõîäîâ ðåçüáû (íèòîê íàðåçêè) ðàçëè÷àþò îäíî-, äâóõ- è ÷åòûð¸õçàõîäíûå ÷åðâÿêè; ïî ôîðìå ïðîôèëÿ âèòêà - àðõèìåäîâû, ñ âîãíóòûì ïðîôèëåì è äð. ÷åðâÿêè. Âèòêè àðõèìåäîâûõ ÷åðâÿêîâ â îñåâîì ñå÷åíèè î÷åð÷åíû òðàïåöèåé è ëåãêî èçãîòîâëÿþòñÿ òî÷åíèåì. Ïåðñïåêòèâíû ÷åðâÿêè ñ âîãíóòûì ïðîôèëåì âèòêîâ ðåçüáû, îáåñïå÷èâàþùèì ìåíüøèå êîíòàêòíûå íàïðÿæåíèÿ è ëó÷øèå óñëîâèÿ äëÿ îáðàçîâàíèÿ ìàñëÿíîãî êëèíà. Äëÿ ñèëîâûõ ïåðåäà÷ ïðåäïî÷òèòåëüíû ýâîëüâåíòíûå ÷åðâÿêè, ïðîôèëü âèòêà ê-ðûõ â ïîïåðå÷íîì ñå÷åíèè î÷åð÷åí ïî ýâîëüâåíòå (ñì. Ýâîëþòà è ýâîëüâåíòà). Ïåðåäàòî÷íîå ÷èñëî ×. ï. r = Z2/Z1, ãäå Z1 - ÷èñëî çàõîäîâ ðåçüáû ÷åðâÿêà, Z2- ÷èñëî çóáüåâ ÷åðâÿ÷íîãî êîëåñà.

Îáû÷íî ïåðåäàòî÷íîå ÷èñëî ×. ï. ðàâíî 8-100 (â ðÿäå ñëó÷àåâ, íàïð, â ïðèâîäàõ ñòàíî÷íûõ ñòîëîâ áîëüøîãî äèàìåòðà, äî 1000). Áëàãîäàðÿ âîçìîæíîñòè ïîëó÷åíèÿ áîëüøèõ ïåðåäàòî÷íûõ ÷èñåë ïðè ñðàâíèòåëüíî íåáîëüøîì ãàáàðèòå ïåðåäà÷è ×. ï. ïðèìåíÿþòñÿ â ïðèâîäàõ ìàøèí, óñòðîéñòâàõ óïðàâëåíèÿ è äð. Äîñòîèíñòâà ×. ï.- ïëàâíîñòü è áåñøóìíîñòü ðàáîòû. ×. ï. ìîãóò áûòü ñàìîòîðìîçÿùèìè, ò. å. ïåðåäàþùèìè âðàùåíèå òîëüêî îò ÷åðâÿêà ê êîëåñó, ÷òî èíîãäà äà¸ò âîçìîæíîñòü âûïîëíèòü ìåõàíèçì áåç òîðìîçíîãî óñòðîéñòâà. Íåäîñòàòîê ×. ï.- çíà÷èò, îòíîñèòåëüíîå ñêîëüæåíèå ñîïðÿæ¸ííûõ ýëåìåíòîâ - âèòêîâ ÷åðâÿêà è çóáüåâ êîëåñà. Ýòî âûçûâàåò óñèëåííîå òåïëîâûäåëåíèå, ïîâûøåííûé èçíîñ è ñêëîííîñòü ê çàåäàíèþ, îïðåäåëÿåò ñðàâíèòåëüíî íèçêèé êïä (â ñðåäíåì 0,7-0,75 â îäíîçàõîäíîé ïåðåäà÷å, 0,8- 0,85 â äâóõçàõîäíîé, 0,86-0,92 â ÷åòûð¸õçàõîäíîé). Äëÿ óìåíüøåíèÿ èçíîñà è ïîâûøåíèÿ ñîïðîòèâëÿåìîñòè çàåäàíèþ ÷åðâÿ÷íûå êîë¸ñà èçãîòîâëÿþò èç ìàòåðèàëîâ ñ âûñîêèìè àíòèôðèêö. ñâîéñòâàìè, ãë. îáð. èç áðîíçû: îëîâÿíèñòîé (ïðè ñêîðîñòÿõ ñêîëüæåíèÿ 5-35 ì/ñåê) è àëþìèíèåâî-æåëåçèñòîé (ïðè ñêîðîñòÿõ ñêîëüæåíèÿ äî 10 ì!ñåê). Äëÿ ýêîíîìèè öâåòíûõ ìåòàëëîâ èõ äåëàþò ñîñòàâíûìè: áðîíçîâûé âåíåö (îáîä) óñòàíàâëèâàåòñÿ íà ñòàëüíóþ èëè ÷óãóííóþ ñòóïèöó. Ïðè ñêîðîñòÿõ ñêîëüæåíèÿ äî 2 ì/ñåê è áîëüøèõ äèàìåòðàõ êîë¸ñà ìîæíî îòëèâàòü öåëèêîì èç ÷óãóíà.  ïðèáîðàõ è íåáîëüøèõ ñèëîâûõ ïåðåäà÷àõ ìîãóò èñïîëüçîâàòüñÿ êîë¸ñà èç òåêñòîëèòà, ïîëèàìèäîâ è ò. ï. ×åðâÿêè îáû÷íî èçãîòîâëÿþò èç êà÷åñòâ. óãëåðîäèñòûõ èëè ëåãèðîâàííûõ ñòàëåé, òåðìè÷åñêè îáðàáîòàííûõ äî âûñîêîé òâ¸ðäîñòè. Äëÿ ïîâûøåíèÿ êà÷åñòâà ïîâåðõíîñòè ÷åðâÿêè øëèôóþò è ïîëèðóþò.

Ïîíèæåííûé êïä è çíà÷èòåëüíîå òåïëîâûäåëåíèå îãðàíè÷èâàþò ïðèìåíåíèå ×. ï. îáëàñòüþ íåáîëüøèõ è ñð. ìîùíîñòåé (îáû÷íî äî 50, ðåæå äî 200 êâò). Îíè èñïîëüçóþòñÿ â ïîäú¸ìíî-òðàíñï. ìàøèíàõ, ìåòàëëîðåæóùèõ ñòàíêàõ, àâòîìîáèëÿõ, òðîëëåéáóñàõ, ìåòàëëóðãè÷. ìàøèíàõ, ãèäðîòåõíè÷. ñîîðóæåíèÿõ è ò. ä. Îñí. ïðèìåíåíèå èìåþò çàêðûòûå õîðîøî ñìàçûâàåìûå ×. ï. â âèäå ÷åðâÿ÷íûõ ðåäóêòîðîâ.

Ëèò.: Äåòàëè ìàøèí. Ðàñ÷åò è êîíñòðóèðîâàíèå. Ñïðàâî÷íèê, 3 èçä., ò. 3, M., 1969; ×àñîâíèêîâ Ë. Ä., Ïåðåäà÷è çàöåïëåíèåì, 2 èçä., M., 1969; Ðåøåòîâ Ä. H., Äåòàëè ìàøèí, 3 èçä., M., 1974; Ìóõà T. È., ß í ó ø Á. Â., Ö ó ï è ê î â À. Ï., Ïðèâîäû ìàøèí. Ñïðàâî÷íèê, Ë., 1975. À. À. Ïàðõîìåíêî.

×ÅÐÃÈÍÑÊÈÉ ÕÐÅÁÅÒ, ãîðíûé õðåáåò íà Ñ.-Ç. Àëòàÿ, âîäîðàçäåë pp. Ïåñ÷àíàÿ è Ñåìà. Äë. îê. 120 êì. Âûå. íà Þ. äî 2009 ì. Ïðåîáëàäàþò ñèëüíî ðàñ÷ëåí¸ííûå ñðåäíåâûñîòíûå ãîðû, ñëîæåííûå ïåñ÷àíèêàìè è ñëàíöàìè. Íà ñêëîíàõ ëóãîâûå ñòåïè è ñîñíîâûå áîðû, âûøå - ãîðíàÿ ëèñòâåííè÷íàÿ è êåäðîâî-ïèõòîâàÿ òàéãà.

×ÅÐÄÀÊËÛ, ïîñ¸ëîê ãîð. òèïà, öåíòð ×åðäàêëèíñêîãî ð-íà Óëüÿíîâñêîé îáë. ÐÑÔÑÐ. Æ.-ä. ñòàíöèÿ íà ëèíèè Óëüÿíîâñê - Óôà, â 35 êì ê Â. îò Óëüÿíîâñêà. Ìÿñîêîìáèíàò, ñïèðòî- è ìàñëîçàâîäû, êîìáèêîðìîâûé ç-ä, ýëåâàòîð.

×ÅÐÄÛÍÑÊÀß ÄÎÐÎÃÀ, äðåâíèé ïóòü ÷åðåç ãîðû Óðàëà â Çàï. Ñèáèðü. Îò ã. ×åðäûíè ×. ä. øëà ââåðõ ïî äîëèíàì pp. Âèøåðà - Âåñëóé - Ïî÷ìîãà; äàëåå ÷åðåç âîäîðàçäåë íà ð. Òàëüòèþ è âíèç ïî ðåêàì Èâäåëü - Ëîçüâà - Òàâäà - Òîáîë.  êîí. 16 â., â ïåðâûå ãîäû ïîñëå ïàäåíèÿ Ñèáèðñêîãî õàíñòâà, ×. ä.- åäèíñòâåííûé óñòàíîâëåííûé ïðàâèòåëüñòâîì ïóòü â Ñèáèðü. Îê. 1590 íà ×. ä. áûë îñí. Ëîçüâèíñêèé ãîðîäîê.  1598 îôèöèàëüíîé ñòàëà áîëåå êîðîòêàÿ Áàáèíîâñêàÿ äîðîãà, à ×. ä. óòðàòèëà ñâî¸ çíà÷åíèå.

×ÅÐÄÛÍÖÅ Âèêòîð Âèêòîðîâè÷ [4(17).5.1912, Ìîñêâà,- 16.8.1971, òàì æå], ñîâåòñêèé ôèçèê è ãåîõèìèê, äîêòîð ôèç.-ìàòåì. íàóê (1947). Ó÷åíèê Â. È.Âåðíàäñêîãî è Â. Ã. Õëîïèíà. Ðàáîòàë â Ðàäèåâîì èí-òå ÀÍ ÑÑÑÐ (1930-44), çàòåì â Èí-òå àñòðîíîìèè è ôèçèêè ÀÍ Êàçàõ. CCP (1944-60), îäíîâðåìåííî - çàâ. êàôåäðîé ýêñïåðèìåíòàëüíîé ôèçèêè Êàçàõ. óí-òà â Àëìà-Àòå (1946-60; ïðîô. ñ 1948); ñ 1960 çàâ. ëàáîðàòîðèåé àáñ. âîçðàñòà â Ãåîë. èí-òå ÀÍ ÑÑÑÐ â Ìîñêâå. Îñí. òðóäû â îáëàñòè ãåîõèìèè èçîòîïîâ, ÿäåðíîé ãåîôèçèêè è ðàäèîãåîëîãèè. Âïåðâûå îáîñíîâàë ïðîèñõîæäåíèå òÿæ¸ëûõ õèì. ýëåìåíòîâ â ìàññèâíûõ çâ¸çäàõ.  1954 îòêðûë ñîâìåñòíî ñ Ï. È. ×àëîâûì ýôôåêò åñòåñòâ. ðàçäåëåíèÿ èçîòîïîâ óðàíà 234U è 238U (ýôôåêò ×åðäûíöåâà-×àëîâà). Îáîñíîâàë çíà÷åíèå ðàäèîàêòèâíûõ è ðàäèîãåííûõ èçîòîïîâ (4He, 40Ar) ïðè èçó÷åíèè âåðõíåé ìàíòèè Çåìëè.

Ñî÷.: Ðàñïðîñòðàí¸ííîñòü õèìè÷åñêèõ ýëåìåíòîâ, M., 1956; Óðàí-234, M., 1969; ßäåðíàÿ âóëêàíîëîãèÿ, M., 1973.

×ÅÐÄÛÍÜ, ãîðîä. öåíòð ×åðäûíñêîãî ð-íà Ïåðìñêîé îáë. ÐÑÔÑÐ. Ðàñïîëîæåí íà ïðàâ, áåðåãó ð. Êîëâà, âáëèçè âïàäåíèÿ å¸ â ð. Âèøåðà, íà ê-ðîé íàõîäèòñÿ ïðèñòàíü (â 8 êì îò ãîðîäà); â 111 êì ê Ñ. îò æ.-ä. ñòàíöèè Ñîëèêàìñê. Ïî àðõåîë. äàííûì, â 9-10 ââ. æèòåëè ïîñåëåíèÿ íà òåðð. ñîâð. ×. âåëè òîðãîâëþ ñ âîëæñêèìè áîëãàðàìè. Èçâåñòåí ñ 1472, êîãäà âîø¸ë â ñîñòàâ Ìîñê. ãîñ-âà. Îò ×. íà÷àëàñü ×åðäûíñêàÿ äîðîãà, äðåâíèé ïóòü ÷åðåç Óðàëüñêèå ãîðû â Çàï. Ñèáèðü.  16 â. â ð-íå ×. äîáûâàëàñü ñîëü, â 17 â. ñîçäàí ìåòàëëóðãè÷, ç-ä. Ñ 1781 ×.- óåçäíûé ãîðîä, ñ 1796 â Ïåðìñêîé ãóá.  19 â. êðóïíûé òîðã. öåíòð.  ×. - ëåñíàÿ ïðîì-ñòü. Ëåñîòåõíè÷. òåõíèêóì. Êðàåâåä÷. ìóçåé èì. À. Ñ. Ïóøêèíà (îñí. â 1899).

Ëèò.: × à ã è í Ã. H., ×åðäûíü. Êðàòêèé èñòîðè÷åñêèé î÷åðê, Ïåðìü, 1972; Èç ïðîøëîãî ×åðäûíñêîãî êðàÿ, Ïåðìü, 1974.

×ÅÐÅÂÈÊÈ, äðåâíåðóñ. íàçâ. êîæàíîé îáóâè. Íà Óêðàèíå ×.- êîæàíûå öâåòíûå, èíîãäà ÷¸ðíûå áàøìàêè, îáû÷íî îñòðîíîñûå è íà êàáëóêàõ.  ñåâåðîðóñ. îáëàñòÿõ ×.- ïðàçäíè÷íûå æåí. áàøìàêè, ÷àñòî òîãî æå ôàñîíà, ÷òî è óêðàèíñêèå.

×ÅÐÅÂÈ×ÅÍÊÎ ßêîâ Òèìîôååâè÷ [30.9 (12.10). 1894, ñ. Íîâîñ¸ëîâêà, íûíå Îðëîâñêîãî ð-íà Ðîñòîâñêîé îáë..-4.7. 1976, Ìîñêâà], ñîâåòñêèé âîåíà÷àëüíèê, ãåí.-ïîëê. (1941). ×ë. ÊÏÑÑ ñ 1919. Ðîä. â ñåìüå êðåñòüÿíèíà. Ó÷àñòíèê 1-é ìèðîâîé âîéíû 1914-18, ñòàðøèé óíòåð-îôèöåð. Ñ íîÿá. 1917 â Êðàñíîé Ãâàðäèè, çàòåì â Êðàñíîé Àðìèè.  Ãðàæä. âîéíó 1918-20 êîìàíäîâàë âçâîäîì, ýñêàäðîíîì è êàâ. ïîëêîì. Îêîí÷èë êàâ. êóðñû (1921), Âûñøóþ êàâ. øêîëó (1924), Âîåííóþ àêàäåìèþ èì. M. Â. Ôðóíçå (1935). Ñ èþëÿ 1940 - êîìàíä. âîéñêàìè Îäåññêîãî âîåí. îêðóãà.  Âåëèêóþ Îòå÷åñòâ, âîéíó 1941-45 - êîìàíä, âîéñêàìè 9-é (èþíü - ñåíòÿáðü 1941), 21-é (ñåíò.- îêò. 1941) àðìèé, Þæíîãî (îêò.- äåê. 1941) è Áðÿíñêîãî (äåê. 1941 - ôåâð. 1942) ôðîíòîâ, çàì. êîìàíä. âîéñêàìè Êðûìñêîãî è Ñåâ.-Êàâê. ôðîíòîâ (àïð.- àâã. 1942), êîìàíä. ×åðíîìîðñêîé ãðóïïîé âîéñê (ñåíò.- îêò. 1942), âîéñêàìè 5-é àðìèè (îêò. 1942 - ôåâð. 1943), çàì. êîìàíä. âîéñêàìè Ñåâ.-Çàï. ôðîíòà (àïð.- ñåíò. 1943), êîìàíä, âîéñêàìè Õàðüêîâñêîãî âîåí. îêðóãà (1943-44), ñ àïð. 1945 êîìàíäèð ñòðåëê. êîðïóñà íà 1-ì Áåëîðóñ. ôðîíòå. Ïîñëå âîéíû íà êîìàíäíûõ äîëæíîñòÿõ â âîéñêàõ. Ñ ìàÿ 1950 â îòñòàâêå. Äåï. Âåðõ. Ñîâåòà ÑÑÑÐ 1-ãî ñîçûâà. Íàãðàæä¸í 2 îðäåíàìè Ëåíèíà, îðäåíîì Îêòÿáðüñêîé Ðåâîëþöèè, 4 îðäåíàìè Êðàñíîãî Çíàìåíè, îðäåíàìè Êóòóçîâà 1-é ñòåïåíè, Ñóâîðîâà 2-é ñòåïåíè, Êðàñíîé Çâåçäû è ìåäàëÿìè.

×ÅÐÅÂÈ×ÍÛÉ Èâàí Èâàíîâè÷ [18(31).3. 1909, ã. Îëüâèîïîëü, íûíå Ïåðâîìàéñê Íèêîëàåâñêîé îáë.,-15.2.1971, Ìîñêâà], ñîâåòñêèé ïîëÿðíûé ë¸ò÷èê, Ãåðîé Ñîâ. Ñîþçà (1949). ×ë. ÊÏÑÑ ñ 1932.  1928-30 îáó÷àëñÿ â Ìîñê. ë¸òíîé øêîëå Îñîàâèàõèìà; ðàáîòàë ë¸ò÷èêîì-èíñòðóêòîðîì. Ñ 1934 â ïîëÿðíîé àâèàöèè. Èññëåäîâàë ðÿä âîçä. òðàññ â Ñèáèðè (ßêóòñê - Êîëûìà è äð.), ó÷àñòâîâàë â ñíÿòèè ýêñïåäèöèè È. Ä. Ïàïàíèíà ñ äðåéôóþùåé ñòàíöèè "ÑÏ-1" (1938), ëåäîâîé ðàçâåäêå (Êàðñêîå ì., ì. Ëàïòåâûõ), ïðîâîäêå ìîð. ñóäîâ ïî Ñåâ. Ìîð. ïóòè.  1941 âîçãëàâèë âîçä. ýêñïåäèöèþ, ê-ðàÿ íà ñàìîë¸òå "ÑÑÑÐ Í-169" ñîâåðøèëà íåñê. ïîñàäîê íà ë¸ä â ð-íå Àðêòè÷åñêîãî áàñc, è âïåðâûå äîñòèãëà ð-íà ïîëþñà îòíîñèòåëüíîé íåäîñòóïíîñòè. Çà 144 ë¸òíûõ ÷àñà ñàìîë¸ò, âåäîìûé ×., ïîêðûë ðàññòîÿíèå â 26 òûñ. êì. Ó÷àñòíèê MH. âîçä. âûñîêîøèðîòíûõ ýêñïåäèöèé (1948-55, 1958-60). Êîìàíäèð àâèàö. îòðÿäà ïåðâîé ñîâ. àíòàðêòè÷. ýêñïåäèöèè (1955-57). Íàãðàæä¸í 3 îðäåíàìè Ëåíèíà, 5 äð. îðäåíàìè, à òàêæå ìåäàëÿìè.

×ÅÐÅÄÀ (Bidens), ðîä îäíî- èëè ìíîãîëåòíèõ òðàâ ñåì. ñëîæíîöâåòíûõ. Ëèñòüÿ ñóïðîòèâíûå, îò öåëüíûõ äî ïåðèñòî-ðàññå÷¸ííûõ. Öâåòêè òðóá÷àòûå, îáîåïîëûå (èíîãäà êðàåâûå ÿçû÷êîâûå, áåñïëîäíûå), â ñîöâåòèÿõ - êîðçèíêàõ, ðàñïîëîæåííûõ á. ÷. ïî îäíîé íà âåðõóøêàõ ñòåáëÿ è åãî âåòâåé. Ïëîä - ñåìÿíêà, ñ 2-4 ùåòèíêàìè íà âåðõóøêå, óñàæåííûìè âíèç îáðàù¸ííûìè øèïèêàìè. Ñâ. 200 âèäîâ, ïî÷òè ïî âñåìó çåìíîìó øàðó, íî ïðåèì. â Àìåðèêå.  ÑÑÑÐ - 8 âèäîâ. ×. òð¸õðàçäåëüíàÿ (Â. tripartita) ðàñò¸ò ïî áåðåãàì âîäî¸ìîâ, áîëîòàì, êàíàâàì, ñûðûì ïóñòûðÿì è çàëåæàì, îãîðîäàì è îêðàèíàì ïîëåé; èíîãäà îáðàçóåò çàðîñëè. Ñîäåðæèò ýôèðíîå ìàñëî, ñëèçèñòûå, ãîðüêèå è äóáèëüíûå âåùåñòâà, êàðîòèí è âèòàìèí Ñ.  íàð. ìåäèöèíå ëèñòüÿ è âåðõóøêè ñòåáëåé èñïîëüçóþò äëÿ ëå÷. âàíí, ïðèìåíÿåìûõ ïðè ðàçëè÷íûõ äèàòåçàõ ñ ñûïÿìè; òðàâà âõîäèò â ñîñòàâ ïðîòèâîçîëîòóøíîãî ñáîðà.

×åðåäà òð¸õðàçäåëüíàÿ: à - âåðõíÿÿ ÷àñòü ðàñòåíèÿ; á - êîðåíü ñ îñíîâàíèåì ñòåáëÿ; â-öâåòîê; ã - ïëîä.
 
 

Ëèò.: Àòëàñ ëåêàðñòâåííûõ ðàñòåíèé ÑÑÑÐ, M., 1962; Ê î ò ó ê î â Ã. H., Êóëüòèâèðóåìûå è äèêîðàñòóùèå ëåêàðñòâåííûå ðàñòåíèÿ. Ñïðàâî÷íèê, ïåð. ñ óêð., Ê., 1974.

×ÅÐÅÄÎÂÀÍÈÅ ÏÎÊÎËÅÍÈÉ, çàêîíîìåðíàÿ ñìåíà ó îðãàíèçìîâ ãåíåðàöèé, ðàçëè÷àþùèõñÿ òèïîì ðàçìíîæåíèÿ.

Ó æèâîòíûõ èìåþòñÿ ïåðâè÷íîå è âòîðè÷íîå ×. ï. Ï å ð â è ÷ í û ì ×. ï., ñâîéñòâåííûì ìíîãèì ïðîñòåéøèì, ñ÷èòàþò ñìåíó ïîëîâîé ãåíåðàöèè ïîêîëåíèåì, ðàçìíîæàþùèìñÿ íåïîëîâûìè êëåòêàìè (àãàìåòàìè). Òàê, ó ôîðàìèíèôåð (ðèñ. 1) ÷åðåäóþùèåñÿ ïîêîëåíèÿ ïðåäñòàâëåíû ïîëîâûìè è áåñïîëûìè îñîáÿìè - ãàìîíòàìè è àãàìîíòàìè. Ãàìîíòû â ðåçóëüòàòå ìíîãîêðàòíîãî äåëåíèÿ ÿäðà îáðàçóþò ãàìåòû, ê-ðûå, êîïóëèðóÿ ïîïàðíî, äàþò çèãîòó, âûðàñòàþùóþ â àãàìîíòà. Ïîñëåäíèé â ðåçóëüòàòå øèçîãîíèè ðàñïàäàåòñÿ íà àãàìåòû - áóäóùèå ãàìîíòû. Ðåäóêöèîííîå äåëåíèå (ìåéîç) ïðîèñõîäèò ïåðåä îáðàçîâàíèåì àãàìåò, ïîýòîìó ïîëîâîå ïîêîëåíèå ãàïëîèäíî, òàê æå êàê è ãàìåòû, òîãäà êàê çèãîòà è àãàìîíòû äèïëîèäíû.

Ðèñ. 1. Öèêë ðàçâèòèÿ ôîðàìèíèôåðû Myxotheca arenilega: / - îäíîÿäåðíûé ãàìîíò; 2 - ãàìîíò ïîñëå îáðàçîâàíèÿ ÿäåð ãàìåò; 3 - êîïóëÿöèÿ ãàìåò; 4 - çèãîòà; 5 - ìîëîäîé àãàìîíò; 6 - ðàñòóùèé àãàìîíò; 7 - ìåéîç (ìîìåíò ðåäóêöèè); 8 - îáðàçîâàíèå àãàìåò (øèçîãîíèÿ); 9 - ìîëîäàÿ àãàìåòà (áóäóùèé ãàìîíò).

Ó ñïîðîâèêîâ è æãóòèêîíîñöåâ äèïëîèäíà òîëüêî çèãîòà, ïîñêîëüêó ìåéîç îñóùåñòâëÿåòñÿ ïðè å¸ ïåðâîì äåëåíèè. Ó ñîëíå÷íèêîâ, íåê-ðûõ æãóòèêîíîñöåâ è èíôóçîðèé ìåéîç ñâÿçàí ñ îáðàçîâàíèåì ãàìåò, ê-ðûå ÿâëÿþòñÿ åäèíñòâåííîé ãàïëîèäíîé ñòàäèåé æèçíåííîãî öèêëà. Òàêèå æå îòíîøåíèÿ ñâîéñòâåííû âñåì ìíîãîêëåòî÷íûì æèâîòíûì. Âòîðè÷íîå ×. ï. âñòðå÷àåòñÿ ó æèâîòíûõ â äâóõ ôîðìàõ. ×åðåäîâàíèå ðàçëè÷íûõ ôîðì ïîëîâîãî ðàçìíîæåíèÿ, íàïð, íîðìàëüíîãî ïîëîâîãî ïðîöåññà ñ ïàðòåíîãåíåçîì, íàç. ãåòåðîãîíèåé, à ÷åðåäîâàíèå ïîëîâîãî ðàçìíîæåíèÿ ñ áåñïîëûì ïîñðåäñòâîì ìíîãîêëåòî÷íûõ âåãåòàòèâíûõ òåë èëè ïóò¸ì ïîïåðå÷íîãî äåëåíèÿ -

Ðèñ. 2. Æèçíåííûé öèêë ãèäðîèäà èç ðîäà Obelia: A - ÿéöî;  - ïëàíóëà (ëè÷èíêà);  - êîëîíèÿ ïîëèïîâ ñ îäíèì âèäîèçìåí¸ííûì ïîëèïîì - áëàñòîñòèëåì, íà êîòîðîì âèäíû ðàçâèâàþùèåñÿ ìåäóçû; à - îòäåëèâøàÿñÿ ìåäóçà.

ìåòàãåíåçîì. Ãåòåðîãîíèÿ õàðàêòåðíà äëÿ òðåìàòîä, íåê-ðûõ êðóãëûõ ÷åðâåé è êîëîâðàòîê, à òàêæå äëÿ ðÿäà ÷ëåíèñòîíîãèõ - äàôíèé, òëåé, îðåõîòâîðîê, íåê-ðûõ ìóõ-ãàëëèö è äð. Ìåòàãåíåç î÷åíü õàðàêòåðåí äëÿ îáîëî÷íèêîâ (ñàëüï, áî÷¸íî÷íèêîâ, àñöèäèé, ïèðîñîì) è êèøå÷íîïîëîñòíûõ (ãèäðîèäíûõ è ñöèôîèäíûõ), ó ê-ðûõ ïîëîâîå ïîêîëåíèå ïðåäñòàâëåíî îäèíî÷íûìè ñâîáîäíîïëàâàþùèìè ìåäóçàìè, à áåñïîëîå - ñèäÿ÷èìè ïîëèïàìè, íåðåäêî îáðàçóþùèìè êîëîíèè (ðèñ. 2). Ê ìåòàãåíåçó â øèðîêîì ñìûñëå ñëåäóåò ïðè÷èñëÿòü è ïîëèýìáðèîíèþ, ò. ê. ðàçìíîæàþùèåñÿ âåãåòàòèâíî çàðîäûøè ïî ñóùåñòâó ïðåäñòàâëÿþò ñîáîé íåäîðàçâèòîå áåñïîëîå ïîêîëåíèå.

Ëèò.: Ìÿñîåäîâ Ñ. Â., ßâëåíèÿ ðàçìíîæåíèÿ è ïîëà â îðãàíè÷åñêîì ìèðå, Òîìñê, 1935; à à ð ò ì à í M., Îáùàÿ áèîëîãèÿ, ïåð. ñ íåì., 2 èçä., M.- Ë., 1936; Äîãåëü Â. À., Çîîëîãèÿ áåñïîçâîíî÷íûõ, 6 èçä., M., 1975. À. Â. Èâàíîâ.

Ó ðàñòåíèé ïîä ×. ï. îáû÷íî ïîíèìàþò ÷åðåäîâàíèå â öèêëàõ ðàçâèòèÿ äèïëîèäíîé è ãàïëîèäíîé ôàç (ðèñ. 3).

Òèïè÷íîå ×. ï. õàðàêòåðíî äëÿ ðàñòåíèé, ó ê-ðûõ ìíîãîêëåòî÷íû êàê äèïëîèäíàÿ ôàçà (äèïëîíò), òàê è ãàïëîèäíàÿ (ãàïëîíò). Äèïëîíò îáðàçóåò ñïîðàíãèè, â ê-ðûõ â ðåçóëüòàòå ìåéîçà âîçíèêàþò ñïîðû (ïîýòîìó äèïëîíò íàç. òàêæå ñïîðîôèòîì), à ãàïëîíò - ãàìåòàíãèè, â ê-ðûõ áåç ðåäóêöèîííîãî äåëåíèÿ îáðàçóþòñÿ ãàìåòû (ãàïëîíò íàç. òàêæå ãàìåòîôèòîì); ñïîðîôèò ðàçâèâàåòñÿ èç çèãîòû, à ãàìåòîôèò - èç ñïîðû. Ó îäíèõ ðàñòåíèé (íàïð., ó âîäîðîñëåé óëüâû, äèêòèîòû) ñïîðîôèò è ãàìåòîôèò ðàçâèòû îäèíàêîâî, à ó äð. äîìèíèðóåò ëèáî ãàìåòîôèò (íåê-ðûå áóðûå âîäîðîñëè, íàïð, êóòëåðèÿ, âñå ìîõîîáðàçíûå), ëèáî ñïîðîôèò (íåê-ðûå áóðûå âîäîðîñëè, íàïð, ëàìèíàðèÿ, âñå ïàïîðîòíèêîîáðàçíûå è ñåìåííûå ðàñòåíèÿ). Ó MH. çåë¸íûõ è, âîçìîæíî, íåê-ðûõ êðàñíûõ âîäîðîñëåé äèïëîèäíû òîëüêî çèãîòû, äåëÿùèåñÿ ìåéîòè÷åñêè, à ó ñèôîíîâûõ, äèàòîìîâûõ è íåê-ðûõ áóðûõ âîäîðîñëåé (êàê è ó îãðîìíîãî áîëüøèíñòâà æèâîòíûõ) ãàïëîèäíû òîëüêî ãàìåòû. Ó ýòèõ ðàñòåíèé ôàêòè÷åñêè ×. ï. íåò, õîòÿ ñìåíà ÿäåðíûõ ôàç ïðîèñõîäèò.

Ñïîðîôèòû ìîõîîáðàçíûõ, ò. í. ñïîðîãîíèè, ðàçâèâàþòñÿ íà ãàìåòîôèòàõ.

Ãàìåòîôèòû ïàïîðîòíèêîîáðàçíûõ (çàðîñòêè) ñóùåñòâóþò ñàìîñòîÿòåëüíî, à ñåìåííûõ ðàñòåíèé - ðàçâèâàþòñÿ íà ñïîðîôèòàõ. Çàðîñòêè èçîñïîðîâûõ (ðàâíîñïîðîâûõ) ðàñòåíèé îáîåïîëû, ãåòåðîñïîðîâûõ - ðàçäåëüíîïîëû è áîëåå ðåäóöèðîâàíû (îñîáåííî ìóæñêèå), ÷åì çàðîñòêè èçîñïîðîâûõ. Òàê, ó ïîêðûòîñåìåííûõ ìóæñêîé çàðîñòîê - ïûëüöåâîå çåðíî, æåíñêèé - çàðîäûøåâûé ìåøîê. Ñì. òàêæå Îïëîäîòâîðåíèå ó ðàñòåíèé.

Ëèò.: Òàõòàäæÿí À. Ë., Âûñøèå ðàñòåíèÿ, ò. 1- Îò ïñèëîôèòîâûõ äî õâîéíûõ, Ì.-Ë., 1956; Ïîääóáíàÿ-Àðíîëüäè Â. À., Öèòîýìáðèîëîãèÿ ïîêðûòîñåìåííûõ ðàñòåíèé, M., 1976.
A. H. Ñëàäêîå.

×ÅÐÅÇÇÅÐÍÈÖÀ, íåïîëíîå çàâÿçûâàíèå ñåìÿí ó çåðíîâûõ êóëüòóð (ó îçèìîé ðæè, êóêóðóçû è äð.) â ðåçóëüòàòå íåïîëíîãî îïûëåíèÿ. Âûçûâàåòñÿ íåáëàãîïðèÿòíûìè óñëîâèÿìè ïîãîäû âî âðåìÿ öâåòåíèÿ (âûñîêàÿ òåìï-pa, äîæäü, ñèëüíûå âåòðû). Äëÿ ïðåäîòâðàùåíèÿ ×. ïðîâîäÿò èñêóññòâåííîå äîïîëíèò. îïûëåíèå (íà ó÷àñòêàõ ãèáðèäèçàöèè, íà îïûòíûõ ó÷àñòêàõ) ÷åðåç 2-3 äíÿ ïîñëå íà÷àëà öâåòåíèÿ.

"×ÅÐÅÇÊÀÌÅÍÍÛÉ ÏÓÒÜ", Ïå÷îðñêèé ïóòü, ïóòü â Ñèáèðü â 16-17 ââ. ÷åðåç Ñåâ. Óðàë (ê-ðûé íàç. òîãäà "Êàìåíü"), îò ð. Ïå÷îðà ïî å¸ ïðèòîêó ð. Óñà, äàëåå âîëîêîì íà ð. Ñîáü, ïî íåé â äîëèíó Îáè ê ã. Áåð¸çîâó.

×EPEK, ðåêà â Êàáàðäèíî-Áàëêàðñêîé ÀÑÑÐ, ïðàâ. ïðèòîê ð. Áàêñàí (áàññ. Òåðåêà). Äë. 76 êì, ïë. áàññ. 3070 êì2. Îáðàçóåòñÿ ïðè ñëèÿíèè pp. ×åðåê-Áàëêàðñêèé è ×åðåê-Õóëàìñêèé, áåðóùèõ íà÷àëî èç ëåäíèêîâ ñåâ. ñêëîíà Á. Êàâêàçà. Ïèòàíèå ïðåèì. ëåäíèêîâîå è ñíåãîâîå. Ïîëîâîäüå ëåòîì. Cp. ðàñõîä âîäû íèæå ñëèÿíèÿ ñîñòàâëÿþùèõ ðåê 39,5 ì3/ñåê. Ñïëàâíàÿ.

×ÅÐÅÌÈÑÈÍÎÂÎ, ïîñ¸ëîê ãîð. òèïà, öåíòð ×åðåìèñèíîâñêîãî ð-íà Êóðñêîé îáë. ÐÑÔÑÐ. Æ.-ä. ñòàíöèÿ íà ëèíèè Êóðñê - Âîðîíåæ, â 88 êì ê Ñ.-Â. îò Êóðñêà. Ìàñëîçàâîä.

×ÅÐÅÌÈÑΠÂëàäèìèð Àíäðååâè÷ [9(21).5.1871-ãîä ñìåðòè íåèçâ.Ò, ðóññêèé ãåíåðàë îò èíôàíòåðèè (1917). Èç äâîðÿí Áàêèíñêîé ãóá. Îêîí÷èë êóðñû ïðè Ìîñê. ïåõ. þíêåðñêîì ó÷-ùå (1891) è Àêàäåìèþ Ãåíøòàáà (1899). Ñëóæèë íà øòàáíûõ äîëæíîñòÿõ, ïðåïîäàâàë â âîåí. ó÷-ùå è Àêàäåìèè Ãåíøòàáà. Âî âðåìÿ 1-é ìèðîâîé âîéíû 1914-18 êîìàíäèð ïîëêà, ãåí.-êâàðòèðìåéñòåð 12-é àðìèè, ãåí. äëÿ ïîðó÷åíèé ïðè êîìàíä. 7;é àðìèåé. Ïîñëå Ôåâð. ðåâîëþöèè 1917 äåìîêðàòè÷íî íàñòðîåííûé ×. áûë íàçíà÷åí êîìàíäèðîì êîðïóñà, ê-ðûé óñïåøíî äåéñòâîâàë â Èþíüñêîì íàñòóïëåíèè 1917.  èþëå 1917 êîìàíäîâàë 8-é àðìèåé, à ñ ñåíò.- Ñåâ. ôðîíòîì. Âî âðåìÿ Îêò. ðåâîëþöèè áëàãîäàðÿ âëèÿíèþ áîëüøåâèêîâ â âîéñêàõ Ñåâ. ôðîíòà, à òàêæå ïðèêàçó ×., ê-ðûé îòðàæàë íàñòðîåíèå ñîëäàò, âîéñêà ôðîíòà íå ïîääåðæàëè Êåðåíñêîãî - Êðàñíîâà ìÿòåæ 1917.  íîÿá. 1917 îñòàâèë ñëóæáó, óåõàë â Êèåâ, à â 1918 ýìèãðèðîâàë; ïîëèòè÷. äåÿòåëüíîñòüþ çà ãðàíèöåé íå çàíèìàëñÿ. Ñî÷.: Ðóññêî-ÿïîíñêàÿ âîéíà, 2 èçä., ÑÏÁ, 1909; Îñíîâû ñîâðåìåííîãî âîåííîãî èñêóññòâà, Ê., 1910; Ïðèêëàäíàÿ òàêòèêà, â. 1-4, ÑÏÁ, 1913-14.

×ÅÐÅÌÈÑÛ, äî 1918 íàçâ. ìàðèéöåâ.

×ÅÐÅÌÍÛÕ Ìèõàèë Ìèõàéëîâè÷ [18(3O). 10.1890, Òîìñê,-7.8.1962, Ìîñêâà], ñîâåòñêèé ãðàôèê, íàð. õóä. ÐÑÔÑÐ (1952), äåéñòâèò. ÷ë. AX ÑÑÑÐ (1958). Ó÷èëñÿ â Ìîñê. ó÷-ùå æèâîïèñè, âàÿíèÿ è çîä÷åñòâà (1911-17) ó Ê. À. Êîðîâèíà è Ñ. Â. Ìàëþòèíà. Ïðåïîäàâàë â Ìîñê. õóäîæåñòâ, èí-òå èì. Â. È. Ñóðèêîâà (1949-62; ïðîô. ñ 1950). Ñîçäàòåëü "Îêîí ÐÎÑÒÀ"; îäèí èç ñîçäàòåëåé "Îêîí ÒÀÑÑ". Ñîòðóäíè÷àë â ãàçåòàõ, æóðíàëàõ "Êðîêîäèë" (ñ 1922), "Áåçáîæíèê ó ñòàíêà", "Ñìåõà÷" è äð. Òâîð÷åñòâî ×., íàñûùåííîå ýëåìåíòàìè ñàòèðè÷. àëëåãîðèçìà è ñèìâîëèêè, ïðîíèêíóòî òÿãîòåíèåì ê ãðîòåñêíûì, àêòèâíî âîçäåéñòâóþùèì íà çðèòåëÿ ðåøåíèÿì. ×àñòî îáðàùàÿñü ê ïðè¸ìó ìîíòàæà ñþæåòíî âçàèìîñâÿçàííûõ ðèñóíêîâ, èñïîëüçóÿ ðàçëè÷íûå ãðàôè÷. ìàíåðû (ëàêîíè÷íûé, ñòèëèçîâàííûé ñèëóýò, ðèñóíîê ñ æèâîïèñíûìè ïåðåõîäàìè è íþàíñàìè òîíîâ è ò. ä.), ×. ñîçäàâàë ïëàêàòû è êàðèêàòóðû íà ìåæäóíàð. è âíóòð. òåìû ("...Íàäî áûòü ãîòîâûì". "Îêíî ÐÎÑÒÀ" ¹ 744. 1920, èëë. ñì. ò. 18, òàáë. XXII, ñòð. 320-321; "×òîá èç ýòîé ëàïû âûïàë íîæ, àíòèôàøèñòñêîãî ôðîíòà ñèëû ìíîæü", èëë. ñì. ò. 19, ñòð. 614, è äð.).

×åðåìíûõ, "Áåëîãâàðäåéñêèå çàãðàíè÷íûå ãàçåòû ïèøóò...", "Îêíî ÐÎÑÒÀ". 1921.

Âûïîëíÿë òàêæå èëëþñòðàöèè (ðèñ. ê ïðîèçâ. M. E. Ñàëòûêîâà-Ùåäðèíà, óãîëü, áåëèëà è äð. òåõíèêè, 1936-39, Ëèò. ìóçåé, Ìîñêâà; è äð.), îôîðìëÿë òåàòðàëüíûå ïîñòàíîâêè ("Ïîìïàäóðû" À. Ô. Ïàùåíêî â Ëåíèíãð. ìàëîì îïåðíîì òåàòðå, 1939, è äð.). Ãîñ. ïð. ÑÑÑÐ (1942). Íàãðàæä¸í îðäåíîì "Çíàê Ïî÷¸òà" è ìåäàëÿìè.

Ëèò.: [Êîñòèí Â. È.], M. M. ×åðåïíûõ, M., 1957; [Ñàâîñòþê Î., Óñïåíñêèé Á.], M. M. ×åðåìíûõ, [M., 1970].

×ÅÐÅÌÎØ, ×åðåìîøåëü, ðåêà íà 3. ÓÑÑÐ, ïðàâ, ïðèòîê ð. Ïðóò. Äë. 80 êì, ïë. áàññ. 2560 êì2. Îáðàçóåòñÿ ïðè ñëèÿíèè pp. ׸ðíûé ×. (87 êì) è Áåëûé ×. (51 êì), ñòåêàþùèõ ñ Âîñò. Êàðïàò. Ïèòàíèå ñìåøàííîå, ñ ïðåîáëàäàíèåì äîæäåâîãî. Cp. ðàñõîä âîäû íèæå ñëèÿíèÿ ׸ðíîãî ×. è Áåëîãî ×. 26,6 ì3/ñåê. Ñïëàâíàÿ. Íà ×.- ãã. Âèæíèöà, Âàø-êîâöû.

×ÅШÌÓÕÀ (Padus), ðîä íåâûñîêèõ äåðåâüåâ è (ðåäêî) êóñòàðíèêîâ ñåì. ðîçîöâåòíûõ. Ëèñòüÿ ïðîñòûå, î÷åðåäíûå,

×åð¸ìóõà îáûêíîâåííàÿ: à -âåòêà ñ öâåòêàìè; î - âåòêà ñ ïëîäàìè.

ñ ðàíî îïàäàþùèìè ïðèëèñòíèêàìè. Öâåòêè áåëûå, ñîáðàíû â êèñòè. Ïëîä - êîñòÿíêà. Îê. 15 (ïî äð. äàííûì, äî 27) âèäîâ, â Åâðàçèè è Ñåâ. Àìåðèêå; â ÑÑÑÐ - 4 (è íåñê. â êóëüòóðå). ×. îáûêíîâåííàÿ (P. avium, ïðåæäå P. racemosa) - äåðåâî âûå. äî 17 ì è äèàì.- 40 ñì; âñòðå÷àåòñÿ â Åâðîï. ÷àñòè ÑÑÑÐ, â Çàï. Ñèáèðè, íà Êàâêàçå è â íåê-ðûõ ð-íàõ Cp. Àçèè. Ðàñò¸ò ïðåèì. íà áîãàòûõ ïî÷âàõ, ÷àñòî â ïðèðå÷íûõ ëåñàõ. Ðàçâîäÿò ×. â ñàäàõ è ïàðêàõ. Öâåòêè ñ ñèëüíûì çàïàõîì; ìåäîíîñ. Ïëîäû óïîòðåáëÿþò â ïèùó, íà ïîäêðàñêó ñïèðòíûõ íàïèòêîâ; îòâàðû èëè íàñòîè èç íèõ ïðèìåíÿþò êàê âÿæóùèå ñðåäñòâà ïðè ïîíîñàõ. Èç êîðû äîáûâàþò êðàñêó; ìåëêîñëîéíàÿ äðåâåñèíà èä¸ò íà ïîäåëêè.  Âîñò. Ñèáèðè è íà Ä. Âîñòîêå ðàñò¸ò áëèçêèé âèä - ×. àçèàòñêàÿ (P. asiatica); íà Ä. Âîñòîêå åù¸ ×. ñüîðè (P. ssiori) è ×. M à à ê a (P. maackii), ê-ðàÿ áûëà èñïîëüçîâàíà È. Â. Ìè÷óðèíûì ïðè âûâåäåíèè èì öåðàïàäóñà.

Ðèñ. 3. ×åðåäîâàíèå ïîêîëåíèé ó ðàñòåíèé: I. ×åðåäîâàíèå ïîêîëåíèé ó ìõà: / - òåòðàäà ñïîð; 2 - ñïîðû;3 - ïðîðîñøàÿ ñïîðà; 4 - ïðîòîíåìà (ãàìåòîôèò); 5 - æåíñêîå ðàñòåíèå (ãàìåòîôèò); 6 - ìóæñêîå ðàñòåíèå (ãàìåòîôèò); 7 - àðõåãîíèè; 8 - àíòåðèäèè: 9 - âûõîä ñïåðìàòîçîèäîâ: iO - ñïåðìàòîçîèä: // - îïëîäîòâîðåíèå; 12 - ðàçâèòèå çàðîäûøà; 13 - îáðàçîâàíèå ñïîðîãîíèÿ (ñïîðîôèò íà ãàìåòîôèòå); 14 - ñïîðîãîíèé (ñïîðîôèò); 15 - êîðîáî÷êà ñïîðîãîíèÿ â ðàçðåçå. II. ×åðåäîâàíèå ïîêîëåíèé ó ïàïîðîòíèêà: / - òåòðàäà ñïîð; 2 - ñïîðû; 3 - ïðîðîñøàÿ ñïîðà; 4 - çàðîñòîê (ãàìåòîôèò); 5 - àðõåãîíèè; 6 - àíòåðèäèé; 7 - âñêðûâøèéñÿ àðõåãîíèé; 8 - âñêðûâøèéñÿ àíòåðèäèé; 9 - ñïåðìàòîçîèä: 10- îïëîäîòâîðåíèå: 11 - àðõåãîíèè ïîñëå îïëîäîòâîðåíèÿ; 12 - ðàçâèòèå ïðîðîñòêà íà çàðîñòêå (ñïîðîôèò íà ãàìåòîôèòå); 13 - ïàïîðîòíèê (ñïîðîôèò); 14 - äîëüêà ëèñòà ñî ñïîðàíãèÿìè; /5 - ñîðóñ ñïîðàíãèåâ â ðàçðåçå. III. ×åðåäîâàíèå ïîêîëåíèé ó ãîëîñåìåííûõ ðàñòåíèé: 1-2 - òåòðàäû ñïîð; 3-4 - ïûëüöåâûå ç¸ðíà (ìóæñêèå ãàìåòîôèòû); 5 - ñåìÿïî÷êà (÷àñòü ñïîðîôèòà) ñ æåíñêèì ãàìåòîôèòîì ýíäîñïåðìîì ñ äâóìÿ àðõåãîíèÿìè; â - ïðîðîñøåå ïûëüöåâîå çåðíî; 7 - ïðîðàñòàíèå ïûëüöåâîé òðóáêè ê àðõåãîíèÿì; 8 - îïëîäîòâîðåíèå; 9 - ðàçâèòèå çàðîäûøà (ñïîðîôèò); 10 - ñåìÿ; // - âçðîñëîå ðàñòåíèå (ñïîðîôèò); 12 - "ìóæñêàÿ" øèøêà (â ðàçðåçå); 13 - ñåìåííàÿ ÷åøóÿ ñ ñåìÿïî÷êàìè. IV. ×åðåäîâàíèå ïîêîëåíèé ó ïîêðûòîñåìåííûõ ðàñòåíèé: /-2 - òåòðàäû ñïîð; 3-4 - ïûëüöåâûå ç¸ðíà (ìóæñêèå ãàìåòîôèòû); 5 - ñåìÿïî÷êà (÷àñòü ñïîðîôèòà) ñ æåíñêèì ãàìåòîôèòîì - çàðîäûøåâûì ìåøêîì; 6 - ïðîðîñøåå ïûëüöåâîå çåðíî; 7 - âåðõíÿÿ ÷àñòü çàðîäûøåâîãî ìåøêà; 8 - ñõåìà ðîñòà ïûëüöåâîé òðóáêè; 9 - îïëîäîòâîðåíèå; 10 - ðàçâèòèå çàðîäûøà (ñïîðîôèò); // -îäíîñåìÿííûé ïëîä; 12 - âçðîñëîå ðàñòåíèå (ñïîðîôèò); 13 - öâåòîê; 14 - ïåñòèê; 15 - òû÷èíêà. V; ×åðåäîâàíèå ïîêîëåíèé ó áóðîé âîäîðîñëè ëàìèíàðèè: / - çîîñïîðû; 2 - ìóæñêîé ãàìåòîôèò; 3 - ñïåðìàòîçîèäû; 4 - æåíñêèé ãàìåòîôèò; 5 - ìîëîäîé ñïîðîôèò; 6 - âçðîñëûé ñïîðîôèò; 7 - çîîñïîðàíãèè. VI. ×åðåäîâàíèå ïîêîëåíèé ó çåë¸íîé âîäîðîñëè óëüâû: / - çîîñïîðà; 2 - + ãàìåòîôèò; 3 - + ãàìåòà; 4 - - ãàìåòîôèò; 5 - - ãàìåòà; 6 - êîïóëÿöèÿ ãàìåò; 7 - ìîëîäîé ñïîðîôèò 8 - âçðîñëûé ñïîðîôèò; 9 - òàëëîì ñïîðîôèòà â ðàçðåçå.

×åðåìøèíà. Ï. À. ×åðåíêîâ.

 êóëüòóðå îáû÷íû àìåðèêàíñêèå âèäû- ×. âèðãèíñêàÿ (P. virginiana) è ×. ïîçäíÿÿ (P. serotina). Ðîä ×. áëèçîê ê ðîäó âèøíÿ, ðîäñòâåí ðîäàì ëàâðîâèøíÿ, ñëèâà è ìèíäàëü; ÷àñòî âñå ýòè 5 ðîäîâ îáúåäèíÿþò â åäèíûé ðîä (Prunus).

×ÅШÌÓÕÈÍ Àëåêñåé Ìèõàéëîâè÷ [17(29).5.1895, Ìîñêâà,-19.8.1958, Ïàëàíãà Ëèòîâ. CCP], ñîâåòñêèé ó÷¸íûé â îáëàñòè ñàìîë¸òîñòðîåíèÿ, äîêòîð òåõíè÷. íàóê (1937), ïðîô. (1934), çàñë. äåÿò. íàóêè è òåõíèêè ÐÑÔÑÐ (1947).  1917- 1918- èíñòðóêòîð Êà÷èíñêîé àâèàøêîëû.  1923 îêîí÷èë Ìîñê. âûñøåå òåõíè÷. ó÷-ùå. Ñ 1918 ðàáîòàë â Öåíòð.àýðîãèäðîäèíàìè÷. èí-òå, ãäå ïðèíèìàë ó÷àñòèå â êîíñòðóèðîâàíèè è ïîñòðîéêå ïåðâûõ ñîâ. ñàìîë¸òîâ (1918-22). Êîíñòðóêòîð è èñïûòàòåëü ïåðâûõ ñîâ. âåðòîë¸òîâ (1927-35). Ñ 1938 â îïûòíîì ÊÁ A. H. Òóïîëåâà; ñ 1953 çàì. ãåí. êîíñòðóêòîðà. Ëåíèíñêàÿ ïð. (1957). Ãîñ. ïð. ÑÑÑÐ (1949, 1952). Íàãðàæä¸í 3 îðäåíàìè Ëåíèíà, 3 äð. îðäåíàìè, à òàêæå ìåäàëÿìè.

Ñî÷.: Èçáð. òðóäû, M., 1969.

×ÅШÌÓÕÎÂÎ, ïîñ¸ëîê ãîð. òèïà â Ñâåðäëîâñêîé îáë. ÐÑÔÑÐ, ïîä÷èí¸í Ñåâåðîóðàëüñêîìó ãîðñîâåòó. Ðàñïîëîæåí â 32 êì ê Ñ. îò æ.-ä. ñò. Áîêñèòû. Äîáû÷à áîêñèòîâ.

×ÅШÌÓØÑÊÈÉ, ïîñ¸ëîê ãîð. òèïà â Êîòëàññêîì ð-íå Àðõàíãåëüñêîé îáë. ÐÑÔÑÐ. Æ.-ä. ñòàíöèÿ íà ëèíèè Êîòëàñ - Âîðêóòà. Ëåñîçàãîòîâêè.

×ÅÐÅÌÕÎÂÎ, ãîðîä îáëàñòíîãî ïîä÷èíåíèÿ, öåíòð ×åðåìõîâñêîãî ð-íà Èðêóòñêîé îáë. ÐÑÔÑÐ. Æ.-ä. ñòàíöèÿ íà Òðàíññèáèðñêîé ìàãèñòðàëè, â 130 êì ê Ñ.-Ç. îò Èðêóòñêà. 87 òûñ. æèò. (1977). Îäèí èç öåíòðîâ äîáû÷è óãëÿ â Èðêóòñêîì óãîëüíîì áàññ. Ìàø.-ñòðîèò., ðóäî-ðåìîíòíûé, êàðòîííî-ðóáåðîèäíûé ç-äû, ïðåäïðèÿòèÿ ñòðîéìàòåðèàëîâ; ïèâîâàðåííûé ç-ä, ìîëîêîêîìáèíàò, ìÿñîêîìáèíàò, ÷óëî÷íàÿ è øâåéíàÿ ô-êè. Âå÷åðíèé ô-ò Èðêóòñêîãî ïîëèòåõíè÷. èí-òà, ãîðíûé òåõíèêóì, ïåä. è ìåä. ó÷-ùà. Äðà-ìàòè÷. òåàòð.

×ÅÐÅÌØÀ, òî æå, ÷òî ìåäâåæèé ëóê.

×EPEMØÀÍKA, ïîñ¸ëîê ãîð. òèïà â ×åëÿáèíñêîé îáë. ÐÑÔÑÐ, ïîä÷èí¸í Âåðõíåóôàëåéñêîìó ãîðñîâåòó. Ðàñïîëîæåí â 8 êì ê Ñ.-Â. îò æ.-ä. ñò. Âåðõíèé Óôàëåé. Äîáû÷à íèêåëåâîé ðóäû.

×EÐÅÌØÈÍÀ Ìàðêî (ïñåâä.; íàñò, èìÿ è ôàì. - Èâàí Þðüåâè÷ Ñ å ì à í þ ê) [1(13).6.1874, ñ. Êîáàêè, íûíå Êîñîâñêîãî ð-íà Èâàíî-Ôðàíêîâñêîé îáë.,-25.4. 1927, ã. Ñíÿòèè, íûíå Èâàíî-Ôðàíêîâñêîé îáë.], óêðàèíñêèé ïèñàòåëü. Ðîä. â êðåñò, ñåìüå. Îêîí÷èë þðèä. ô-ò Âåíñêîãî óí-òà (1901); äîêòîð þðèä. íàóê (1906).  1912 îòêðûë àäâîêàòñêóþ êîíòîðó â Ñíÿòèíå è ñíèñêàë ñåáå ñëàâó "ìóæèöêîãî àäâîêàòà"; â¸ë ñðåäè ìåñòíîãî íàñåëåíèÿ áîëüøóþ êóëüò.-ïðîñâåò, ðàáîòó. Ïåðâûé ðàññêàç-"Êîðì÷èé" (1896) - ïîñâ. æèçíè è òðóäó ïëîòîãîíîâ íà ð. ×åðåìîø. Öèêë ëèðè÷. ñòèõîâ â ïðîçå "Ëèñòêè" (1898) â èçâåñòíîé ìåðå îòðàçèë âëèÿíèå ýñòåòèêè ìîäåðíèçìà.  äàëüíåéøåì (âî ìíîãîì ïîä âîçäåéñòâèåì È. ß. Ôðàíêî) ×. ðåøèòåëüíî ñòàë íà ïóòü êðèòè÷. ðåàëèçìà - öèêë íîâåëë èç æèçíè ãóöóëüñêîé êðåñò. áåäíîòû (ñá. "Êàðáû", 1901). Æèçíè íàðîäà â ãîäû 1-é ìèðîâîé âîéíû 1914-18 ïîñâ.öèêë àíòèìèëèòàðèñòñêèõ íîâåëë, ñîñòàâèâøèõ ñá. "Ñåëî ïîãèáàåò" (1925). Ñîçäàííûå â ïîñëåäíèå ãîäû æèçíè íîâåëëû ×. î áåäñòâåííîì ïîëîæåíèè íàðîäíûõ ìàññ â áóðæóàçíîé Ïîëüøå ïóáëèêîâàëèñü â ñîâ. óêð. ïåðèîäèêå è â 1929 áûëè èçäàíû ïîñìåðòíî â Êèåâå (ñá. "Âåðõîâèíà"). Òâîð÷åñòâî ×. âûñîêî öåíèëè Ôðàíêî, Î. Ìàêîâåé, Î. Êîáûëÿíñêàÿ, Ëåñÿ Óêðàèíêà. Åãî ïðîèçâ. ïåðåâåäåíû íà MH. ÿçûêè íàðîäîâ ÑÑÑÐ è çàðóáåæíûõ ñòðàí.  Ñíÿòèíå ñîçäàí ìóçåé ×. (1949), òàì æå è â ñ. Êîáàêè âîçäâèãíóòû ïàìÿòíèêè ïèñàòåëþ-äåìîêðàòó.

Ñî÷.: Òâîðè, ò. 1 - 2, Êøâ, 1974; â ðóñ. ïåð.- Èçáðàííîå. [Âñòóï. ñò. Ô. Êðèâèíà], M., 1973.

Ëèò.: Çàñåíêî Î., Ìàðêî ×åðåìøèíà. Æèòòÿ i òâîð÷iñòü, Êøâ, 1974; Êðàâ÷åíêî, Ñåìàíþê H. Â., A. E. Çàñåíêî.

×ÅÐÅÍÊΠÏàâåë Àëåêñååâè÷ [ð. 15(28). 7.1904, ñ. H. ×èãëà, íûíå Âîðîíåæñêîé îáë.], ñîâåòñêèé ôèçèê, àêàä. ÀÍ ÑÑÑÐ (1970; ÷ë.-êîðð. 1964). ×ë. ÊÏÑÑ ñ 1946. Îêîí÷èë Âîðîíåæñêèé óí-ò (1928). Ñ 1930 ðàáîòàåò â Ôèç. èí-òå ÀÍ ÑÑÑÐ. Ïðîô. Ìîñê. èíæåíåðíî-ôèç. èí-òà.  1934 ïðè èññëåäîâàíèè ëþìèíåñöåíöèè æèäêîñòåé ×. îáíàðóæèë íîâûé îïòè÷. ýôôåêò, ïðîÿâëÿþùèéñÿ â ñâîåîáðàçíîì ñâå÷åíèè âåùåñòâà ïîä äåéñòâèåì çàðÿæåííûõ ÷àñòèö ñâåðõñâåòîâîé ñêîðîñòè (ñì. ×åðåíêîâà - Âàâèëîâà èçëó÷åíèå). Çà îòêðûòèå ýòîãî ýôôåêòà â 1958 ×. ïðèñóæäåíà Íîáåëåâñêàÿ ïð. ñîâìåñòíî ñ È. E. Òàììîì è È. M. Ôðàíêîì, ðàçðàáîòàâøèìè åãî òåîðèþ. Íà îñíîâå èçëó÷åíèÿ ×åðåíêîâà - Âàâèëîâà ñîçäàíû ìåòîäû ðåãèñòðàöèè çàðÿæåííûõ ÷àñòèö (ñì. ×åðåïêîâñêèé ñ÷¸ò÷èê). ×. ïðèíàäëåæàò òàêæå ðàáîòû ïî ÿäåðíîé ôèçèêå, ôèçèêå ÷àñòèö âûñîêèõ ýíåðãèé, ïî èçó÷åíèþ êîñìè÷. ëó÷åé, ðàçðàáîòêå óñêîðèòåëåé ýëåêòðîíîâ. Ãîñ. ïð. ÑÑÑÐ (1946, 1952, 1977). Íàãðàæä¸í 2 îðäåíàìè Ëåíèíà, 3 äð. îðäåíàìè, à òàêæå ìåäàëÿìè.

Ëèò.: Ïàâåë Àëåêñååâè÷ ×åðåíêîâ (ê 70-ëåòèþ ñî äíÿ ðîæäåíèÿ), "Óñïåõè ôèçè÷åñêèõ íàóê", 1974, ò. 113, â. 3.

×ÅÐÅÍÊÎÂÀ-ÂÀÂÈËÎÂÀ ÈÇËÓ×ÅÍÈÅ, ×åðåíêîâà - Âàâèëîâà ýôôåêò, èçëó÷åíèå ñâåòà ýëåêòðè÷åñêè çàðÿæåííîé ÷àñòèöåé, âîçíèêàþùåå ïðè å¸ äâèæåíèé â ñðåäå ñî ñêîðîñòüþ, ïðåâûøàþùåé ôàçîâóþ ñêîðîñòü ñâåòà â ýòîé ñðåäå (ñêîðîñòü ðàñïðîñòðàíåíèÿ ñâåòîâûõ âîëí). Îáíàðóæåíî â 1934 Ï. À. ×åðåíêîâûì ïðè èññëåäîâàíèè ãàììà-ëþìèíåñöåíöèè ðàñòâîðîâ êàê ñëàáîå ãîëóáîå ñâå÷åíèå æèäêîñòåé ïîä äåéñòâèåì ãàììà-ëó÷åé. Óæå ïåðâûå ýêñïåðèìåíòû ×åðåíêîâà, ïðåäïðèíÿòûå ïî èíèöèàòèâå Ñ. È. Âàâèëîâà, âûÿâèëè ðÿä õàðàêòåðíûõ îñîáåííîñòåé èçëó÷åíèÿ: ñâå÷åíèå íàáëþäàåòñÿ ó âñåõ ÷èñòûõ ïðîçðà÷íûõ æèäêîñòåé, ïðè÷¸ì ÿðêîñòü ìàëî çàâèñèò îò èõ õèì. ñîñòàâà, èçëó÷åíèå èìååò ïîëÿðèçàöèþ ñ ïðåèìóùåñòâ, îðèåíòàöèåé ýëåêòðè÷. âåêòîðà âäîëü íàïðàâëåíèÿ ïåðâè÷íîãî ïó÷êà, ïðè ýòîì â îòëè÷èå îò ëþìèíåñöåíöèè íå íàáëþäàåòñÿ íè òåìïåðàòóðíîãî, íè ïðèìåñíîãî òóøåíèÿ (ñì. Òóøåíèå ëþìèíåñöåíöèè). Íà îñíîâàíèè ýòèõ äàííûõ Âàâèëîâûì áûëî ñäåëàíî îñíîâîïîëàãàþùåå óòâåðæäåíèå, ÷òî îáíàðóæåííîå ÿâëåíèå - íå ëþìèíåñöåíöèÿ æèäêîñòè, à ñâåò èçëó÷àþò äâèæóùèåñÿ â íåé áûñòðûå ýëåêòðîíû (òàêèå ýëåêòðîíû âîçíèêàþò ïîä äåéñòâèåì ãàììà-ëó÷åé â ðåçóëüòàòå Êîìïòîíà ýôôåêòà). Ïîýòîìó ïðàâèëüíåå íàçûâàòü ýòî ÿâëåíèå èçëó÷åíèåì (ýôôåêòîì) Âàâèëîâà - ×åðåíêîâà â îòëè÷èå îò ïðèíÿòîãî, îñîáåííî â çàðóáåæíîé ëèòåðàòóðå, íàçâàíèÿ "ýôôåêò ×åðåíêîâà". ×.- Â. è. õàðàêòåðíî è äëÿ òâ¸ðäûõ òåë.

Ðàçëè÷íûå âèäû ñâå÷åíèÿ, âûçûâàåìîãî ãàììà-ëó÷àìè, íàáëþäàëèñü ïîñëå îòêðûòèÿ ðàäèÿ íåîäíîêðàòíî, â ÷àñòíîñòè, ñâå÷åíèå æèäêîñòåé ïîä äåéñòâèåì ãàììà-ëó÷åé èññëåäîâàëîñü (1926-29) ôðàíö. ó÷¸íûì M. Ë. Ìàëëå, ïîëó÷èâøèì ôîòîãðàôèè åãî ñïåêòðà. Îäíàêî äîêàçàòåëüñòâ òîãî, ÷òî ýòî ÿâëåíèå íîâîå, íå áûëî, íå óñòàíîâëåíî áûëî è íàèáîëåå õàðàêòåðíîå ñâîéñòâî èçëó÷åíèÿ (îáíàðóæåííîå ×åðåíêîâûì â 1936) - åãî íàïðàâëåííîñòü ïîä îñòðûì óãëîì ê ñêîðîñòè ÷àñòèöû.

Ìåõàíèçì ÿâëåíèÿ áûë âûÿñíåí â ðàáîòå È. E. Òàììà è È. M. Ôðàíêà (1937), ñîäåðæàâøåé è êîëè÷åñòâ. òåîðèþ, îñí. íà óðàâíåíèÿõ êëàññè÷. ýëåêòðîäèíàìèêè. Ê òåì æå ðåçóëüòàòàì ïðèâåëî è êâàíòîâîå ðàññìîòðåíèå (Â. Ë. Ãèíçáóðã, 1940).

Óñëîâèå âîçíèêíîâåíèÿ ×.- Â. è. è åãî íàïðàâëåííîñòü ìîãóò áûòü ïîÿñíåíû ñ ïîìîùüþ Ãþéãåíñà - Ôðåíåëÿ ïðèíöèïà. Äëÿ ýòîãî êàæäóþ òî÷êó òðàåêòîðèè çàðÿæåííîé ÷àñòèöû (íàïð., À,Â, Ñ, D, ðèñ. 1 è 2) ñëåäóåò ñ÷èòàòü èñòî÷íèêîì âîëíû, âîçíèêàþùåé â ìîìåíò ïðîõîæäåíèÿ ÷åðåç íå¸ çàðÿäà.

Ðèñ. 1. Äâèæåíèå çàðÿæåííîé ÷àñòèöû â ñðåäå ñî ñêîðîñòüþ v < è, Ñôåðû 1,2,3,4 - ïîëîæåíèå ïàðöèàëüíûõ âîëí, èñïóùåííûõ ÷àñòèöåé èç òî÷åê A,B,C,D, ñîîòâåòñòâåííî.

 îïòè÷åñêè èçîòðîïíîé ñðåäå òàêèå ïàðöèàëüíûå âîëíû áóäóò ñôåðè÷åñêèìè, ò. ê. îíè ðàñïðîñòðàíÿþòñÿ âî âñå ñòîðîíû ñ îäèíàêîâîé ñêîðîñòüþ è = ñ/n (çäåñü ñ - ñêîðîñòü ñâåòà â âàêóóìå, a n - ïîêàçàòåëü ïðåëîìëåíèÿ ñâåòà äàííîé ñðåäû). Äîïóñòèì, ÷òî ÷àñòèöà, äâèãàÿñü ñî ñêîðîñòüþ v, â ìîìåíò íàáëþäåíèÿ íàõîäèëàñü â òî÷êå E. Çà (ñåêóíä äî ýòîãî îíà ïðîõîäèëà ÷åðåç òî÷êó À (ðàññòîÿíèå äî íå¸ îò E ðàâíî vt). Ñëåäîâàòåëüíî, âîëíà, èñïóùåííàÿ èç Ë, ê ìîìåíòó íàáëþäåíèÿ ïðåäñòàâèòñÿ ñôåðîé ðàäèóñà R = ut (íà ðèñ. 1 è 2 åé ñîîòâåòñòâóåò îêðóæíîñòü1). Èç òî÷åê Â, Ñ, D ñâåò áûë èñïóùåí âî âñ¸ áîëåå è áîëåå ïîçäíèå ìîìåíòû âðåìåíè, è âîëíû èç íèõ ïðåäñòàâëÿþò îêðóæíîñòè 2, 3, 4. Ïî ïðèíöèïó Ãþéãåíñà ïàðöèàëüíûå âîëíû ãàñÿò äðóã äðóãà â ðåçóëüòàòå èíòåðôåðåíöèè âñþäó, çà èñêëþ÷åíèåì èõ îáùåé îãèáàþùåé, êîòîðîé ñîîòâåòñòâóåò âîëíîâàÿ ïîâåðõíîñòü ñâåòà, ðàñïðîñòðàíÿþùåãîñÿ â ñðåäå.

Ïóñòü ñêîðîñòü ÷àñòèöû vìåíüøå ñêîðîñòè ñâåòà è â ñðåäå (ðèñ. 1). Òîãäà ñâåò, ðàñïðîñòðàíÿþùèéñÿ âïåð¸ä, áóäåò îáãîíÿòü ÷àñòèöó íà òåì áîëüøåå ðàññòîÿíèå, ÷åì ðàíüøå îí èñïóùåí. Îáùåé îãèáàþùåé ïàðöèàëüíûå âîëíû ïðè ýòîì íå èìåþò - âñå îêðóæíîñòè 1,2, 3, 4 ëåæàò îäíà âíóòðè äðóãîé. Ýòî ñîîòâåòñòâóåò òîìó î÷åâèäíîìó ôàêòó, ÷òî ýëåêòðè÷. çàðÿä ïðè ðàâíîìåðíîì è ïðÿìîëèíåéíîì äâèæåíèè ñî ñêîðîñòüþ, ìåíüøåé ñêîðîñòè ñâåòà â ñðåäå, íå äîëæåí èçëó÷àòü ñâåò. Îäíàêî ïîëîæåíèå èíîå, åñëè v > è = ñ/n, èëè Bï > 1 (1) (ãäå B = v/ñ), ò. å. åñëè ÷àñòèöà äâèæåòñÿ áûñòðåå ñâåòîâûõ âîëí. Ñîîòâåòñòâóþùèå èì ñôåðû ïåðåñåêàþòñÿ (ðèñ. 2). Èõ îáùàÿ îãèáàþùàÿ (âîëíîâàÿ ïîâåðõíîñòü) - êîíóñ ñ âåðøèíîé â òî÷êå E, ñîâïàäàþùåé ñ ìãíîâåííûì ïîëîæåíèåì ÷àñòèöû, à íîðìàëè ê îáðàçóþùèì êîíóñà îïðåäåëÿþò âîëíîâûå âåêòîðû (ò. å. íàïðàâëåíèå ðàñïðîñòðàíåíèÿ ñâåòà).

Ðèñ. 2. Äâèæåíèå çàðÿæåííîé ÷àñòèöû â ñðåäå ñî ñêîðîñòüþ v > u. Óãîë Q óêàçûâàåò íàïðàâëåíèå âîçíèêàþùåãî èçëó÷åíèÿ.

Óãîë, ê-ðûé ñîñòàâëÿåò âîëíîâîé âåêòîð ñ íàïðàâëåíèåì äâèæåíèÿ ÷àñòèöû (ñì. ðèñ. 2), óäîâëåòâîðÿåò ñîîòíîøåíèþ: cos Q = u/v = c/nv = 1/Bn. (2)

Òàêîé æå ìåòîä ðàññìîòðåíèÿ ìîæíî ïðîâåñòè è äëÿ îïòè÷åñêè àíèçîòðîïíûõ ñðåä. Ïðè ýòîì íóæíî ó÷èòûâàòü, ÷òî ñêîðîñòü ñâåòà â ýòîé ñðåäå çàâèñèò îò íàïðàâëåíèÿ åãî ðàñïðîñòðàíåíèÿ, ïîýòîìó ïàðöèàëüíûå âîëíû íå ÿâëÿþòñÿ ñôåðàìè.  ýòîì ñëó÷àå îáûêíîâåííîìó è íåîáûêíîâåííîìó ëó÷àì áóäóò ñîîòâåòñòâîâàòü ðàçíûå êîíóñû è èçëó÷åíèå áóäåò âîçíèêàòü ïîä ðàçíûìè óãëàìè 0 ê íàïðàâëåíèþ ðàñïðîñòðàíåíèÿ ÷àñòèöû ñîãëàñíî ñîîòíîøåíèþ (2). Óñëîâèå (1) äëÿ îïòè÷åñêè àíèçîòðîïíûõ ñðåä ôîðìóëèðóåòñÿ íåñêîëüêî èíà÷å. Âî âñåõ ñëó÷àÿõ îñí. ôîðìóëû òåîðèè õîðîøî ñîãëàñóþòñÿ ñ îïûòîì.

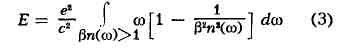
Òåîðèÿ ïîêàçàëà, ÷òî â îïòè÷åñêè èçîòðîïíîé ñðåäå ÷àñòèöà ñ çàðÿäîì å, ïðîøåäøàÿ ðàññòîÿíèå â 1 ñì ñî ñêîðîñòüþ v > è, èçëó÷àåò ýíåðãèþ:
2904-1.jpg

(w = 2 nc/A - öèêëè÷åñêàÿ ÷àñòîòà ñâåòà, A - äëèíà âîëíû èçëó÷àåìîãî ñâåòà â âàêóóìå). Ïîäûíòåãðàëüíîå âûðàæåíèå îïðåäåëÿåò ðàñïðåäåëåíèå ýíåðãèè â ñïåêòðå ×.- Â. è., à îáëàñòü èíòåãðèðîâàíèÿ îãðàíè÷åíà óñëîâèåì (1).

×.- Â. è. âîçíèêàåò ïðè äâèæåíèè íå òîëüêî ýëåêòðîíà â ñðåäå, íî è ëþáîéçàðÿæåííîé ÷àñòèöû, åñëè äëÿ íå¸ âûïîëíÿåòñÿ óñëîâèå (1). Äëÿ ýëåêòðîíîâ â æèäêîñòÿõ è òâ¸ðäûõ òåëàõ óñëîâèå (1) íà÷èíàåò âûïîëíÿòüñÿ óæå ïðè ýíåðãèÿõ ~ 105 ýâ (òàêèå ýíåðãèè èìåþò MH. ýëåêòðîíû ðàäèîàêòèâíûõ ïðîöåññîâ). Áîëåå òÿæ¸ëûå ÷àñòèöû äîëæíû îáëàäàòü áîëüøåé ýíåðãèåé, íàïð. ïðîòîí, ìàññà ê-ðîãî â ~2000 ðàç áîëüøå ýëåêòðîííîé, äëÿ äîñòèæåíèÿ íåîáõîäèìîé ñêîðîñòè äîëæåí îáëàäàòü ýíåðãèåé ~ 108 ýâ (òàêèå ïðîòîíû ìîæíî ïîëó÷èòü òîëüêî â ñîâð. óñêîðèòåëÿõ).

Íà îñíîâå ×.- Â. è. ðàçðàáîòàíû ýêñïåðèìåíòàëüíûå ìåòîäû, ê-ðûå øèðîêî ïðèìåíÿþòñÿ â ÿäåðíîé ôèçèêå êàê äëÿ ðåãèñòðàöèè ÷àñòèö, òàê è äëÿ èçó÷åíèÿ èõ ïðèðîäû (ñì. ×åðåïêîâñêèé ñ÷¸ò÷èê). Èçìåðåíèå 0 â ñðåäå (ðàäèàòîðå) ñ èçâåñòíûì n èëè îïðåäåëåíèå ïîðîãà èçëó÷åíèÿ ïîçâîëÿþò ïîëó÷àòü èç óðàâíåíèÿ (2) èëè óñëîâèÿ (1) ñêîðîñòü ÷àñòèöû. Óñòàíîâèâ ñêîðîñòü ÷àñòèöû è îïðåäåëèâ å¸ ýíåðãèþ ïî îòêëîíåíèþ â ìàãíèòíîì ïîëå, ìîæíî ðàññ÷èòàòü ìàññó ÷àñòèöû (ýòî áûëî, íàïð., èñïîëüçîâàíî ïðè îòêðûòèè àíòèïðîòîíà). Äëÿ óëüòðàðåëÿòèâèñòñêèõ ÷àñòèö óñëîâèå (1) íà÷èíàåò âûïîëíÿòüñÿ óæå â ñæàòûõ ãàçàõ (ãàçîâûå ÷åðåíêîâñêèå ñ÷¸ò÷èêè). ×.- Â. è., âîçíèêàþùåå â àòìîñôåðå Çåìëè, ñëóæèò äëÿ èçó÷åíèÿ êîñìè÷. ëó÷åé.

×.- Â. è. ìîæåò íàáëþäàòüñÿ â ÷èñòîì âèäå òîëüêî â èäåàëüíûõ ñëó÷àÿõ, êîãäà ÷àñòèöà äâèæåòñÿ ñ ïîñòîÿííîé ñêîðîñòüþ â ðàäèàòîðå íåîãðàíè÷åííîé äëèíû. Ïðè ïåðåñå÷åíèè ÷àñòèöåé ïîâåðõíîñòè ðàäèàòîðà âîçíèêàåò ò. í. ïåðåõîäíîå èçëó÷åíèå. Îíî áûëî òåîðåòè÷åñêè ïðåäñêàçàíî Ãèíçáóðãîì è Ôðàíêîì (1946) è âïîñëåäñòâèè èññëåäîâàíî ýêñïåðèìåíòàëüíî. Ñóùíîñòü åãî ñîñòîèò â òîì, ÷òî ýëåêòðîìàãíèòíîå ïîëå ÷àñòèöû â âàêóóìå è â ñðåäå ðàçëè÷íû. Ëþáîå èçìåíåíèå ïîëÿ ÷àñòèöû âñåãäà ïðèâîäèò ê èçëó÷åíèþ ñâåòà. Ïðè òîðìîçíîì èçëó÷åíèè, íàïð., îíî âûçûâàåòñÿ èçìåíåíèåì ñêîðîñòè ÷àñòèöû, à â ñëó÷àå ïåðåõîäíîãî èçëó÷åíèÿ òåì, ÷òî ìåíÿþòñÿ ýëåêòðîìàãíèòíûå ñâîéñòâà ñðåäû âäîëü òðàåêòîðèè ÷àñòèöû.  òîíêîì ðàäèàòîðå, óäîâëåòâîðÿþùåì óñëîâèþ (1), ïåðåõîäíîå èçëó÷åíèå â èçâåñòíîé ìåðå íåîòäåëèìî îò ×.- Â. è.  íåïðîçðà÷íûõ äëÿ ñâåòà âåùåñòâàõ âîçíèêàþùåå íà èõ ãðàíèöå ïåðåõîäíîå èçëó÷åíèå èãðàåò äîìèíèðóþùóþ ðîëü, ò. ê. èíòåíñèâíîñòü ×.- Â. è. ñíèæåíà åãî ïîãëîùåíèåì. Ïåðåõîäíîå èçëó÷åíèå âîçíèêàåò è òîãäà, êîãäà íå âûïîëíåíî óñëîâèå (1) (íàïð., ïðè ìàëûõ ñêîðîñòÿõ ÷àñòèöû èëè, íàïðîòèâ, ïðè èçëó÷åíèè óëüòðàðåëÿòèâèñòñêîé ÷àñòèöû â îáëàñòè ÷àñòîò ðåíòãåíîâñêîãî ñïåêòðà, ãäå n< 1 è, ñëåäîâàòåëüíî, âñåãäà Bn<1). Èíòåíñèâíîñòü ïåðåõîäíîãî èçëó÷åíèÿ ìàëà è îáû÷íî íåäîñòàòî÷íà äëÿ ðåãèñòðàöèè îòäåëüíîé ÷àñòèöû. Äëÿ ýôôåêòèâíîé åãî ðåãèñòðàöèè ìîæåò áûòü èñïîëüçîâàíî ñóììèðîâàíèå èçëó÷åíèÿ ÷àñòèöû ïðè ïîñëåäîâàòåëüíîì ïåðåñå÷åíèè åþ íåñêîëüêèõ ãðàíèö ðàçäåëà.

 1940 Ý. Ôåðìè îáîáùèë òåîðèþ ×.- Â. è., ïðèíÿâ âî âíèìàíèå, ÷òî ðåàëüíàÿ ñðåäà îáëàäàåò ñïîñîáíîñòüþ ïîãëîùàòü ñâåò ïî êðàéíåé ìåðå â íåê-ðûõ îáëàñòÿõ ñïåêòðà. Ïîëó÷åííûå èì ðåçóëüòàòû âíåñëè ñóùåñòâåííûå óòî÷íåíèÿ â òåîðèþ ò. í. èîíèçàöèîííûõ ïîòåðü çàðÿæåííûìè ÷àñòèöàìè (ýôôåêò ïîëÿðèçàöèè ñðåäû).

×.- Â. è. ÿâëÿåòñÿ ïðèìåðîì îïòèêè "ñâåðõñâåòîâûõ" ñêîðîñòåé è èìååò ïðèíöèïèàëüíîå çíà÷åíèÿ. ×.- Â. è. ýêñïåðèìåíòàëüíî è òåîðåòè÷åñêè èçó÷åíî íå òîëüêî â îïòè÷åñêè èçîòðîïíûõ ñðåäàõ, íî è â êðèñòàëëàõ (îïòè÷åñêè àíèçîòðîïíûå ñðåäû), òåîðåòè÷åñêè ðàññìîòðåíî èçëó÷åíèå ýëåêòðè÷åñêèõ è ìàãíèòíûõ äèïîëåé è ìóëüòèïîëåé. Îæèäàåìûå ñâîéñòâà èçëó÷åíèÿ äâèæóùåãîñÿ ìàãíèòíîãî çàðÿäà áûëè èñïîëüçîâàíû äëÿ ïîèñêîâ ìàãíèòíîãî ìîíîïîëÿ. Ðàññìîòðåíî èçëó÷åíèå ÷àñòèöû â êàíàëå âíóòðè ñðåäû (íàïð., èçëó÷åíèå ïó÷êà ÷àñòèö âíóòðè âîëíîâîäà). Ïðè ×.- Â. è. íîâûå îñîáåííîñòè ïðèîáðåòàåò Äîïëåðà ýôôåêò. â ñðåäå: ïîÿâëÿþòñÿ ò. í. àíîìàëüíûé è ñëîæíûé ýôôåêòû Äîïëåðà. Ìîæíî ïîëàãàòü, ÷òî âñÿêàÿ ñèñòåìà ÷àñòèö, ñïîñîáíàÿ âçàèìîäåéñòâîâàòü ñ ýëåêòðîìàãíèòíûì ïîëåì, áóäåò èçëó÷àòü ñâåò çà ñ÷¸ò ñâîåé êèíåòè÷åñêîé ýíåðãèè, åñëè å¸ ñêîðîñòü ïðåâûøàåò ôàçîâóþ ñêîðîñòü ñâåòà.

Òåîðåòè÷åñêèå ïðåäñòàâëåíèÿ, ëåæàùèå â îñíîâå ×.- Â. è., òåñíî ñâÿçàíû ñ äð. ÿâëåíèÿìè, èìåþùèìè çíà÷åíèå â ñîâð. ôèçèêå (âîëíû Ìàõà â àêóñòèêå, âîïðîñû óñòîé÷èâîñòè äâèæåíèÿ ÷àñòèö â ïëàçìå è ãåíåðàöèè â íåé âîëí, íåê-ðûå ïðîáëåìû òåîðèè óñêîðèòåëåé ÷àñòèö, à òàêæå ãåíåðàöèÿ è óñèëåíèå ýëåêòðîìàãíèòíûõ âîëí).

Ëèò.: ×åðåíêîâ Ï. À., Âèäèìîå ñâå÷åíèå ÷èñòûõ æèäêîñòåé ïîä äåéñòâèåìpaäèàöèè, "Äîêë. ÀÍ ÑÑÑÐ", 1934, ò. 2, ¹ 8; Âàâèëîâå. È., Î âîçìîæíûõ ïðè÷èíàõ ñèíåãî y-ñâå÷åííÿ æèäêîñòåé, òàì æå; T à ì ì È. E., , Êîãåðåíòíîå èçëó÷åíèå áûñòðîãî ýëåêòðîíà â ñðåäå, òàì æå, 1937, ò. 14, ¹ 3; ×åðåíêîâ Ï. À., Òà ìì È. E., ÔðàíêÈ. M., Íîáåëåâñêèå ëåêöèè, M., i960; Ä æå ë ëè Ä æ., ×åðåíêîâñêîå èçëó÷åíèå è åãî ïðèìåíåíèÿ, ïåð. ñ àíãë., M., 1960; Çðåëîå Â. Ï., Èçëó÷åíèå Âàâèëîâà - ×åðåíêîâà è åãî ïðèìåíåíèå â ôèçèêå âûñîêèõ ýíåðãèé, ÷. 1-2, M., 1968. È. M. Ôðàíê.

×ÅÐÅÍÊÎÂÀÍÈÅ, ñïîñîá ðàçìíîæåíèÿ ðàñòåíèé îòäåëÿåìûìè îò íèõ ÷àñòÿìè (÷åðåíêàìè). Ïðèìåíÿåòñÿ â ïëîäîâîäñòâå, äåêîðàòèâíîì ñàäîâîäñòâå, ëåñîâîäñòâå, ïðè âûðàùèâàíèè íåê-ðûõ òåõíè÷., ëåêàðñòâåííûõ è äð. ðàñòåíèé. ×àùå âñåãî ïðàêòèêóåòñÿ ðàçìíîæåíèå ÷åðåíêàìè êîðíåâûìè è ñòåáëåâûìè (îäðåâåñíåâøèìè áåç ëèñòüåâ è çåë¸íûìè ñ ëèñòüÿìè). Êîðíåâûìè ÷åðåíêàìè ðàçìíîæàþò ìàëèíó, åæåâèêó, ìîëîäûå ñåÿíöû ÿáëîíè, ñåðåáðèñòûé òîïîëü è äð. Ñòåáëåâûìè îäðåâåñíåâøèìè ÷åðåíêàìè ðàçìíîæàþò ñìîðîäèíó, âèíîãðàä, àéâó, èíæèð è äð. Çåë¸íûå ÷åðåíêè ñ 2-3 ëèñòüÿìè ïðèìåíÿþò äëÿ ðàçìíîæåíèÿ ñìîðîäèíû, ñëèâû, âèøíè, âèíîãðàäà, íåê-ðûõ ñîðòîâ êðûæîâíèêà è äð. Ëèñòîâûìè ÷åðåíêàìè ðàçìíîæàþò áåãîíèþ, ôèàëêó è äð. Ñì. Âåãåòàòèâíîå ðàçìíîæåíèå.

×ÅÐÅÍÊÎÂÑÊÈÉ ÑרÒ×ÈÊ, ïðèáîð äëÿ ðåãèñòðàöèè çàðÿæåííûõ ÷àñòèö è y-êâàíòîâ, â ê-ðîì èñïîëüçóåòñÿ ×åðåíêîâà-Âàâèëîâà èçëó÷åíèå. Åñëè çàðÿæåííàÿ ÷àñòèöà äâèæåòñÿ â ñðåäå ñî ñêîðîñòüþ v, ïðåâûøàþùåé ôàçîâóþ ñêîðîñòü ñâåòà äëÿ äàííîé ñðåäû (ñ/n, n - ïîêàçàòåëü ïðåëîìëåíèÿ ñðåäû, ñ - ñêîðîñòü ñâåòà â âàêóóìå), òî ÷àñòèöà èñïóñêàåò ÷åðåíêîâñêîå èçëó÷åíèå. Ïîñëåäíåå ïðîèñõîäèò â îïðåäåë¸ííîì íàïðàâëåíèè, ïðè÷¸ì óãîë â ìåæäó íàïðàâëåíèåì èçëó÷åíèÿ è òðàåêòîðèåé ÷àñòèöû ñâÿçàí ñ v è n ñîîòíîøåíèåì:

cos Q = ñ/vn = 1/Bn (B = v/c). (1)

Èíòåíñèâíîñòü N ÷åðåíêîâñêîãî èçëó÷åíèÿ íà 1 ñì ïóòè â èíòåðâàëå äëèí âîëí îò A1 äî A2âûðàæàåòñÿ ñîîòíîøåíèåì:
2904-2.jpg

Çäåñü Z - çàðÿä ÷àñòèöû (â åäèíèöàõ çàðÿäà ýëåêòðîíà).

 îòëè÷èå îò ñöèíòèëëÿöèîííîãî ñ÷¸ò÷èêà, ãäå ðåãèñòðèðóþòñÿ ÷àñòèöû ñ ëþáîé ñêîðîñòüþ, à èçëó÷åíèå èçîòðîïíî è çàïàçäûâàåò âî âðåìåíè, â ×. ñ. ñâåò èçëó÷àåòñÿ òîëüêî ÷àñòèöàìè, ñêîðîñòè ê-ðûõ v >= ñ/n (B >=1/n) ïðè÷¸ì èçëó÷åíèå ïðîèñõîäèò îäíîâðåìåííî ñ èõ ïðîõîæäåíèåì è ïîä óãëîì Q ê òðàåêòîðèè ÷àñòèöû. Ñ ðîñòîì ñêîðîñòè ÷àñòèöû (íàäïîðîãîâîé) ðàñòóò óãîë â è èíòåíñèâíîñòü èçëó÷åíèÿ. Äëÿ ïðåäåëüíûõ ñêîðîñòåé, áëèçêèõ ê ñêîðîñòè ñâåòà [(1 - B) << 1], óãîë â äîñòèãàåò ïðåäåëüíîãî çíà÷åíèÿ: Vìàêñ = àrññîs(1/n). (3) Êîëè÷åñòâî ñâåòà, èçëó÷àåìîå â ×. ñ., êàê ïðàâèëî, ñîñòàâëÿåò íåñê. % îò ñâåòîâîãî ñèãíàëà ñöèíòèëëÿöèîííîãî ñ÷¸ò÷èêà. Îñíîâíûå ýëåìåíòû ×. ñ.: ðàäèàòîð (âåùåñòâî, â ê-ðîì v > ñ/ï), îïòè÷. ñèñòåìà, ôîêóñèðóþùàÿ ñâåò, è îäèí èëè íåñê. ôîòîýëåêòðîííûõ óìíîæèòåëåé (ÔÝÓ), ïðåîáðàçóþùèõ ñâåòîâîé ñèãíàë â ýëåêòðè÷åñêèé (ñì. ðèñ.). Ðàäèàòîðû èçãîòàâëèâàþò èç òâ¸ðäûõ, æèäêèõ è ãàçîîáðàçíûõ âåùåñòâ. Îíè äîëæíû áûòü ïðîçðà÷íû ê ÷åðåïêîâñêîìó èçëó÷åíèþ è èìåòü íèçêèé óðîâåíü ñöèíòèëëÿöèé, ñîçäàþùèõ ôîíîâûå ñèãíàëû. Ñòàíäàðòíûå ìàòåðèàëû ðàäèàòîðîâ: îðãàíè÷åñêîå ñòåêëî =1,5), ñâèíöîâîå ñòåêëî (è = 1,5), âîäà = 1,33).

Ñõåìà ãàçîâîãî ïîðîãîâîãî ÷åðåïêîâñêîãî ñ÷¸ò÷èêà íà 70Ãýâ óñêîðèòåëÿ Èíñòèòóòà ôèçèêè âûñîêèõ ýíåðãèé (ÑÑÑÐ). ×åðåïêîâñêèé ñâåò ñîáèðàåòñÿ íà êàòîä ÔÝÓ ñ ïîìîùüþ îïòè÷åñêîé ñèñòåìû, ñîñòîÿùåé èç ïëîñêîãî çåðêàëà è êâàðöåâîé ëèíçû.
 
 

×. ñ. ïîëó÷èëè øèðîêîå ïðèìåíåíèå â ýêñïåðèìåíòàõ íà óñêîðèòåëÿõ çàðÿæåííûõ ÷àñòèö, ò. ê. îíè ïîçâîëÿþò âûäåëÿòü ÷àñòèöû, ñêîðîñòü ê-ðûõ çàêëþ÷åíà â îïðåäåë¸ííîì èíòåðâàëå. Ñ ðîñòîì ýíåðãèè óñêîðèòåëåé è, ñëåäîâàòåëüíî, ñ ðîñòîì ýíåðãèè ÷àñòèö îñîáåííî øèðîêîå ïðèìåíåíèå ïîëó÷èëè ãàçîâûå ×. ñ., îáëàäàþùèå ñïîñîáíîñòüþ âûäåëÿòü ÷àñòèöû óëüòðàðåëÿòèâèñòñêèõ ýíåðãèé, äëÿ ê-ðûõ (1 - b)<<1· Óãîë èçëó÷åíèÿ â â ãàçå î÷åíü ìàë, ìàëà è èíòåíñèâíîñòü èçëó÷åíèÿ íà åäèíèöó ïóòè. ×òîáû ïîëó÷èòü âñïûøêó ñâåòà, äîñòàòî÷íóþ äëÿ ðåãèñòðàöèè, ïðèõîäèòñÿ óâåëè÷èâàòü äëèíó ãàçîâûõ ×. ñ. äî 10 ë è áîëåå.  ãàçîâûõ ×. ñ. ìîæíî ïëàâíî ìåíÿòü ïîêàçàòåëü ïðåëîìëåíèÿ, èçìåíÿÿ äàâëåíèå ðàáî÷åãî ãàçà.

×. ñ. ñóùåñòâóþò 3 òèïîâ: ïîðîãîâûå, äèôôåðåíöèàëüíûå è ñ÷¸ò÷èêè ïîëíîãî ïîãëîùåíèÿ. Îñíîâíûìè õàðàêòåðèñòèêàìè ïåðâûõ 2 òèïîâ ×. ñ. ÿâëÿþòñÿ ýôôåêòèâíîñòü ðåãèñòðàöèè è ðàçðåøàþùàÿ ñïîñîáíîñòü ïî ñêîðîñòè ÷àñòèö, ò. å. ñïîñîáíîñòü ñ÷¸ò÷èêà ðàçäåëÿòü äâå ÷àñòèöû, äâèãàþùèåñÿ ñ áëèçêèìè ñêîðîñòÿìè. Ïîðîãîâûé ×. ñ. äîëæåí ðåãèñòðèðîâàòü âñå ÷àñòèöû ñî ñêîðîñòÿìè, áîëüøèìè íåê-ðîé (ïîðîãîâîé), ëîýòîìó îïòè÷. ñèñòåìà òàêîãî ×. ñ. (êîìáèíàöèÿ ëèíç è çåðêàë) äîëæíà ñîáðàòü, ïî âîçìîæíîñòè, âåñü èçëó÷¸ííûé ñâåò íà êàòîä ÔÝÓ. Äèôôåðåíöèàëüíûå ×. ñ. ðåãèñòðèðóþò ÷àñòèöû, äâèæóùèåñÿ â íåê-ðîì èíòåðâàëå ñêîðîñòåé îò v1 äî v2.  òðàäèöèîííûõ äèôôåðåíöèàëüíûõ ×. ñ. ýòî äîñòèãàåòñÿ âûäåëåíèåì îïòè÷. ñèñòåìîé ñâåòà, èçëó÷àåìîãî â èíòåðâàëå ñîîòâåòñòâóþùèõ óãëîâ îò V1 äî V2. Ëèíçà èëè ñôåðè÷. çåðêàëî, ïîìåù¸ííîå íà ïóòè ÷åðåíêîâñêîãî ñâåòà, ôîêóñèðóåò ñâåò, èçëó÷¸ííûé ïîä óãëîì V, â êîëüöî ñ ðàäèóñîì R = fV, (4) ãäå f - ôîêóñíîå ðàññòîÿíèå ëèíçû èëè çåðêàëà. Åñëè â ôîêóñå ñèñòåìû ïîìåñòèòü ùåëåâóþ êîëüöåâóþ äèàôðàãìó, à çà äèàôðàãìîé îäèí èëè íåñê. ÔÝÓ, òî â òàêîé ñèñòåìå ñâåò áóäåò çàðåãèñòðèðîâàí òîëüêî äëÿ ÷àñòèö, èçëó÷àþùèõ ñâåò â îïðåäåë¸ííîì èíòåðâàëå óãëîâ.  äèôôåðåíöèàëüíûõ ×. ñ. ñ ïðåöèçèîííîé îïòè÷. ñèñòåìîé ìîæíî âûäåëèòü ÷àñòèöû, ñêîðîñòü ê-ðûõ îòëè÷àåòñÿ âñåãî íà 10-6 îò ñêîðîñòè äð. ÷àñòèö. Òàêèå ×. ñ. òðåáóþò îñîáîãî êîíòðîëÿ äàâëåíèÿ ãàçà è ôîðìèðîâàíèÿ ïàðàëëåëüíîãî ïó÷êà ÷àñòèö.

×. ñ. ïîëíîãî ïîãëîùåíèÿ ïðåäíàçíà÷åíû äëÿ ðåãèñòðàöèè è ñïåêòðîìåòðèè ýëåêòðîíîâ è ãàììà-êâàíòîâ.  îòëè÷èå îò ðàññìîòðåííûõ ×. ñ., ãäå ÷àñòèöà òåðÿëà â ðàäèàòîðå íè÷òîæíî ìàëóþ äîëþ ýíåðãèè, ×. ñ. ïîëíîãî ïîãëîùåíèÿ ñîäåðæèò áëîê ðàäèàòîðîâ áîëüøîé òîëùèíû, â ê-ðîì ýëåêòðîí èëè ãàììà-êâàíò îáðàçóåò ýëåêòðîííî-ôîòîííóþ ëàâèíó è òåðÿåò âñþ èëè áîëüøóþ ÷àñòü ñâîåé ýíåðãèè. Êàê ïðàâèëî, ðàäèàòîðû â ýòîì ñëó÷àå èçãîòàâëèâàþò èç ñòåêëà ñ áîëüøèì ñîäåðæàíèåì ñâèíöà.  ðàäèàòîðå èç òàêîãî ñòåêëà, íàïðèìåð òîëùèíîé 40 ñì, ìîæåò ïðàêòè÷åñêè ïîëíîñòüþ òîðìîçèòüñÿ ýëåêòðîí ñ ýíåðãèåé äî 10 Ãýâ. Êîëè÷åñòâî ñâåòà, èçëó÷àåìîãî â ×. ñ. ïîëíîãî ïîãëîùåíèÿ, ïðîïîðöèîíàëüíî ýíåðãèè ïåðâè÷íîãî ýëåêòðîíà èëè ãàììà-êâàíòà. Ðàçðåøàþùàÿ ñïîñîáíîñòü &E ×. ñ. ïîëíîãî ïîãëîùåíèÿ (ïî ýíåðãèè) çàâèñèò îò ýíåðãèè è äëÿ ñàìûõ ÷óâñòâèòåëüíûõ ÔÝÓ ìîæåò áûòü âûðàæåíà ôîðìóëîé:
2904-3.jpg

ãäå "E - ýíåðãèÿ ýëåêòðîíà â Ãýâ.

Ëèò.: Äæåëëè Ä æ., ×åðåíêîâñêîå èçëó÷åíèå è åãî ïðèìåíåíèÿ, ïåð. ñ àíãë., M., 1960; Çðåëîå Â. Ï., Èçëó÷åíèå Âàâèëîâà - ×åðåíêîâà è åãî ïðèìåíåíèå â ôèçèêå âûñîêèõ ýíåðãèé, ÷. 1 - 2, M., 1968. Â. Ñ. Êàôòàíîâ.

×ÅÐÅÍÎÊ, ÷àñòü ðàñòåíèÿ, èñïîëüçóåìàÿ äëÿ âåãåòàòèâíîãî ðàçìíîæåíèÿ. ×. çàãîòàâëèâàþò ñ âûñîêîêà÷åñòâ. ðàñòåíèé (íàç. ìàòî÷íûìè, èëè ìàòåðèíñêèìè). Îáðàçîâàâøèåñÿ èç ×. ðàñòåíèÿ ñîõðàíÿþò ñâîéñòâà è ïðèçíàêè ìàòî÷íûõ. Ðàçëè÷àþò ×. êîðíåâûå, ñòåáëåâûå è ëèñòîâûå. Ïðè îïðåäåë¸ííûõ óñëîâèÿõ âûðàùèâàíèÿ íà ñòåáëåâûõ ×. îáðàçóþòñÿ êîðíè, íà êîðíåâûõ - ïî÷êè, íà ëèñòîâûõ - è ïî÷êè è êîðíè. Ñïîñîáíîñòü ðàñòåíèé ê ðàçìíîæåíèþ ×. çàâèñèò îò âèäîâûõ è ñîðòîâûõ îñîáåííîñòåé ìàòî÷íûõ ðàñòåíèé, à òàêæå îò óñëîâèé âíåøíåé ñðåäû, â ê-ðûõ ïðîèñõîäèò óêîðåíåíèå ×. (òåìï-pa, âëàæíîñòü, àýðàöèÿ è ò. ä.). Ñì. òàêæå ñò. ×åðåíêîâàíèå.

×ÅÐÅÏ (cranium), ñêåëåò ãîëîâû ïîçâîíî÷íûõ æèâîòíûõ è ÷åëîâåêà. Ðàçëè÷àþò îñåâîé è âèñöåðàëüíûé ×. Îñåâîé, èëè ìîçãîâîé, ×. ïðåäñòàâëÿåò ïåðåäíåå ïðîäîëæåíèå îñåâîãî ñêåëåòà òóëîâèùà, ðàçðàñòàþùååñÿ âîêðóã ãîëîâíîãî ìîçãà, îðãàíîâ îáîíÿíèÿ è âíóòðåííåãî óõà. Âèñöåðàëüíûé, èëè ëèöåâîé, ×.- ñêåëåò ïåðåäíåãî îòäåëà êèøå÷íèêà (ãëîòêè), ïåðâîíà÷àëüíî ïðåäñòàâëåííûé æàáåðíûìè (âèñöåðàëüíûìè) äóãàìè, ðàçäåëÿþùèìè æàáåðíûå ùåëè.

×åðåï æèâîòíûõ. Èçìåíåíèÿ ×. â ïðîöåññå ýâîëþöèîííîãî ðàçâèòèÿ îðãàíèçìîâ îáóñëîâëåíû ïðîãðåññèâíûì ðàçâèòèåì ãîëîâíîãî ìîçãà è îðãàíîâ ÷óâñòâ, çàìåíîé æàáåðíîãî äûõàíèÿ ë¸ãî÷íûì è ñìåíîé ðàçëè÷íûõ ñïîñîáîâ ïèòàíèÿ, ÷òî áûëî ñâÿçàíî ñ ïåðåõîäîì îðãàíèçìîâ èç âîäíîé ñðåäû íà ñóøó. Îñåâîé ×. ñîñòîèò èç ìîçãîâîé êîðîáêè (âìåùàþùåé ãîëîâíîé ìîçã), íîñîâûõ êàïñóë (îêðóæàþùèõ îðãàíû îáîíÿíèÿ) è óøíûõ êàïñóë (çàêëþ÷àþùèõ âíóòðåííåå óõî). Ìîçãîâàÿ êîðîáêà ïîäðàçäåëÿåòñÿ íà ïåðåäíèé (ïðåõîðäàëüíûé) è çàäíèé (õîðäàëüíûé) îòäåëû. Ïðåõîðäàëüíûé îòäåë îáúåäèíÿåò ãëàçíè÷íóþ è íîñîâóþ îáëàñòè ×., õîðäàëüíûé - çàòûëî÷íóþ è óøíóþ. Ïðåõîðäàëüíûé îòäåë ðàçâèâàåòñÿ èç òðàáåêóëÿðíûõ õðÿùåé è ðàñïîëîæåííûõ íàä íèìè ãëàçíè÷íûõ (îðáèòàëüíûõ) õðÿùåé (ðèñ. 1). Ó ýìáðèîíîâ õîðäàëüíûé îòäåë ðàçâèâàåòñÿ âîêðóã ãîëîâíîãî êîíöà õîðäû èç ðàñïîëîæåííûõ ïî åãî ñòîðîíàì ïàðàõîðäàëüíûõ õðÿùåé è óøíûõ êàïñóë. Ïàðàõîðäàëèè ñîîòâåòñòâóþò ñëèâøèìñÿ íåâðàëüíûì äóãàì íàèáîëåå ïåðåäíèõ ïîçâîíêîâ, ÷òî ïîçâîëÿåò ãîâîðèòü î "ïîçâîíî÷íîì" ïðîèñõîæäåíèè õîðäàëüíîãî îòäåëà. Ó êèñòåï¸ðûõ ðûá îáà îòäåëà îñòàþòñÿ ñàìîñòîÿòåëüíûìè, ó îñòàëüíûõ ïîçâîíî÷íûõ îíè ñðàñòàþòñÿ ó ýìáðèîíîâ. Ïðåõîðäàëüíûé îòäåë âìåùàåò îáû÷íî òîëüêî ïåðåäíèé ìîçã (áîëüøèå ïîëóøàðèÿ), õîðäàëüíûé - áîëüøóþ ÷àñòü ãîëîâíîãî ìîçãà.

Ðèñ. 1. Ðàñïîëîæåíèå õðÿùåâûõ çàêëàäîê îñåâîãî ÷åðåïà àêóëû (âèä ñî ñïèííîé ñòîðîíû). Çàêëàäêè îáâåäåíû êîíòóðàìè ÷åðåïà è ãîëîâû âçðîñëîé àêóëû: ÎÊ - îáîíÿòåëüíàÿ êàïñóëà; ÎÎ - îáîíÿòåëüíàÿ îáëàñòü; Ò - òðàáåêóëû; ÃÎ - ãëàçíè÷íàÿ îáëàñòü; Ãë - ãëàç; ÃÕ - ãëàçíè÷íûå õðÿùè; à - ãèïîôèç; ÑÊ - ñëóõîâàÿ êàïñóëà; ÑÎ - ñëóõîâàÿ îáëàñòü; Ïõ - ïàðàõîðäàëèè; ÇÎ - çàòûëî÷íàÿ îáëàñòü; X - õîðäà.

 Íà ×. âçðîñëûõ æèâîòíûõ ãðàíèöó ìåæäó îòäåëàìè îáîçíà÷àþò ïî ëèíèè ãèïîôèçà è îòâåðñòèÿ äëÿ âûõîäà èç ×. òðîéíè÷íîãî íåðâà. Íîñîâûå êàïñóëû ñðàñòàþòñÿ ñ ïðåõîðäàëüíûì îòäåëîì. Ó êèñòåï¸ðûõ ðûá è íàçåìíûõ ïîçâîíî÷íûõ ïîìèìî íàðóæíûõ íîçäðåé èìåþòñÿ âíóòðåííèå (õîàíû), îòêðûâàþùèåñÿ â ïåðåäíþþ ÷àñòü ðîòîâîé ïîëîñòè.

 çàâèñèìîñòè îò ñòðîåíèÿ ãëàçíè÷íîãî îòäåëà ðàçëè÷àþò ïëàòèáàçàëüíûé è òðîïèáàçàëüíûé òèïû ñòðîåíèÿ ìîçãîâîé êîðîáêè (ðèñ. 2).  ïëàòèáàçàëüíîì ÷åðåïå ïðåõîðäàëüíûé îòäåë èìååò øèðîêîå îñíîâàíèå, ãîëîâíîé ìîçã ïðîíèêàåò â ãëàçíè÷íóþ îáëàñòü (êðóãëîðîòûå, àêóëîâûå è äâîÿêîäûøàùèå ðûáû, ñîâð. çåìíîâîäíûå, ìëåêîïèòàþùèå).  òðîïèáàçàëüíîì ÷åðåïå ïðåõîðäàëüíûé îòäåë èìååò óçêîå îñíîâàíèå, áîëüøèå ïîëóøàðèÿ ðàñïîëîæåíû ïîçàäè ãëàçíè÷íîé îáëàñòè (îñòàëüíûå ïîçâîíî÷íûå).
 

Ðèñ. 2. Ïîëîæåíèå ãîëîâíîãî ìîçãà â ïëàòèáàçà ëüíîì (ä) è òðîïèáàçàëüíîì (á) ÷åðåïàõ.
 

Âèñöåðàëüíûé ×. ñëóæèò îïîðîé äëÿ ïåðåäíåé ÷àñòè ïèùåâàðèò. òðàêòà. Îí ñîñòîèò èç ìåòàìåðíî ðàñïîëîæåííûõ õðÿùåâûõ äóã, îõâàòûâàþùèõ ïîäîáíî îáðó÷àì íà÷àëüíûé îòäåë ïèùåâàðèò. òðàêòà. Ó âñåõ ïîçâîíî÷íûõ, èñêëþ÷àÿ íàèáîëåå ïðèìèòèâíûõ - áåñ÷åëþñòíûõ, ïåðåäíèå âèñöåðàëüíûå äóãè ïðåîáðàçîâàíû â ÷åëþñòè. Õðÿùåâàÿ îñíîâà âåðõíåé ÷åëþñòè - í¸áíîêâàäðàòíûé õðÿù ñôîðìèðîâàëñÿ â ðåçóëüòàòå ñëèÿíèÿ âåðõíèõ îòäåëîâ äâóõ ïåðåäíèõ äóã - ïðåä÷åëþñòíîé è ñîáñòâåííî ÷åëþñòíîé. Õðÿùåâàÿ îñíîâà íèæíåé ÷åëþñòè - ìåêêåëåâ õðÿù - ñîîòâåòñòâóåò íèæíåìó îòäåëó âòîðîé âèñöåðàëüíîé (÷åëþñòíîé) äóãè. Âåðõíèé îòäåë òðåòüåé âèñöåðàëüíîé (ãèîèäíîé) äóãè ó ðûá ïðåâðàù¸í â ò. í. ïîäâåñîê, îáû÷íî ó÷àñòâóþùèé â ïðèêðåïëåíèè ÷åëþñòåé ê îñåâîìó ×. Ó áîëüøèíñòâà ðûá ÷åëþñòíàÿ äóãà ñî÷ëåíÿåòñÿ ñ îñåâûì ×. òîëüêî ïîñðåäñòâîì ïîäâåñêà (ãèîñòèëèÿ). Ó õèìåð è äâîÿêîäûøàùèõ ðûá, à òàêæå ó íàçåìíûõ ïîçâîíî÷íûõ í¸áíîêâàäðàòíûé õðÿù íåïîñðåäñòâåííî ñîåäèíÿåòñÿ ñ îñåâûì ×. áåç ó÷àñòèÿ ïîäâåñêà (àóòîñòèëèÿ). Ó âûìåðøèõ ïàíöèðíûõ è ïðèìèòèâíûõ êîñòíûõ ðûá è ó íåê-ðûõ àêóë ÷åëþñòíàÿ äóãà ñî÷ëåíÿåòñÿ ñ îñåâûì ×. êàê íåïîñðåäñòâåííî, òàê è ñ ïîìîùüþ ïîäâåñêà (àìôèñòèëèÿ) (ðèñ. 3). Ó íàçåìíûõ ïîçâîíî÷íûõ ïîäâåñîê ïðåâðàùàåòñÿ â ñëóõîâóþ êîñòî÷êó, ïðîâîäÿùóþ çâóêè îò áàðàáàííîé ïåðåïîíêè ê âíóòðåííåìó óõó, çàäíèå âèñöåðàëüíûå (ñîáñòâåííî æàáåðíûå) äóãè ïðåîáðàçóþòñÿ â ïîäúÿçû÷íóþ êîñòü è õðÿùè ãîðòàíè. Ó ìëåêîïèòàþùèõ ïîÿâëÿþòñÿ äîïîëíèòåëüíûå ñëóõîâûå êîñòî÷êè - íàêîâàëüíÿ è ìîëîòî÷åê, ñôîðìèðîâàâøèåñÿ èç îò÷ëåíèâøèõñÿ çàäíèõ ýëåìåíòîâ í¸áíîêâàäðàòíîãî è ìåêêåëåâà õðÿùåé - êâàäðàòíîé è ñî÷ëåíîâíîé êîñòåé.

Ó âûñøèõ ðûá è ó íàçåìíûõ ïîçâîíî÷íûõ ýìáðèîíàëüíûé õðÿùåâîé ×. áîëåå èëè ìåíåå îêîñòåíåâàåò è, êðîìå òîãî, ïîêðûâàåòñÿ îáðàçóþùèìèñÿ â ãëóáîêèõ ñëîÿõ êîæè ò. í. ïîêðîâíûìè, èëè êîæíûìè, êîñòÿìè. Ñíàðóæè ïîêðîâíûå êîñòè îáðàçóþò êðûøó ×., â ñîñòàâ ê-ðîé âõîäÿò íîñîâûå, ëîáíûå, òåìåííûå, ÷åøóé÷àòûå è äð. êîñòè. Ïåðâîíà÷àëüíî â êðûøå ×. èìåëèñü îòâåðñòèÿ ëèøü äëÿ ãëàç è íîçäðåé (ñòåãàëüíûé ÷åðåï), íî ó áîëüøèíñòâà íàçåìíûõ ïîçâîíî÷íûõ ïîçàäè ãëàçíèö èìåþòñÿ îòâåðñòèÿ - âèñî÷íûå îêíà, ðàçäåë¸ííûå âèñî÷íûìè, èëè ñêóëîâûìè, äóãàìè (çèãàëüíûé ×.); èëë. ñì. ò. 5, ñòð. 107, ðèñ. 1.

Ðèñ. 3. Îòíîøåíèå ïåðåäíèõ âèñöåðàëüíûõ äóã ê îñåâîìó ÷åðåïó: à - ãèîñòèëüíûé ÷åðåï àêóëû; á - àóòîñòèëüíûé ÷åðåï íàçåìíîãî ïîçâîíî÷íîãî (ëÿãóøêà); â - àìôèñòèëüíûé ÷åðåï àêóëû; / - ïîäâåñîê, 2 - ãèîèä, 3 - ìåêêåëåâ õðÿù, 4 - íèæíÿÿ ÷åëþñòü, 5 - çàäíèé óøíîé îòðîñòîê, 6 - í¸áíûé îòðîñòîê, 7 - í¸áíîêâàäðàòíûé õðÿù.

 Ôóíêöèÿ âåðõíèõ ÷åëþñòåé ïåðåõîäèò ê âåðõíåãóáíûì ïîêðîâíûì êîñòÿì - ïðåä÷åëþñòíûì è ÷åëþñòíûì. Ïîêðîâíûå êîñòè í¸áíîêâàäðàòíîãî õðÿùà - í¸áíûå è êðûëîâèäíûå - ôîðìèðóþò í¸áíóþ ïîâåðõíîñòü êîñòíîãî ×. Ó íåê-ðûõ ïðåñìûêàþùèõñÿ è ìëåêîïèòàþùèõ çà ñ÷¸ò ýòèõ êîñòåé ôîðìèðóåòñÿ âòîðè÷íîå í¸áî (ðèñ. 4),îòäåëÿþùåå îáëàñòü õîàí îò ãëàâíîé ÷àñòè ðîòîâîé ïîëîñòè. Ë. Ï. Òàòàðèíîâ.

×åðåï ÷åëîâåêà.  ñîñòàâ ìîçãîâîãî ×. ÷åëîâåêà âõîäÿò 6 ïëîñêèõ èçîãíóòûõ êîñòåé: ëîáíàÿ è çàòûëî÷íàÿ - íåïàðíûå, òåìåííàÿ è âèñî÷íàÿ - ïàðíûå; â îñíîâàíèè ×. íàõîäÿòñÿ êëèíîâèäíàÿ è ðåø¸ò÷àòàÿ êîñòè, õàðàêòåðèçóþùèåñÿ íàëè÷èåì âîçäóõîíîñíûõ ïîëîñòåé. Êîñòè ñîåäèíÿþòñÿ øâàìè. Âåðõíÿÿ ÷àñòü ìîçãîâîãî ×.- ñâîä, èëè êðûøà, íèæíÿÿ - îñíîâàíèå, ðàçäåë¸ííîå èçíóòðè íà 3 ÿìû - ïåðåäíþþ, ñðåäíþþ è çàäíþþ, â ê-ðîé ðàñïîëàãàåòñÿ ìîçæå÷îê. ×åðåç îñíîâàíèå ×. â ìíîãî÷èñë. êàíàëàõ è îòâåðñòèÿõ ïðîõîäÿò íåðâû è êðîâåíîñíûå ñîñóäû.  âèñî÷íîé êîñòè ëîêàëèçóåòñÿ îðãàí ñëóõà. Ôîðìà è âåëè÷èíà ìîçãîâîãî ×. âàðüèðóþò: îêðóæíîñòü îò 52 äî 64 ñì, äë. 15-18 ñì, øèð. 12- 15 ñì. Óñòàíîâëåíû 3 èñõîäíûå ôîðìû ×. ñîîòâåòñòâåííî ÷åðåïíîìó óêàçàòåëþ.  ïðîöåññå ðîñòà ôîðìà ×. ïðåòåðïåâàåò èçìåíåíèÿ. Ðåá¸íîê ðîæäàåòñÿ ñ íåïîëíîñòüþ ðàçâèòûìè êîñòÿìè, ìåæäó êîòîðûìè ñîõðàíÿþòñÿ îñòàòêè ïåðåïîí÷àòîãî ×. â âèäå ðîäíè÷êîâ è øèðîêèõ øâîâ. Ëèöåâîé ×. ñëàãàåòñÿ èç 14 ñðàâíèòåëüíî ìåëêèõ êîñòåé, ê ê-ðûì ïðèáàâëÿåòñÿ åù¸ ïîäúÿçû÷íàÿ êîñòü. Íàèáîëåå êðóïíûå èç êîñòåé ëèöåâîãî ×.- âåðõíÿÿ è íèæíÿÿ ÷åëþñòè, îãðàíè÷èâàþùèå ÷àñòü ðîòîâîé ïîëîñòè. Ñîâîêóïíîñòü êîñòåé ëèöåâîãî ×. ïðåäîïðåäåëÿåò ôîðìó ëèöà. Ñë¸çíàÿ, ñêóëîâàÿ è âåðõíå÷åëþñòíàÿ êîñòè ó÷àñòâóþò â îáðàçîâàíèè ãëàçíèöû. Íîñîâàÿ, í¸áíàÿ, âåðõíå÷åëþñòíàÿ êîñòè, ñîøíèê è íèæíÿÿ íîñîâàÿ ðàêîâèíà ôîðìèðóþò íîñîâóþ ïîëîñòü, êîòîðàÿ ñîîáùàåòñÿ ñ âîçäóõîíîñíûìè ïàçóõàìè - ëîáíîé, âåðõíå÷åëþñòíîé, êëèíîâèäíîé (ðèñ. 5). Èç äð. òîïîãðàôèè, îáðàçîâàíèé ×. èìåþò çíà÷åíèå ïîäâèñî÷íàÿ è êðûëîí¸áíàÿ ÿìû, â ê-ðûõ ïðîõîäÿò êðîâåíîñíûå ñîñóäû è íåðâû. Â. Â. Êóïðèÿíîâ.

Ðèñ. 4. Îáðàçîâàíèå âòîðè÷íîãî í¸áà.

Ñõåìàòè÷åñêèé ïàðàìåäèàëüíûé ðàçðåç ÷åðåç ÷åðåï ïðèìèòèâíîãî ïðåñìûêàþùåãîñÿ (à) è ìëåêîïèòàþùåãî (á): / -ïåðâè÷íûå õîàíû; 2 - âòîðè÷íûå õîàíû; 3 - íîñîãëîòî÷íûé õîä; 4 - ïåðâè÷íîå òâ¸ðäîå í¸áî; 5 - âòîðè÷íîå òâ¸ðäîå í¸áî; 6 - íîñîâàÿ ïîëîñòü; 7 - íàðóæíàÿ íîçäðÿ.

Ðèñ. 5. ×åðåï ÷åëîâåêà: à - âèä ñïåðåäè; á - âèä ñáîêó; â - âíóòðåííåå îñíîâàíèå ÷åðåïà; ã - íàðóæíîå îñíîâàíèå ÷åðåïà; / - ëîáíàÿ êîñòü, 2 - òåìåííàÿ êîñòü, 3 - êëèíîâèäíàÿ êîñòü, 4 - ñë¸çíàÿ êîñòü, 5 - ñêóëîâàÿ êîñòü, 6 - âåðõíÿÿ ÷åëþñòü, 7 - íèæíÿÿ ÷åëþñòü, 8 - ïîäáîðîäî÷íîå îòâåðñòèå, 9 - ñîøíèê, 10 - íèæíÿÿ íîñîâàÿ ðàêîâèíà, // - ïîäãëàçíè÷íîå îòâåðñòèå, 12 - ðåø¸ò÷àòàÿ êîñòü, 13 - íîñîâàÿ êîñòü, 14 - âèñî÷íàÿ êîñòü, 15 - íàäãëàçíè÷íîå îòâåðñòèå, 16 - çàòûëî÷íàÿ êîñòü, 17 - í¸áíàÿ êîñòü.

Ëèò.: ØìàëüãàóçåíÈ. È., Îñíîâû ñðàâíèòåëüíîé àíàòîìèè ïîçâîíî÷íûõ æèâîòíûõ, 4 èçä., M., 1947; Ïðèâåñ M. Ã., Ëûñåíêîâ H. Ê., Áóøêîâè÷ Â. È., Àíàòîìèÿ ÷åëîâåêà, 8 èçä., Ë., 1974; De Beer G. R., The development of the vertebrate skull, Oxf., 1937; J a r v i k E., Theories de l'evolution des vertebres..., P., 1960.

×åðåï â àíòðîïîëîãèè. Èçó÷åíèå âàðèàöèé ðàçìåðîâ ×. è åãî ôîðìû â öåëîì, à òàêæå îòä. ñîñòàâëÿþùèõ åãî êîñòåé çàíèìàåò âàæíîå ìåñòî âî âñåõ ðàçäåëàõ àíòðîïîëîãèè (ñì. Êðàíèîëîãèÿ). Ìåòîäè÷. îñíîâîé ïðè ýòîì ñëóæèò ñèñòåìà èçìåðåíèé (êðàíèîìåòðèÿ) è îïèñàòåëüíûõ õàðàêòåðèñòèê (êðàíèîñêîïèÿ). Ìîðôîëîãèÿ ÷åëîâåêà èññëåäóåò íîðìàëüíóþ ïîëîâóþ è âîçðàñòíóþ èçìåí÷èâîñòü ×. â ðàçëè÷íûõ ãðóïïàõ ñîâð. íàñåëåíèÿ, âûÿâëÿåò ñâÿçè ýòîé èçìåí÷èâîñòè ñ òèïàìè òåëîñëîæåíèÿ, ãîðìîíàëüíûì ñîñòîÿíèåì, ñîöèàëüíûìè è ïðèðîäíûìè óñëîâèÿìè æèçíè, íàñëåäñòâåííîñòüþ è ò. ï. Ïîëîâûå ðàçëè÷èÿ ïðîÿâëÿþòñÿ â ñðåäíåì â íåñêîëüêî áîëüøåé âåëè÷èíå ìóæñêîãî ×., ìàññèâíîñòè åãî êîñòåé, óñèëåííîì ðàçâèòèè êîñòíîãî ðåëüåôà (íàäáðîâüå, ëèíèè ïðèêðåïëåíèÿ ìûøö íà âèñî÷íîé è çàòûëî÷íîé êîñòÿõ, íà íèæíåé ÷åëþñòè).  âîçðàñòíîì àñïåêòå îñîáîå âíèìàíèå ïðèâëåêàþò èçìåíåíèÿ ñîîòíîøåíèé ìîçãîâîãî è ëèöåâîãî îòäåëîâ ×., ðàçâèòèå, ñìåíà è ñòðîåíèå çóáîâ, çàðàñòàíèå øâîâ è ò. ï. Èñêëþ÷èòåëüíî âàæíî èçó÷åíèå ïðåîáðàçîâàíèé ×. â àíòðîïîãåíåçå, â ïðîöåññå ê-ðîãî ×. ïîñòåïåííî êàê áû óòðà÷èâàåò "îáåçüÿíüè" ÷åðòû è ïðèîáðåòàåò ñòðîåíèå, ñâîéñòâåííîå ñîâðåìåííîìó ÷åëîâåêó (ðèñ. 6). Ïðè ýòîì ìîçãîâîé îòäåë ×. óâåëè÷èâàåòñÿ è íà÷èíàåò ñóùåñòâåííî ïðåîáëàäàòü íàä ÷åëþñòíûì îòäåëîì, ñèëüíî ðàçâèòûå ó èñêîïàåìûõ ëþäåé íàäãëàçíè÷íûå âàëèêè îñëàáåâàþò è ïðåâðàùàþòñÿ â íàäáðîâíûå äóãè, èñ÷åçàåò ïðîäîëüíûé ãðåáåíü ×., çíà÷èòåëüíî ïîâûøàåòñÿ ÷åðåïíàÿ êðûøà, å¸ ëîáíûé îòäåë ñòàíîâèòñÿ øèðå è âûøå, çàòûëîê äåëàåòñÿ îêðóãëûì è óòðà÷èâàåò âûðàæåííûå ó äðåâíèõ ëþäåé âàëèê è äð. ðàçðàñòàíèÿ êîñòåé, ñëóæèâøèå ìåñòîì ïðèêðåïëåíèÿ ìîùíûõ øåéíûõ ìûøö. Ïåðåñòðîéêà ìîçãîâîãî îòäåëà ×. áûëà òåñíî ñâÿçàíà ñ óâåëè÷åíèåì îáú¸ìà è óñëîæíåíèåì ñòðîåíèÿ ãîëîâíîãî ìîçãà â ïðîöåññå àíòðîïîãåíåçà. Òàê, ó èñêîïàåìûõ âûñøèõ ïðèìàòîâ - àâñòðàëîïèòåêîâ - îáú¸ì ìîçãà ðàâåí â ñð. 500-600 ñì3, ó äðåâíåéøèõ ëþäåé (àðõàíòðîïû) - 1000 ñì3, ó äðåâíèõ ëþäåé (ïàëåîàíòðîïû) - 1350 ñì3, ó ñîâð. ÷åëîâåêà - 1500 ñì3. Îòìå÷àåìûå ýâîëþöèîííûå èçìåíåíèÿ êðûøè ×., â ÷àñòíîñòè ïîâûøåíèå å¸ ñâîäà, âûñîêèé ïî÷òè ïðÿìîé ëîá è ò. ä., áûëè îáóñëîâëåíû îñîáåííî àêòèâíûì óâåëè÷åíèåì ëîáíîé è òåìåííî-âèñî÷íîé îáëàñòåé ìîçãà, â ê-ðûõ ðàñïîëàãàþòñÿ ñïåöèôè÷. çîíû êîðû ãîëîâíîãî ìîçãà, ñâÿçàííûå ñ òðóäîâîé äåÿòåëüíîñòüþ ÷åëîâåêà, åãî ðå÷üþ, è ê-ðûå èñïûòûâàëè â ïðîöåññå àíòðîïîãåíåçà ïðîãðåññèâíîå ðàçâèòèå.  õîäå ýòîãî ïðîöåññà óìåíüøàåòñÿ âûñòóïàíèå âïåð¸ä ëèöåâîãî îòäåëà ×., ðàçâèâàþòñÿ ïàðíûå íîñîâûå êîñòè, çàìåòíî âûñòóïàþùèå â ñâîåé íèæíåé ÷àñòè íàä âåðòèêàëüíûì ïðîôèëåì ëèöà. Çóáû â íèæíåé ÷åëþñòè ðàñïîëàãàþòñÿ ïîäêîâîîáðàçíî, à íå u-îáðàçíî, êàê ó ÷åëîâåêîîáðàçíûõ îáåçüÿí, íà ïåðåäíåé å¸ ÷àñòè ðàçâèâàåòñÿ ïîäáîðîäî÷íûé âûñòóï, îòñóòñòâóþùèé ó îáåçüÿí è íåê-ðûõ èñêîïàåìûõ ôîðì ëþäåé, ìåíÿåòñÿ ôîðìà âåðõíåé ÷åëþñòè è òâ¸ðäîãî í¸áà. Îñîáåííîñòè ñòðîåíèÿ ìîçãîâîãî, à ãëàâíîå ëèöåâîãî îòäåëîâ ×. èñïîëüçóþòñÿ â ðàñîâåäåíèè äëÿ âûäåëåíèÿ ðàñîâûõ òèïîâ ó ñîâð. è îñîáåííî ó äðåâíåãî íàñåëåíèÿ (ðèñ. 7).

Ðèñ. 6. Êîíòóð ÷åðåïà ñáîêó: / - ãîðèëëà; 2 ~ àâñòðàëîïèòåê; 3 - ïèòåêàíòðîï; 4 - íåàíäåðòàëåö èç Ëà-Øàïåëü-î-Ñåí; 5 - ñîâðåìåííûé ÷åëîâåê.

 êà÷åñòâå ïðèçíàêîâ áîëüøèõ ðàñ ïðèâëåêàþòñÿ âåðòèêàëüíàÿ ïðîôèëèðîâêà ëèöà (ñì. Îðòîãíàòèçì, Ïðîãíàòèçì), óïëîù¸ííîñòü ëèöà â âåðõ, è ñð. îòäåëàõ, ôîðìà íîñîâîêî îòâåðñòèÿ, ãëàçíèö, âûñòóïàíèå íîñîâûõ êîñòåé è ïð. Õàðàêòåðèñòèêè ìîçãîâîãî îòäåëà (íàïð., ÷åðåïíîé óêàçàòåëü è ãîëîâíîé óêàçàòåëü) èñïîëüçóþòñÿ ïðè âûäåëåíèè áîëåå ìåëêèõ åäèíèö àíòðîïîëîãè÷. êëàññèôèêàöèè â ïðåäåëàõ áîëüøèõ ðàñ. Êðàíèîëîãè÷. ìàòåðèàëû ñëóæàò âàæíûì èñòîðè÷. èñòî÷íèêîì ïðè èçó÷åíèè ïðîöåññîâ ôîðìèðîâàíèÿ ðàçëè÷íûõ ýòíè÷. îáùíîñòåé (íàöèÿ, íàðîäíîñòü); îíè îñîáåííî öåííû äëÿ íàðîäîâ, ê-ðûå íå èìåëè â ïðîøëîì ïèñüìåííîé èñòîðèè. Ðåçóëüòàòû àíòðîïîëîãè÷. èññëåäîâàíèÿ ÷åðåïîâ äðåâíåãî íàñåëåíèÿ äàííîé òåððèòîðèè, íàðÿäó ñ àðõåîë., èñò., ëèíãâèñòè÷., ýòíîãð., à òàêæå àíòðîïîëîãè÷. äàííûìè ïî ñîâð. íàñåëåíèþ, ïðèâëåêàþòñÿ ïðè ðåøåíèè ïðîáëåì ýòíîãåíåçà áîëüøèõ è ìàëûõ íàðîäîâ ÑÑÑÐ.

Ðèñ. 7. ×åðåïà ïðåäñòàâèòåëåé òð¸õ áîëüøèõ ðàñ (ïî Áûñòðîâó): / - íåãðîèäíûé; 2 - ìîí-ãîëîèäíûé; 3 - åâðîïåîèäíûé.

Ëèò.: Á ó í à ê Â. Â., ×åðåï ÷åëîâåêà è ñòàäèè åãî ôîðìèðîâàíèÿ ó èñêîïàåìûõ ëþäåé è ñîâðåìåííûõ ðàñ, M., 1959 (Tp. Èí-òà ýòíîãðàôèè èì. H. H. Ìèêëóõî-Ìàêëàÿ. Íîâàÿ ñåðèÿ, ò. 49); ÆåäåíîâÂ. H., Ñðàâíèòåëüíàÿ àíàòîìèÿ ïðèìàòîâ (âêëþ÷àÿ ÷åëîâåêà), M., 1962; Ðîãèíñêèé ß. ß., Ëåâèí M. Ã., Àíòðîïîëîãèÿ, 2 èçä., M., 1963. Â. M. Õàðèòîíîâ.

Ïàòîëîãèÿ ×. âêëþ÷àåò åãî çàáîëåâàíèÿ (âîñïàëèòåëüíûå, íàïð, îñòåîìèåëèò, îïóõîëè, âðîæä¸ííûå ÷åðåïíî-ìîçãîâûå ãðûæè è äð.) è ïîâðåæäåíèÿ, ê-ðûå ìîãóò îãðàíè÷èâàòüñÿ ìÿãêèìè òêàíÿìè ãîëîâû, íî ÷àñòî çàõâàòûâàþò êîñòè ×. è ãîëîâíîé ìîçã - ò. í. ÷åðåïíî-ìîçãîâàÿ òðàâìà. Ýòèì ïîíÿòèåì îáúåäèíÿþò èãðàþùèå íàèáîëüøóþ ðîëü â ïàòîëîãèè ×. ðàçíîîáðàçíûå ñî÷åòàííûå èëè èçîëèðîâàííûå, çàêðûòûå (áåç íàðóøåíèÿ êîæíûõ ïîêðîâîâ) è îòêðûòûå (ò. å. ñ íàëè÷èåì ðàíû) ïîâðåæäåíèÿ ÷åðåïíîé êîðîáêè è ìîçãà. Ñòåïåíü ïîâðåæäåíèÿ êîñòåé çàâèñèò îò ñèëû òðàâìèðóþùåãî âîçäåéñòâèÿ: â äàâëåíèå, ïåðåëîì îäíîé èëè íåñê. êîñòåé, ïåðåëîì îñíîâàíèÿ ×. Òðàâìà ìîçãà âûðàæàåòñÿ â åãî óøèáå, ñäàâëåíèè, ñîòðÿñåíèè.

Çàêðûòàÿ ÷åðåïíî-ìîçãîâàÿ òðàâìà ñîïðîâîæäàåòñÿ êðàòêîâðåì. èëè äëèòåëüíîé ïîòåðåé ñîçíàíèÿ, ãîëîâíîé áîëüþ, òîøíîòîé, ðâîòîé, ãîëîâîêðóæåíèåì. Ïðè òÿæ¸ëûõ ïîâðåæäåíèÿõ íàáëþäàþòñÿ ðàññòðîéñòâà ïñèõèêè, äûõàíèÿ, êðîâîîáðàùåíèÿ, ñî÷åòàþùèåñÿ ñ ðàçíîîáðàçíûìè íåâðîëîãè÷. (ò. í. î÷àãîâûìè) ñèìïòîìàìè. Îíè íå âûðàæåíû ïðè ñîòðÿñåíèè ìîçãà; ïðè âíóòðè÷åðåïíîì êðîâîèçëèÿíèè ïîÿâëÿþòñÿ ïðèçíàêè ñäàâëåíèÿ ìîçãà (äâóêðàòíàÿ ñî "ñâåòëûì ïðîìåæóòêîì" ïîòåðÿ ñîçíàíèÿ, çàòîðìîæåííîñòü, óïîðíûå ãîëîâíûå áîëè); ïðè ïåðåëîìå îñíîâàíèÿ ÷åðåïà íà ôîíå òÿæ¸ëîé îáùåìîçãîâîé ñèìïòîìàòèêè íàáëþäàþòñÿ ïðèçíàêè ðàçäðàæåíèÿ îáîëî÷åê ìîçãà. Ïðèìåíÿþò êîíñåðâàòèâíîå è îïåðàòèâíîå ëå÷åíèå. Êîíñåðâàòèâíîå ëå÷åíèå âîçìîæíî â ñëó÷àÿõ, íå ñîïðîâîæäàþùèõñÿ ñäàâëåíèåì ìîçãà. Ïðè ïåðåëîìàõ ×. áåç ïðèçíàêîâ ïîâðåæäåíèÿ ìîçãà è ïðè ë¸ãêèõ ôîðìàõ ñîòðÿñåíèÿ è óøèáà ìîçãà íàçíà÷àþò ïîñòåëüíûé ðåæèì, îáåçáîëèâàþùèå ñðåäñòâà.  áîëåå òÿæ¸ëûõ ñëó÷àÿõ ïðèìåíÿþò ñðåäñòâà, ñíèæàþùèå âíóòðè÷åðåïíîå äàâëåíèå, ñïèííîìîçãîâóþ ïóíêöèþ. Îïåðàòèâíîå ëå÷åíèå íåîáõîäèìî ïðè ïåðåëîìå ×. ñ âäàâëåíèåì êîñòè, ïðè ñäàâëåíèè ìîçãà âíóòðè÷åðåïíîé ãåìàòîìîé, íàðàñòàþùåì îò¸êå ìîçãà; îïåðàöèÿ ñî âñêðûòèåì ïîëîñòè ×. (ñì. Òðåïàíàöèÿ) ïðîâîäèòñÿ ïîä ìåñòíûì îáåçáîëèâàíèåì èëè íàðêîçîì.

Îòêðûòàÿ ÷åðåïíî-ìîçãîâàÿ òðàâìà â ìèðíîå âðåìÿ âñòðå÷àåòñÿ ðåæå, ÷åì çàêðûòàÿ; îíà ìîæåò áûòü íåïðîíèêàþùåé (áåç ïîâðåæäåíèÿ òâ¸ðäîé ìîçãîâîé îáîëî÷êè) è ïðîíèêàþùåé (ñ å¸ ïîâðåæäåíèåì). Êëèíè÷åñêèå ïðîÿâëåíèÿ îáùåìîçãîâûõ ðàññòðîéñòâ âûðàæåíû ìåíåå îò÷¸òëèâî, ÷åì ïðè çàêðûòîé òðàâìå, îäíàêî çíà÷èòåëüíî âîçðàñòàåò îïàñíîñòü èíôèöèðîâàíèÿ, âîçíèêíîâåíèÿ ìåíèíãèòà, ýíöåôàëèòà è äð. îñëîæíåíèé. Ëå÷åíèå òîëüêî îïåðàòèâíîå (õèðóðãèÿ, îáðàáîòêà ðàíû, òðåïàíàöèÿ, ïðè áîëüøîì äåôåêòå êîñòè - ïëàñòè÷. îïåðàöèÿ).

Ïîñëåäñòâèÿìè ÷åðåïíî-ìîçãîâîé òðàâìû ìîãóò áûòü çàáîëåâàíèÿ ãîëîâíîãî ìîçãà: àðàõíîýíöåôàëèò, ðàçëè÷íûå ïñèõè÷. íàðóøåíèÿ (íàïð., ñóìåðå÷íîå ïîìðà÷åíèå ñîçíàíèÿ); â îòäàë¸ííîì ïåðèîäå - àñòåíèÿ, ýíöåôàëîïàòèÿ, òðàâìàòè÷. ýïèëåïñèÿ, ñëàáîóìèå è äð.

Ëèò.: Òÿæåëàÿ çàêðûòàÿ òðàâìà ÷åðåïà è ãîëîâíîãî ìîçãà, ïîä ðåä. Â. M. Óãðþìîâà, Ë., 1974; Wertheimer P., D å s ñ o t å s G., Traumatologie cranienne, Ð., 1961. À. Ê. Âëàäèìèðîâà.

×ÅÐÅÏÀÍΠÑåðãåé Àëåêñàíäðîâè÷ [19(31).3.1881, Êóíãóð,- àâã. 1918, Òþìåíü], ó÷àñòíèê ðîññ.ðåâîëþö. äâèæåíèÿ. ×ë. Êîììóíèñòè÷. ïàðòèè ñ 1903. Ðîä. â ñåìüå ðàáî÷åãî. Ñ 1903 â¸ë ïàðò, ðàáîòó â Åêàòåðèíáóðãå (Ñâåðäëîâñê), Ñàìàðå (Êóéáûøåâ), Óôå, Ïåðìè.  1916 ìîáèëèçîâàí â àðìèþ, â¸ë ðåâîëþö. ðàáîòó ñðåäè ñîëäàò. Ïîñëå Ôåâð. ðåâîëþöèè 1917- îäèí èç ðóêîâîäèòåëåé Âîåâ. îðã-öèè ïðè Ïåòåðá. ê-òå ÐÑÄÐÏ(á). Ñ èþíÿ 1917 ÷ë. Âñåðîññ. áþðî Âîåí. îðã-öèè ïðè ÖÊ ÐÑÄÐÏ(á). Ó÷àñòíèê Îêò. âîîðóæ. âîññòàíèÿ â Ïåòðîãðàäå.  1918- îäèí èç îðãàíèçàòîðîâ è ïðåä. Òîìñêîãî ãóá. ñîâíàðõîçà. Ñ ëåòà 1918 â áîëüøåâèñòñêîì ïîäïîëüå â Ñèáèðè. Àðåñòîâàí è ðàññòðåëÿí áåëîãâàðäåéöàìè.

Ëèò.: Ôëåðîâ Â., Ñ. À. ×åðåïàíîâ, â êí.: Áîðöû çà âëàñòü Ñîâåòîâ, â. 1, [Òîìñê], 1959.

×ÅÐÅÏÀÍÎÂÎ, ãîðîä, öåíòð ×åðåïàíîâñêîãî ð-íà Íîâîñèáèðñêîé îáë. ÐÑÔÑÐ. Æ.-ä. ñò. â 109 êì ê Þ.-Â. îò Íîâîñèáèðñêà. Ç-ä ñòðîèò, ìàòåðèàëîâ; ìÿñîêîìáèíàò, ìîëêîìáèíàò; ô-êè: øâåéíàÿ è ìåáåëüíàÿ.

×ÅÐÅÏÀÍÎÂÛ Åôèì Àëåêñååâè÷ [1774, Âûéñêèé ç-ä,- 15(27).6.1842, Íèæíèé Òàãèë] è Ìèðîí Åôèìîâè÷ [1803, Âûéñêèé ç-ä,-5(17). 10.1849, Íèæíèé Òàãèë], ðóññêèå ìàøèíîñòðîèòåëè, îòåö è ñûí. Êðåïîñòíûå çàâîä÷èêîâ Äåìèäîâûõ. Åôèì ×. è åãî æåíà ïîëó÷èëè âîëüíóþ â 1833, Ìèðîí ×. è åãî æåíà - â 1836.  1810-õ ãã. Åôèì ×. ñîçäàë ìàøèíîñòðîèò. ç-ä (Âûéñêîå ìåõàíè÷. çàâåäåíèå), îñíàù¸ííûé ïîëíûì êîìïëåêñîì ìåòàëëîðåæóùèõ ñòàíêîâ, ÷àñòü ê-ðûõ èìåëà îðèãèíàëüíóþ êîíñòðóêöèþ (îñîáåííî âèíòîðåçíûå, çóáîðåçíûé è ïðîäîëüíîñòðîãàëüíûé). Åôèì ×. ñ 1822 è äî êîíöà æèçíè ðàáîòàë ãë. ìåõàíèêîì âñåõ íèæíåòàãèëüñêèõ ç-äîâ, Ìèðîí ×. âíà÷àëå ó÷èëñÿ ó îòöà, à â 1819 áûë íàçíà÷åí åãî ïîìîùíèêîì; ïîñëå ñìåðòè îòöà - çàìåíèë åãî. ×. óñîâåðøåíñòâîâàëè îáîðóäîâàíèå äîìåííîãî, æåëåçîäåëàòåëüíîãî, ìåäåïëàâèëüíîãî, ëåñîïèëüíîãî, ìóêîìîëüíîãî è çîëîòîäîáûâàþùåãî ïðîèç-â. Íàèáîëåå èíòåðåñíà äåÿòåëüíîñòü ×. ïî ïîñòðîéêå ïàðîâûõ ìàøèí, ê-ðûå îíè íàñòîé÷èâî âíåäðÿëè â ïðîèç-âî. Âñåãî íà÷èíàÿ ñ 1820 ×. áûëî ïîñòðîåíî îê. 20 ïàðîâûõ ìàøèí ìîùíîñòüþ îò 2 äî 60 ë. ñ.  1833-34 îíè ñîçäàëè ïåðâûé â Ðîññèè ïàðîâîç, à â 1835 - âòîðîé (áîëåå ìîùíûé), â êîíñòðóêöèè ê-ðûõ áûëè îñóùåñòâëåíû ïåðåäîâûå òîãäà òåõíè÷. èäåè. ×óãóííàÿ ðåëüñîâàÿ äîðîãà áûëà ïðîëîæåíà îò Âûéñêîãî ç-äà äî Ìåäíîãî ðóäíèêà. Îäíàêî, íåñìîòðÿ íà óñïåøíóþ ðàáîòó ïàðîâîçîâ, íîâîââåäåíèå ×. íå áûëî ïîääåðæàíî è ïàðîâîçû çàìåíèëè êîííîé òÿãîé.  òàêîì âèäå äîðîãà ðàáîòàëà åù¸ â íà÷. 20 â.

Ëèò.: Âèðãèíñêèé Â. Ñ., Æèçíü è äåÿòåëüíîñòü ðóññêèõ ìåõàíèêîâ ×åðåïàíîâûõ, M., 1956; Çàãîðñêèé Ô. H., Î÷åðêè ïî èñòîðèÿ ìåòàëëîðåæóùèõ ñòàíêîâ äî ñåðåäèíû XIX âåêà, M.- Ë., 1960.
Ô. H. Çàãîðñêèé.

×ÅÐÅÏÀÕÈ (Testudinata), ïîäêëàññ ïðåñìûêàþùèõñÿ. Õàðàêòåðíàÿ îñîáåííîñòü - òåëî ïîêðûòî ïàíöèðåì, ñîñòîÿùèì èç âûïóêëîãî ñïèííîãî ùèòà (êàðàïàêå) è ïëîñêîãî áðþøíîãî (ïëàñòðîí). Îáà ùèòà ñîåäèíÿþòñÿ íåïîäâèæíî áîêîâûìè ïåðåìû÷êàìè èëè ñâîáîäíî-êîæåé. Îñíîâó ïàíöèðÿ ñîñòàâëÿþò êîæíûå îêîñòåíåíèÿ, à òàêæå ðàñøèðåííûå ð¸áðà è îñòèñòûå îòðîñòêè ïîçâîíêîâ. Êëþ÷èöû è ãðóäèíà âîøëè â ñîñòàâ ïëàñòðîíà. Êîñòíûå ýëåìåíòû ïàíöèðÿ íàç. ïëàñòèíêàìè. Ó áîëüøèíñòâà ×. îíè ïîêðûòû ðîãîâûìè ùèòêàìè è òîëüêî ó ìÿãêèõ ×. è ó êîæèñòîé ×.- êîæåé. Ó ñóõîïóòíûõ ×. êàðàïàêñ ñèëüíî âûïóêëûé (îêðóãëûé èëè ïàðàáîëè÷åñêèé â ïîïåðå÷íîì ñå÷åíèè) è âûäåðæèâàåò çíà÷èòåëüíûå íàãðóçêè (êàê ðàâíîìåðíî ðàñïðåäåë¸ííûå, òàê è ñîñðåäîòî÷åííûå, óäàðíûå). Ó ïðåñíîâîäíûõ è ìîð. âèäîâ îí óïëîùåííûé (ýëëèïòè÷åñêèé), "îáòåêàåìîé" ôîðìû. Ïëàñòðîí ýòèõ ×. áûâàåò ÷àñòè÷íî ðåäóöèðîâàí èëè ðàñ÷ëåí¸í íà âçàèìîïîäâèæíûå ÷àñòè, ÷òî óâåëè÷èâàåò ñâîáîäó äâèæåíèÿ íîã, ãîëîâû è õâîñòà. Óïëîùåíèå è îáëåã÷åíèå ïàíöèðÿ ÷àñòî êîìïåíñèðóåòñÿ ðàçðàñòàíèåì íà ïîâåðõíîñòè êàðàïàêñà óïðî÷íÿþùèõ åãî áóãðèñòûõ âîçâûøåíèé è "ð¸áåð æ¸ñòêîñòè". ×åðåï ïàíöèðíîãî òèïà (ïñåâäîñòåãàëüíîãî ñòðîåíèÿ) ó ñîâð. ìîð. âèäîâ èëè ñ ëîæíîé âèñî÷íîé äóãîé (ïñåâäàïñèäíîãî òèïà) ó îñòàëüíûõ ×. Çóáîâ íåò, ÷åëþñòè ïîêðûòû ðîãîâûìè ïëàñòèíêàìè, îáðàçóþùèìè ïîäîáèå êëþâà. Îñîáîå ñòðîåíèå ðàçíûõ ïî ôîðìå øåéíûõ ïîçâîíêîâ îáåñïå÷èâàåò áîëüøóþ ïîäâèæíîñòü øåè - êîãäà ×. ïðÿ÷åò ãîëîâó ïîä ïàíöèðü, øåÿ èçãèáàåòñÿ â âåðòèêàëüíîé ïëîñêîñòè (ñêðûòîøåéíûé òèï) èëè â ãîðèçîíòàëüíîé - âáîê (áîêîøåéíûé òèï). Õâîñòîâûõ ïîçâîíêîâ îáû÷íî ìàëî (õâîñò îòíîñèòåëüíî äëèííåå ó ïðåñíîâîäíûõ âèäîâ). Ðàçâèòèå ïàíöèðÿ âûçâàëî ïåðåìåùåíèå ïîÿñîâ êîíå÷íîñòåé ïîä ð¸áðà (èñêëþ÷èòåëüíûé ñëó÷àé ó ïîçâîíî÷íûõ). Ó ïðåñíîâîäíûõ âèäîâ êîíå÷íîñòè áîëåå ïîäâèæíûå, èõ ïàëüöû ñîåäèíÿþòñÿ ïëàâàòåëüíûìè ïåðåïîíêàìè. Ó ìîð. ×. íîãè ïðåîáðàçîâàíû â ëàñòû (ïåðåäíèå äëèííåå çàäíèõ).

Íàëè÷èå ïàíöèðÿ ñèëüíî îòðàçèëîñü è íà âíóòð. ñòðîåíèè ×. Ìóñêóëàòóðà òóëîâèùà ÷àñòè÷íî ðåäóöèðîâàëàñü, à íà êîíå÷íîñòÿõ è â îáëàñòè øåè çíà÷èòåëüíî ðàçâèëàñü. Èç-çà îòñóòñòâèÿ ð¸áåðíîãî äûõàíèÿ âîçäóõ "çàãëàòûâàåòñÿ" ñ ïîìîùüþ ïîäúÿçû÷íîãî àïïàðàòà, îò÷àñòè çà ñ÷¸ò äâèæåíèÿ êîíå÷íîñòåé. Ó ïðåñíîâîäíûõ ×. ãàçîîáìåí ÷àñòè÷íî îñóùåñòâëÿåòñÿ îñîáûìè àíàëüíûìè ìåøêàìè, îòêðûâàþùèìèñÿ â êëîàêó. Ó ìÿãêèõ ×. èìååòñÿ êîæíîå äûõàíèå (ðåäêîå ÿâëåíèå ó ïðåñìûêàþùèõñÿ). Óðîâåíü îñí. îáìåíà íèçêèé, èíòåíñèâíîñòü îáìåíà ñëàáàÿ.  ïðîöåññå ýêñêðåöèè âûäåëÿåòñÿ â îñíîâíîì ìî÷åâèíà; èìååòñÿ áîëüøîé ìî÷åâîé ïóçûðü (ó áîëüøèíñòâà ïðî÷èõ ïðåñìûêàþùèõñÿ ýêñêðåòèðóåòñÿ ãë. îáð. ìî÷åâàÿ êèñëîòà, ìî÷åâîé ïóçûðü ó ìíîãèõ îòñóòñòâóåò). Ãîëîâíîé ìîçã è îñí. ðåöåïòîðû ðàçâèòû ñëàáî.

Ðàçìåðû âåñüìà ðàçëè÷íû. Èç ñîâð. ×. íàèáîëåå êðóïíûìè ÿâëÿþòñÿ ìîðñêèå (êîæèñòàÿ ÷åðåïàõà äî 2 ì). Ðàíåå ×. äîñòèãàëè 3 ì äë.

Ïðîèçîøëè ×. îò îäíîé èç âåòâåé äðåâíåéøèõ íàçåìíûõ ïðåñìûêàþùèõñÿ - êîòèëîçàâðîâ.  õîäå ýâîëþöèè ìíîãèå ïðèñïîñîáèëèñü ê æèçíè â êîíòèíåíòàëüíûõ âîäî¸ìàõ è ìîðÿõ. Äîñòîâåðíî èçâåñòíû ñ òðèàñà, íå èñêëþ÷åíî èõ âîçíèêíîâåíèå åù¸ â êîíöå ïàëåîçîÿ. Íàèáîëüøåãî ðàñöâåòà äîñòèãëè ñî âòîðîé ïîëîâèíû ìåçîçîÿ äî êîíöà íåîãåíà. Ðàíüøå MH. ðîäû è ñåìåéñòâà áûëè ðàñïðîñòðàíåíû áîëåå øèðîêî. Íàïð., â Åâðîïå îáèòàëè ìÿãêèå, áîêîøåéíûå, êàéìàíîâûå, ñëîíîâûå è äð. ×., ñîõðàíèâøèåñÿ ñåé÷àñ ëèøü íà äð. êîíòèíåíòàõ. Áîëüøèíñòâî ñîâð. ×. îáèòàåò â òðîïè÷. è ýêâàòîðèàëüíûõ øèðîòàõ.

Ñîâð. ×. îòíîñÿò ê 5 îòð.: ñêðûòîøåé-íûå ÷åðåïàõè, áîêîøåéíûå ÷åðåïàõè, ìÿãêèå ÷åðåïàõè, ìîðñêèå ÷åðåïàõè è êîæèñòûå ÷åðåïàõè (1 âèä - êîæèñòàÿ ÷åðåïàõà, èíîãäà âêëþ÷àåìàÿ â ïðåäûäóùèé îòð.). Íûíå æèâóùèõ ×. áîëåå 210 âèäîâ; ñóõîïóòíûå è ïðåñíîâîäíûå ïðåäñòàâèòåëè âñòðå÷àþòñÿ íà âñåõ ìàòåðèêàõ (èñêëþ÷àÿ Àíòàðêòèäó) è íà MH. êðóïíûõ îñòðîâàõ.  ÑÑÑÐ îáèòàåò 7 âèäîâ: áîëîòíàÿ ×. (Emys orbicularis), êàñïèéñêàÿ (Mauremys caspica), ñðåäèçåìíîìîðñêàÿ (Testudo graeca), ñòåïíàÿ, èëè ñðåäíåàçèàòñêàÿ (Agrionemys horsfieldi), è äàëüíåâîñòî÷íàÿ (Trionyx sinensis) - èç íàçåìíûõ; ëîããåðõåä (Caretta caretta) è êîæèñòàÿ ÷åðåïàõà (Dermochelys coria-ñåà) - èç ìîðñêèõ.

×àñòü ×. îáèòàåò òîëüêî íà ñóøå (43 âèäà), ãäå íåê-ðûå ïðèñïîñîáèëèñü ê ðûòüþ íîð. Ìîð. ×. (5 âèäîâ), èñêëþ÷àÿ ïåðèîä ðàçìíîæåíèÿ, æèâóò â îêåàíå. Áîëüøèíñòâî ñîâð. ×. âåä¸ò ïîëóâîäíûé îáðàç æèçíè è íàñåëÿåò ðåêè, îç¸ðà, áîëîòà, îïðåñí¸ííûå çàëèâû.  õîëîäíûå è çàñóøëèâûå ïåðèîäû ãîäà ìîãóò âïàäàòü â îöåïåíåíèå (çèìíÿÿ è ëåòíÿÿ ñïÿ÷êà) è â ýòîì ñîñòîÿíèè ïåðåæèâàòü íåáëàãîïðèÿòíîå âðåìÿ. Ñóõîïóòíûå ×. â îñíîâíîì, à ìîðñêèå ïðåèì.- ðàñòèòåëüíîÿäíûå; ïðåñíîâîäíûå ïîòðåáëÿþò ãë. îáð. æèâîòíóþ ïèùó (ðûá, çåìíîâîäíûõ, áåñïîçâîíî÷íûõ). Ìîãóò ïî íåñê. ìåñÿöåâ îáõîäèòüñÿ áåç ïèùè. Ñïàðèâàþòñÿ îáû÷íî íà ñóøå, ãäå è îòêëàäûâàþò ÿéöà (îò îäíîãî äî íåñê. ñîòåí), çàðûâàåìûå â ãðóíò. Ó íåê-ðûõ âèäîâ áûâàåò äî 3 è áîëåå êëàäîê â ãîä. Øàðîâèäíûå èëè ýëëèïòè÷. ÿéöà ïîêðûòû ó áîëüøèíñòâà âèäîâ èçâåñòêîâîé ñêîðëóïîé, à ó ìîð. è íåê-ðûõ ïðåñíîâîäíûõ ×.- êîæèñòîé îáîëî÷êîé. Èíêóáàöèîííûé ïåðèîä 2-3 ìåñ. Ïîëîâîçðåëîñòü íàñòóïàåò íå ðàíåå 2-3 ëåò. Ñàìöû îáû÷íî ìåíüøå ñàìîê, ó íèõ ÷óòü âîãíóòûé ïëàñòðîí è ìîæåò áûòü íåìíîãî âûøå êàðàïàêñ. Ðîñò ó ×. íåîãðàíè÷åííûé, íî ñ íàñòóïëåíèåì ïîëîâîçðåëîñòè ñèëüíî çàìåäëÿåòñÿ. Ïðîäîëæèòåëüíîñòü æèçíè íåñê. äåñÿòêîâ ëåò (èíîãäà ñâ. 100 ëåò). Îòäåëüíûå âèäû ×.- îáúåêò ïðîìûñëà (ãë. îáð. ìîðñêèå, íåñê. âèäîâ ïðåñíîâîäíûõ, ðåæå ñóõîïóòíûå). Èñïîëüçóþòñÿ ìÿñî, æèð, ÿéöà, èíîãäà ðîãîâûå ùèòêè äëÿ ãàëàíòåðåéíûõ èçäåëèé. Ñóùåñòâóþò ôåðìû äëÿ ðàçâåäåíèÿ è îòêàðìëèâàíèÿ ×. Íåê-ðûå ïðåñíîâîäíûå âèäû ×. íàíîñÿò èíîãäà íåçíà÷èò. âðåä ðûáíîìó õ-âó, à ñóõîïóòíûå - íàñàæäåíèÿì è ïîñåâàì êóëüòóðíûõ ðàñòåíèé. MH. ×. íàõîäÿòñÿ ïîä îõðàíîé, â ÑÑÑÐ - âñå ñóõîïóòíûå âèäû è ïðåñíîâîäíàÿ äàëüíåâîñòî÷íàÿ ÷åðåïàõà.

Ëèò.: Áðåé À., Æèçíü æèâîòíûõ, 4 èçä., ò. 5, ÑÏÁ, 1914; Íèêîëüñêèé A. M., Chelonia è Sauria, Ï., 1915 (Ôàóíà Ðîññèè è ñîïðåäåëüíûõ ñòðàí... Ïðåñìûêàþùèåñÿ [Reptilia], ò. 1); Æèçíü æèâîòíûõ ïî À. Ý. Áðåìó, ò. 3, M., 1939) Òåðåíòüåâ Ï. Â., ×åðíîâ Ñ. À., Îïðåäåëèòåëü ïðåñìûêàþùèõñÿ è çåìíîâîäíûõ, 3 èçä., M., 1949; Æèçíü æèâîòíûõ, ò. 4, ÷. 2, M., 1969; Áàííèêîâ À. Ã., Ä àðåâñêèé È. Ñ., Ðóñòàìîâ À. Ê., Çåìíîâîäíûå è ïðåñìûêàþùèåñÿ ÑÑÑÐ, M., 1971; Îñíîâû ïàëåîíòîëîãèè. Çåìíîâîäíûå, ïðåñìûêàþùèåñÿ è ïòèöû, M., 1964; Ê à ð ð  À., Íàâåòðåííàÿ äîðîãà, ïåð. ñ àíãë., M., 1961; åãî æ å,  îêåàíå áåç êîìïàñà, ïåð. ñ àíãë., M., 1971; åãî æå, Ðåïòèëèè, ïåð ñ àíãë., M., 1975; H. G. Bronn's Klassen und Ordnungen des Thier-Reiches, Bd 6, Abt. 3. Lpz.- HdIb., 1890; Gadow H., Amphibia and reptiles, L., 1923 (The Cambridge natural history, v. 8); Ñ à r r A., Handbook of turtles, Ithaca (N. Y.), 1952; W e rmuth H., Mertens R., Schildkroten. Krokodile. Briickenechsen, Jena, 1961.

Ë. È. Õîçàöêèé.

×ÅÐÅÏÀØÈÍÑÊÈÉ Ìèõàèë Ìèõàéëîâè÷ (1845-30.4.1916), ðóññêèé ó÷¸íûé â îáëàñòè ñòðîèò, ìåõàíèêè.  1873 îêîí÷èë Âåíñêèé ïîëèòåõíè÷. èí-ò. Ñ 1885 ïðîô. è ñ 1907 çàñë. ïðîô. Ìîñê. âûñøåãî òåõíè÷. ó÷èëèùà. Îñí. òðóäû ×. ïîñâ. âîïðîñàì ðàñ÷¸òà èíæåíåðíûõ ñîîðóæåíèé (â ÷àñòíîñòè, ðàçðàáîòêå ìåòîäîâ ðàñ÷¸òà ñòàòè÷åñêè íåîïðåäåëèìûõ ñèñòåì), èñòîðèè ñòðîèò.ìåõàíèêè è ìîñòîñòðîåíèÿ. ×.- àâòîð îðèãèíàëüíîé ñ÷¸òíîé ëèíåéêè.

"×ÅÐÅÏÀØÊÀ", ÿçû÷êîâûé êëàâèøíûé ìóç. èíñòðóìåíò. Íåáîëüøàÿ îäíîðÿäíàÿ äèàòîíè÷., ò. í. "÷åðåïîâåöêàÿ", ãàðìîíü. Íàçâ. ïî ìåñòó ïåðâîíà÷. ïðîèçâîäñòâà - ã. ×åðåïîâåö Íîâãîðîäñêîé ãóá. Áûëà ïîïóëÿðíà â êîí. 19 â. èâ 20-å ãã. 20 â. Èìåëà 2-6 êëàâèø â ïðàâîé êëàâèàòóðå è 2 - â ëåâîé; âûñîòà êîðïóñà äî 70 ìì. Ñòðîé äèàòîíè÷., çâóêè ðàçíûå ïðè ñìåíå äâèæåíèÿ ìåõà. Ðåêîíñòðóèðîâàííûå ðàçíîâèäíîñòè - ñ äîïîëíèò. õðîìàòè÷. ïîëóòîíàìè (ò. í. "×." Ï. E. Íåâñêîãî) è 2-ðÿäíàÿ, ñ ïîëíûì õðîìàòè÷. çâóêîðÿäîì íà ïðàâîé êëàâèàòóðå (äî 10 êëàâèø) è áàñîàêêîðäîâûì àêêîìïàíåìåíòîì íà ëåâîé (ò. í. "×." Â. Ñ. Âàðøàâñêîãî).

Ëèò.:Áëàãîäàòîâ Ã., Ðóññêàÿ ãàðìîíèêà, Ë., 1960; M è ð å ê À., Ñïðàâî÷íèê ïî ãàðìîíèêàì, [M.], 1968.

×ÅÐÅÏÀØÊÀ ÂÐÅÄÍÀß, íàñåêîìîå ñåì. ùèòíèêîâ, íàèáîëåå âðåäîíîñíûé âèä õëåáíûõ êëîïîâ.

×ÅÐÅÏÅÒÑÊÀß ÃÐÝÑ, òåïëîâàÿ ýëåêòðîñòàíöèÿ â ã. Ñóâîðîâ Òóëüñêîé îáë. ÐÑÔÑÐ. Óñòàíîâëåííàÿ ìîùíîñòü 1500 Ìâò (4 òóðáèíû ïî 150 Ìâò è 3 ïî 300 Ìâò â áëîêå ñ êîòëàìè). Òîïëèâîì ñëóæèò ïîäìîñêîâíûé áóðûé óãîëü äëÿ áëîêîâ ìîùíîñòüþ 150 Ìâò è êàìåííûé óãîëü Êóçíåöêîãî áàññåéíà äëÿ áëîêîâ ìîùíîñòüþ 300 Ìâò. Òåõíè÷. âîäîñíàáæåíèå îáîðîòíîå ñ âîäîõðàíèëèùåì - îõëàäèòåëåì íà ð. ×åðåïåòü. Ñòð-âî íà÷àòî â 1950, ïåðâûé áëîê ïóùåí â 1953, ïîñëåäíèé, 7-é - â 1966. Ýëåêòðîýíåðãèÿ ïåðåäà¸òñÿ ïî âûñîêîâîëüòíûì ëèíèÿì ýëåêòðîïåðåäà÷è íàïðÿæåíèåì 110 è 220 êâ â Åäèíóþ ýíåðãåòè÷. ñèñòåìó ÑÑÑÐ.

×ÅÐÅÏÅÒÜ, ïîñ¸ëîê ãîð. òèïà â Ñóâîðîâñêîì ð-íå Òóëüñêîé îáë. ÐÑÔÑÐ. Ðàñïîëîæåí íà ð. ×åðåïåòü (ïðèòîê Îêè). Æ.-ä. ñòàíöèÿ íà ëèíèè Òóëà -Êîçåëüñê. Ïðåäïðèÿòèÿ æ.-ä. òðàíñïîðòà.

×ÅÐÅÏÈÖÀ, êðîâåëüíûé øòó÷íûé êåðàìè÷åñêèé ìàòåðèàë èç îáîææ¸ííîé ãëèíû (ãëèíÿíàÿ ×.), èç öåìåíòíî-ïåñ÷àíîãî ðàñòâîðà (öåìåíòíàÿ ×.) èëè èç èçâåñòêîâî-ïåñ÷àíîãî ðàñòâîðà ñ îáðàáîòêîé èçäåëèÿ â àâòîêëàâå (ñèëèêàòíàÿ ×.). Íàèáîëåå ðàñïðîñòðàí¸ííàÿ ãëèíÿíàÿ ×. ïðîèçâîäèòñÿ èç ïëàñòè÷íûõ ëåãêîïëàâêèõ ãëèí (èíîãäà ñ äîáàâêîé øàìîòà). Ïî ôîðìå è ïî ìåòîäó ïðåññîâàíèÿ ×. ïîäðàçäåëÿåòñÿ íà ïàçîâóþ (øòàìïîâàííóþ è ëåíòî÷íóþ) è ïëîñêóþ (ëåíòî÷íóþ); êðîìå òîãî, äëÿ ïîêðûòèÿ êîíüêîâ êðîâëè âûïóñêàåòñÿ êîíüêîâàÿ ×.  çàâèñèìîñòè îò ñîñòàâà ãëèí è ðåæèìà îáæèãà ×. ìîæåò èìåòü íàòóðàëüíóþ îêðàñêó - îò êèðïè÷íî-êðàñíîãî äî æ¸ëòî-ñåðîãî öâåòà.  äåêîðàòèâíûõ öåëÿõ ×. èíîãäà ïîêðûâàþò öâåòíîé ãëàçóðüþ. Öåìåíòíàÿ ×. ìîæåò áûòü îêðàøåíà àòìîñôåðîñòîéêîé êðàñêîé ïî âñåé òîëùå èëè ïî ïîâåðõíîñòè. Äîñòîèíñòâà ×.- äîëãîâå÷íîñòü, îãíåñòîéêîñòü, âîäîíåïðîíèöàåìîñòü, ìîðîçîñòîéêîñòü, ìàëûå ýêñïëóàòàö. çàòðàòû (íå òðåáóåò ïåðèîäè÷. ïîêðàñîê). Íåäîñòàòêè - õðóïêîñòü è ñðàâíèòåëüíî áîëüøîé âåñ; êðîâëÿ èç ×. äîëæíà èìåòü êðóòîé ñêàò (áîëåå 30°) äëÿ ñòîêà âîäû.

×ÅÐÅÏÍÈÍ Ëåâ Âëàäèìèðîâè÷ [30.3 (12.4). 1905, Ðÿçàíü, - 12.6.1977, Ìîñêâà], ñîâåòñêèé èñòîðèê, àêàä. ÀÍ ÑÑÑÐ (1972), çàñë. äåÿò. íàóêè ÐÑÔÑÐ (1970). ×ë. ÊÏÑÑ ñ 1957. Ñïåöèàëèñò â îáëàñòè îòå÷åñòâ.èñòîðèè ýïîõè ôåîäàëèçìà, èñòî÷íèêîâåäåíèÿ, èñòîðèîãðàôèè, âñïîìîãàò. èñò. äèñöèïëèí.  1925 ñäàë ýêçàìåíû çà óíèâåðñèòåòñêèé êóðñ.  1929 îêîí÷èë àñïèðàíòóðó Èí-òà èñòîðèè Ðîññèéñêîé àññîöèàöèè í.-è. èí-òîâ îáùåñòâ. íàóê. Ñ 1946 - ñò. íàó÷. ñîòðóäíèê Èí-òà èñòîðèè(ñ 1968 Èí-òà èñòîðèè ÑÑÑÐ) ÀÍ ÑÑÑÐ, ñ 1951 - çàâ. ñåêòîðîì èñòîðèè ÑÑÑÐ ïåðèîäà ôåîäàëèçìà, ñ 1969- îäíîâðåìåííî çàâ. îòäåëîì èñòîðèè äîêà-ïèòàëèñòè÷. ôîðìàöèé íà òåðð. ÑÑÑÐ. Ïðåïîäàâàë â ÌÃÓ è â äð. âóçàõ. Ïðîô. ñ 1947. ×.- àâòîð ñâ. 350 íàó÷. òðóäîâ. Ðàçðàáàòûâàë òåîðåòè÷., èñòî÷íèêîâåä÷åñêèå è êîíêðåòíî-èñòîðè÷åñêèå ïðîáëåìû îáðàçîâàíèÿ Ðóñ. öåíòðàëèçîâàííîãî ãîñ-âà, èññëåäîâàë ïåðèîäèçàöèþ ðóñ. èñòîðèè ýïîõè ôåîäàëèçìà, ñîöèàëüíî-ýêîíîìè÷. è ïîëèòè÷. èñòîðèþ äð.-ðóñ. îáùåñòâà â 10-13 ââ., ðàçâèòèå ñîñëîâíî-ïðåäñòàâèò. ìîíàðõèè è àáñîëþòèçìà â Ðîññèè, êëàññîâîé è ïîëèòè÷. áîðüáû â 14-17 ââ., òèïîëîãèþ ðóñ. èñòîðè÷. ïðîöåññà ýïîõè ôåîäàëèçìà. ×.- îäèí èç ïåðâûõ ñîâ. ó÷¸íûõ, íà÷àâøèõ ðàçðàáîòêó òåîðåòè÷. è ìåòîäîëîãè÷. âîïðîñîâ èñòî÷íèêîâåäåíèÿ.

Ë. Â. ×åðåïíèí.

Öèêë òðóäîâ ×. ïîñâÿù¸í âàæíåéøèì ïðîáëåìàì èñòîðèîãðàôèè, òâîð÷åñòâó êðóïíåéøèõ ðóñ. è ñîâ. èñòîðèêîâ, à òàêæå âàæíåéøèì âîïðîñàì ðàçâèòèÿ ñîâ. èñò. íàóêè è êðèòèêå ñîâð. áóðæ. èñòîðèîãðàôèè. Èì íàïèñàíû ðàáîòû è ó÷. ïîñîáèÿ ïî âñïîìîãàò. èñò. äèñöèïëèíàì. ×. ñîçäàë îäíó èç ñîâ. øêîë ìåäèåâèñòèêè Ðîññèè. ×. áûë âèöå-ïðåçèäåíòîì Ìåæäóíàð. êîìèññèè ïî èñòîðèè ïàðëàìåíòñêèõ è ïðåäñòàâèòåëüíûõ ó÷ðåæäåíèé (ñ 1970). Ïð. èì. M. Â. Ëîìîíîñîâà (1957), Ãîñ. ïð. Ìîëä. CCP (1972). Íàãðàæä¸í îðäåíîì Òðóäîâîãî Êðàñíîãî Çíàìåíè è ìåäàëÿìè.

Ñî÷.: Ðóññêèå ôåîäàëüíûå àðõèâû XIV- XV ââ., ÷. 1 - 2, Ì.- Ë., 1948 - 51; Ðóññêàÿ ïàëåîãðàôèÿ, M., 1956; Ðóññêàÿ èñòîðèîãðàôèÿ äî XIX â., M., 1957; Îáðàçîâàíèå ðóññêîãî öåíòðàëèçîâàííîãî ãîñóäàðñòâà â XIV - XV ââ., M., 1960; Íîâãîðîäñêèå áåðåñòÿíûå ãðàìîòû êàê èñòîðè÷åñêèé èñòî÷íèê, M., 1969; Ïóòè ðàçâèòèÿ ôåîäàëèçìà, M., 1972 (ñîâìåñòíî ñ À. Ï. Íîâîñåëüöåâûì è Â. T. Ïàøóòî).

Ëèò.: Ôåîäàëüíàÿ Ðîññèÿ âî âñåìèðíî-èñòîðè÷åñêîì ïðîöåññå. Ñá. ñò., ïîñâÿùåííûé Ë. Â. ×åðåïíèíó, M., 1972; Îáùåñòâî è ãîñóäàðñòâî ôåîäàëüíîé Ðîññèè. Ñá. ñò., ïîñâÿùåííûé 70-ëåòèþ àêàäåìèêà Ë. Â. ×åðåïíèíà, M., 1975; Ï à ø ó ò î Â. Ò., Íàçàðîâ Â. Ä., Ïàìÿòè ñòàðøåãî äðóãà. Î Ëüâå Âëàäèìèðîâè÷å ×åðåïíèíå, "Èñòîðèÿ ÑÑÑÐ", 1978, ¹ 1. Â.Ä.Íàçàðîâ.

×ÅÐÅÏÍÈÍ Íèêîëàé Íèêîëàåâè÷ [3(15). 5.1873, Ïåòåðáóðã,-27.6.1945, Èññè-ëå-Ìóëèíî, áëèç Ïàðèæà], ðóññêèé êîìïîçèòîð, äèðèæ¸ð, ïåäàãîã. Îêîí÷èë þðèäè÷åñêèé ô-ò Ïåòåðá. óí-òà (1895) è Ïåòåðá. êîíñåðâàòîðèþ (1898, ó÷åíèê H. À. Ðèìñêîãî-Êîðñàêîâà). Äèðèæèðîâàë êîíöåðòàìè Ðóñ. ìóç. îá-âà, "Ðóñ. ñèìô. êîíöåðòàìè", â 1906-09 - â Maðèèíñêîì òåàòðå, â 1908-13 - â ïåòåðá. Íàð. äîìå.  1909-14 ó÷àñòíèê Ðóññêèõ ñåçîíîâ. Ñ 1905 ïðåïîäàâàë (ñ 1909 ïðîô.) â Ïåòåðá. êîíñåðâàòîðèè (êëàññ äèðèæèðîâàíèÿ; ñðåäè åãî ó÷åíèêîâ - À. Ê. Ãàóê, Â. À. Äðàíèøíèêîâ, Ñ. Ñ. Ïðîêîôüåâ).  1918-21 äèðåêòîð Òáèëèññêîé êîíñåðâàòîðèè.  1921 ýìèãðèðîâàë, æèë âî Ôðàíöèè. Îñíîâàë â Ïàðèæå Ðóñ. êîíñåðâàòîðèþ.

Òâîð÷åñòâî ×., îñîáåííî â íà÷àëüíûé ïåðèîä, ñâÿçàíî ñ òðàäèöèÿìè ðóñ. ìóç. êëàññèêè, â äàëüíåéøåì êîìïîçèòîð èñïûòàë âëèÿíèå èìïðåññèîíèçìà. Äàðîâàíèå ×. ÿð÷å ðàñêðûëîñü â ïðîãðàììíûõ ñèìô. ïðîèçâ. (â ò. ÷. ïðåëþä "Ïðèíöåññà Ãð¸çà", 1896), áàëåòàõ - "Ïàâèëüîí Àðìèäû" (1903, ïîñò. 1907), "Íàðöèññ è Ýõî" (1911) è äð. Ñðåäè ñî÷. ×. - îïåðû, êàìåðíûå èíñòðóì. è âîêàëüíûå ïðîèçâ., õîðû (â ò. ÷. "Íå ïëà÷üòå íàä òðóïàìè ïàâøèõ áîéöîâ").

Ñî÷.: Âîñïîìèíàíèÿ ìóçûêàíòà, Ë., 1976. Ëèò.: Òîìïàêîâà Î., H. H. ×åðåïíèí, "Ìóçûêàëüíàÿ æèçíü", 1974, ¹ 1.

×ÅÐÅÏÍÎÉ ÓÊÀÇÀÒÅËÜ, îòíîøåíèå íàèáîëüøåé øèðèíû ÷åðåïà (ïîïåðå÷íûé äèàìåòð) ê åãî íàèáîëüøåé äëèíå (ïðîäîëüíûé äèàìåòð), âûðàæåííîå â ïðîöåíòàõ. ×. ó. ïðèìåíÿþò â àíòðîïîëîãèè äëÿ õàðàêòåðèñòèêè ôîðìû ÷åðåïà â ãîðèçîíòàëüíîé ïëîñêîñòè. Íèçêèå çíà÷åíèÿ ×. ó. ñîîòâåòñòâóþò îòíîñèòåëüíî áîëåå äëèííîìó è óçêîìó ÷åðåïó. Ïðè ×. ó. íå ñâ. 74,9 ãîâîðÿò î äîëèõîêðàíèè (äëèííîãîëîâîñòü), ïðè ×. ó. â ïðåäåëàõ îò 75,0 äî 79,9 - î ìåçîêðàíèè (ñðåäíåãîëîâîñòü), ïðè ×. ó., ðàâíîì 80,0 è áîëåå,- î áðàõèêðàíèè (êîðîòêîãîëîâîñòü). ×. ó. ÷åëîâåêà íå õàðàêòåðèçóåò åãî óìñòâåííûå ñïîñîáíîñòè.  ðàñîâåäåíèè ×. ó. èñïîëüçóþò êàê îäèí èç ïðèçíàêîâ äëÿ îïðåäåëåíèÿ àíòðîïîëîãèÿ, òèïîâ íà ñêåëåòíîì ìàòåðèàëå.

×ÅÐÅÏÍÎÌÎÇÃÎÂÛÅ ÍÅÐÂÛ, ïðàâèëüíåå ÷åðåïíûå, ãîëîâíûå íåðâû, äâåíàäöàòü ïàð íåðâîâ, îòõîäÿùèõ îò ïåðåäíåé (íèæíåé) ïîâåðõíîñòè ñòâîëîâîé ÷àñòè ãîëîâíîãî ìîçãà ïîñëåäîâàòåëüíî ñïåðåäè íàçàä ÷åðåç îñîáûå îòâåðñòèÿ ÷åðåïà è èííåðâèðóþùèõ îðãàíû è òêàíè ãîëîâû è øåè (çà èñêëþ÷åíèåì áëóæäàþùåãî íåðâà, ê-ðûé ñïóñêàåòñÿ â ãðóäíóþ è áðþøíóþ ïîëîñòè). Ó êðóãëîðîòûõ, ðûá è çåìíîâîäíûõ ïîñòîÿííî èìåþòñÿ ëèøü ïåðâûå äåñÿòü ïàð ×. í. I è II ïàðû - îáîíÿòåëüíûé íåðâ â çðèòåëüíûé íåðâ; â îòëè÷èå îò äð. ×. í., îíè ÿâëÿþòñÿ ïðîèçâîäíûìè (âûðîñòàìè) ìîçãà è ñëóæàò ïðîâîäÿùèìè ïóòÿìè îáîíÿòåëüíîãî è çðèòåëüíîãî àíàëèçàòîðîâ; III, IV è VI ïàðû - ãëàçîäâèãàòåëüíûé íåðâ, áëîêîâûé íåðâ è îòâîäÿùèé íåðâ - ðàçâèâàþòñÿ â ñâÿçè ñ ãîëîâíûìè ìèîòîìàìè è èííåðâèðóþò ìûøöû ãëàçà. Ñ îáëàñòüþ ÷åëþñòíîé äóãè ñâÿçàíà V ïàðà - òðîéíè÷íûé íåðâ, îáåñïå÷èâàþùèé ÷óâñòâèòåëüíóþ èííåðâàöèþ êîæè ïåðåäíåé ÷àñòè ãîëîâû è èííåðâèðóþùèé æåâàòåëüíûå ìûøöû; VII ïàðà - ëèöåâîé íåðâ- èííåðâèðóåò ó ðûá îðãàíû áîêîâîé ëèíèè è ìóñêóëàòóðó ãèîèäíîé äóãè, ó íàçåìíûõ ïîçâîíî÷íûõ - ïîâåðõíîñòíóþ ìóñêóëàòóðó øåè, ìûøöó, îïóñêàþùóþ íèæíþþ ÷åëþñòü, ó ÷åëîâåêà è îáåçüÿí - ìèìè÷åñêóþ ìóñêóëàòóðó; ñîäåðæèò òàêæå ñåêðåòîðíûå âîëîêíà ê ñë¸çíîé æåëåçå è ñëþííûì æåëåçàì, ÷óâñòâèòåëüíûå (âêóñîâûå) âîëîêíà ê ñëèçèñòîé îáîëî÷êå ÿçûêà. Îò ýòîãî íåðâà â ïðîöåññå ðàçâèòèÿ îáîñîáëÿåòñÿ VIII ïàðà - ïðåääâåðíî-óëèòêîâûé íåðâ; ÷èñòî ÷óâñòâèòåëüíûé íåðâ, îòâåòñòâ. çà ñâÿçü îðãàíîâ ñëóõà, ðàâíîâåñèÿ è ãðàâèòàöèè ñ ãîëîâíûì ìîçãîì. Ðîäñòâåííûå ìåæäó ñîáîé IX ïàðà - ÿçûêîãëîòî÷íûé íåðâ, X ïàðà - áëóæäàþùèé íåðâ è XI ïàðà - äîáàâî÷íûé íåðâ - íåðàâíîçíà÷íû íè ïî ñîñòàâó âîëîêîí, íè ïî ìàñøòàáàì ðàñïðîñòðàíåíèÿ. IX è X ïàðû íåðâîâ - ñìåøàííûå, èìåþùèå äâèãàòåëüíûå, ÷óâñòâèò. è âåãåòàòèâíûå êîìïîíåíòû; XI ïàðà îáðàçóåòñÿ ó ìëåêîïèòàþùèõ, îáîñîáëÿÿñü îò áëóæäàþùåãî íåðâà; äîáàâî÷íûé íåðâ - äâèãàòåëüíûé, èííåðâèðóåò ãðóäèíî-êëþ÷è÷íî-ñîñöåâèäíóþ è òðàïåöèåâèäíóþ ìûøöû. Ïîñëåäíÿÿ, XII ïàðà - ïîäúÿçû÷íûé íåðâ-çàíèìàåò îñîáîå ìåñòî êàê ×. í., âîçíèêøèé ó àìíèîò â ðåçóëüòàòå ñëèÿíèÿ ìûøå÷íûõ âåòâåé ñïèííîìîçãîâûõ íåðâîâ.

×. í., â îòëè÷èå îò ñïèííîìîçãîâûõ, íå ñåãìåíòèðîâàíû è ñòðîãî ñïåöèàëèçèðîâàíû: êàæäàÿ ìûøöà èëè ãðóïïà ôóíêöèîíàëüíî îáúåäèí¸ííûõ ìûøö (íàïð., æåâàòåëüíûõ), êàæäûé îðãàí ïîëó÷àþò èííåðâàöèþ òîëüêî èç îäíîãî èñòî÷íèêà, ïîýòîìó íàðóøåíèå íåðâíîãî ïðîâîäíèêà (íàïð., ïðè ïàðàëè÷å ëèöåâîãî íåðâà) íå âîçìåùàåòñÿ ñîñåäíèìè íåðâàìè. ×. í. ÿâëÿþòñÿ íåðâàìè âûñîêîñïåöèàëèçèðîâàííûõ îðãàíîâ ÷óâñòâ è ðåãóëÿòîðàìè äûõàíèÿ, êðîâîîáðàùåíèÿ è ïèùåâàðåíèÿ. Â. Â. Êóïðèÿíîâ.

×ÅÐÅÏÍÛÅ, ïîäòèï æèâîòíûõ òèïà õîðäîâûõ; òî æå, ÷òî ïîçâîíî÷íûå.

×ÅÐÅÏÎÂÅÖ, ãîðîä îáëàñòíîãî ïîä÷èíåíèÿ, öåíòð ×åðåïîâåöêîãî ð-íà Âîëîãîäñêîé îáë. ÐÑÔÑÐ. Ðàñïîëîæåí íà Âîëão-Áàëòèéñêîì âîäíîì ïóòè. Ïîðò íà Ðûáèíñêîì âîäîõðàíèëèùå (ñì. Âîëæñêîãî áàññåéíà ðå÷íûå ïîðòû). Æ.-ä. ñòàíöèÿ íà ëèíèè Âîëîãäà - Ëåíèíãðàä. 246 òûñ. æèò. â 1977 (32 òûñ. â 1939). Ãîðîä ðàçäåë¸í íà 2 àäì. ð-íà. Âîçíèê êàê ñëîáîäà îê. Âîñêðåñåíñêîãî ìîíàñòûðÿ, ñóùåñòâîâàâøåãî ñ 14â. Ñ 1777 - ãîðîä Íîâãîðîäñêîãî íàìåñòíè÷åñòâà, ñ 1780 - óåçäíûé ãîðîä Íîâãîðîäñêîé ãóá. Íàñåëåíèå ×., íàõîäèâøåãîñÿ íàð. Øåêñíà, îáñëóæèâàëî Ìàðèèíñêóþ âîäíóþ ñèñòåìó (ñì. Âîëãî-Áàëòèéñêèé âîäíûé ïóòü).  1918-27 - öåíòð ×åðåïîâåöêîé ãóá., çàòåì ðàéöåíòð â Ëåíèíãðàäñêîé îáë., ñ 1937 - â Âîëîãîäñêîé îáë. Çà ãîäû Ñîâ. âëàñòè ñòàë ïðîì. öåíòðîì.

×.- âàæíûé öåíòð ÷¸ðíîé ìåòàëëóðãèè è õèìèè (×åðåïîâåöêèéìåòàëëóðãè÷åñêèé çàâîä, ñòàëåïðîêàòíûé, õèì., àçîòíî-òóêîâûé ç-äû). Ôàíåðíî-ìåáåëüíûé êîìáèíàò, ç-äû ñóäîñòðîèò.-ñóäîðåì., ìåòàëëîêîíñòðóêöèé, ãàðàæíîãî îáîðóäîâàíèÿ; ïðîìûøëåííîñòü ñòðîéìàòåðèàëîâ. Ïåä. èí-ò, ôèëèàë Ñåâ.-Çàï. çàî÷íîãî ïîëèòåõíè÷. èí-òà; ìåòàëëóðãè÷., ëåñîìåõàíè÷. òåõíèêóìû, ìåä. è ìóç. ó÷-ùà. Êðàåâåä÷. ìóçåé ñ õóäîæåñòâ, îòäåëîì, â ê-ðîì ïðåäñòàâëåíû êàðòèíû Â. Â. Âåðåùàãèíà, óðîæåíöà ×.

×. ñîñòîèò èç íåáîëüøîé ñòàðîé ÷àñòè (ãë. óëèöà - Ñîâåòñêàÿ) è íîâîé (êîí. 1950-õ ãã., ëåíèíãð. èí-ò "Ãèïðîìåç"è äð.) ñ ðåãóëÿðíîé ïëàíèðîâêîé (1951-58, àðõ. À. À. Îëü è äð.), ãäå îñí. ìàãèñòðàëè (óë. Ëåíèíà, Ìåòàëëóðãîâ, Ëîìîíîñîâà, Ñòàëåâàðîâ è äð.) èìåþò ïåðèìåòðàëüíóþ çàñòðîéêó êðóïíîáëî÷íûìè è êðóïíîïàíåëüíûìè çäàíèÿìè. Âåä¸òñÿ ìàññîâîå æèë. ñòð-âî, âîçâåä¸í ðÿä êðóïíûõ îáùåñòâ, çäàíèé, â ò. ÷. êèíîòåàòð (1958, àðõ. È. Â. Æîëòîâñêèé è äð.), Äâîðåö ìåòàëëóðãîâ è äð. ×. íàãðàæä¸í îðäåíîì Òðóäîâîãî Êðàñíîãî Çíàìåíè (1977).

Ëèò.: Áëàíê À. Ñ., Êàòàíèêîâ À. Â., ×åðåïîâåö, 3 èçä., Âîëîãäà, 1966; ×åðåïîâåö. [Ôîòîàëüáîì], [Âîëîãäà], 1972; ×åðåïîâåö. [200 ëåò], Âîëîãäà, 1977.

×ÅÐÅÏÎÂÅÖÊÈÉ ÌÅÒÀËËÓÐÃÈ×ÅÑÊÈÉ ÇÀÂÎÄ èì. 50-ëåòèÿ ÑÑÑÐ, îäíî èç êðóïíåéøèõ ïðåäïðèÿòèé ÷¸ðíîé ìåòàëëóðãèè ÑÑÑÐ, ñ ïîëíûì ìåòàëëóðãè÷. öèêëîì. Ðàñïîëîæåí â ã. ×åðåïîâåö Âîëîãîäñêîé îáë., íà òðàññå Âîëãî-Áàëò. âîäíîãî ïóòè èì. Â. È. Ëåíèíà. Ñîñòàâíàÿ ÷àñòü óãîëüíî-ìåòàëëóð-ãè÷. áàçû Ñåâåðî-Çàïàäà ÐÑÔÑÐ; ðàññ÷èòàí íà èñïîëüçîâàíèå æåëåçîðóäíûõ êîíöåíòðàòîâ ñ ìåñòîðîæäåíèé Êîëüñêîãî ï-îâà, êîêñóþùèõñÿ óãëåé Ïå÷îðñêîãî óãîëüíîãî áàññåéíà è ëîìà ÷¸ðíûõ ìåòàëëîâ. Ñòð-âî çàâîäà íà÷àëîñü â 1948. Ïåðâûé ÷óãóí ïîëó÷åí â 1955. Çàâîä ñïåöèàëèçèðîâàí íà âûïóñêå êîêñà, ÷óãóíà, ëèñòîâîãî è ñîðòîâîãî ïðîêàòà èç óãëåðîäèñòûõ è íèçêîëåãèðîâàííûõ ñòàëåé, ãíóòûõ ïðîôèëåé. Îê. 10% ðåàëèçóåìîé ïðîäóêöèè ýêñïîðòèðóåòñÿ â 45 ñòðàí. Âåä¸òñÿ ñòð-âî 2-é î÷åðåäè çàâîäà (ñ 1974), ïðåäóñìàòðèâàþùåå óäâîåíèå åãî ìîùíîñòè.  ñîñòàâ 2-é î÷åðåäè âîéäóò: øèðîêîïîëîñíûé ëèñòîâîé ñòàí 2000 ìîùíîñòüþ 6 ìëí. ò â ãîä (1-ÿ î÷åðåäü ïóùåíà â 1976), êèñëîðîäíûå êîíâåðòåðû ¸ìêîñòüþ 350 ò è äîìåííàÿ ïå÷ü ïîëåçíûì îáú¸ìîì 5580 ì3. Íàãðàæä¸í îðäåíîì Ëåíèíà (1966).

×ÅÐÅÏÎÂÅÖÊÎÅ ÂÎÄÎÕÐÀÍÈËÈÙÅ, Øåêñíèíñêîå âîäîõðàíèëèùå, îáðàçîâàíî ïëîòèíîé ×åðåïîâåöêîãî ãèäðîóçëà íà ð. Øåêñíà íà òåðð. Âîëîãîäñêîé îáë. ÐÑÔÑÐ. Ñîñòîèò èç 2 ó÷àñòêîâ: ðå÷íîé ÷àñòè è Áåëîãî îç. Çàïîëíåíèå ïðîèñõîäèëî â 1963-64. Ïë. 1670 êì2, îáú¸ì 6,5 êì3, äë. 167 êì, íàèáîëüøàÿ øèð. 20 êì, ñð. ãëóá. 4 ì. Óðîâåíü ×. â. êîëåáëåòñÿ â ïðåäåëàõ 1,2 ì, îíî îñóùåñòâëÿåò ñåçîííîå ðåãóëèðîâàíèå ñòîêà. Ñîçäàíî â èíòåðåñàõ âîäíîãî òðàíñïîðòà (ÿâëÿåòñÿ ÷àñòüþ Âîëãî-Áàëòèéñêîãî âîäíîãî ïóòè) è ýíåðãåòèêè. Íà áåðåãó ×. â.- ãã. Áåëîç¸ðñê è Êèðèëëîâ.

×ÅÐÅÑÏÅÐÈÎÄÍÀß ÊÎÌÏÅÍÑÀÖÈß (×ÏÊ), ìåòîä âûäåëåíèÿ îòðàæ¸ííûõ îò öåëè ðàäèîñèãíàëîâ íà ôîíå ïàññèâíûõ ðàäèîëîêàöèîííûõ ïîìåõ, îñíîâàííûé íà èñïîëüçîâàíèè ðàçëè÷èÿ ñêîðîñòåé äâèæåíèÿ öåëè è èñòî÷íèêà ïîìåõ. Ïðèìåíÿåòñÿ â êîãåðåíòíî-èìïóëüñíûõ ðàäèîëîêàöèîííûõ ñòàíöèÿõ (ñì. òàêæå Ðàäèîëîêàöèÿ). Óêàçàííîå ðàçëè÷èå ñêîðîñòåé ïîçâîëÿåò ïðè âîçäåéñòâèè ïîëåçíîãî ñèãíàëà è ïîìåõè íà ñèñòåìó, â ê-ðîé èñïîëüçóåòñÿ ×ÏÊ (ñèñòåìó ×ÏÊ), ñêîìïåíñèðîâàòü èëè çíà÷èòåëüíî óìåíüøèòü ïîìåõó, ñîõðàíèâ ïðè ýòîì íà âûõîäå ïîëåçíûé ñèãíàë. Ñèñòåìû íà îñíîâå ×ÏÊ ñòðîÿòñÿ ñ èñïîëüçîâàíèåì çàïîìèíàþùèõ óñòðîéñòâ (-"ïàìÿòüþ" ñëóæàò óëüòðàçâóêîâûå ëèíèè çàäåðæêè, ïîòåíöèàëîñêîïû èëè ñäâèãàþùèå ðåãèñòðû).  ïðîñòåéøåé ñèñòåìå ñ ïîìîùüþ, íàïð., óëüòðàçâóêîâîé ëèíèè çàäåðæêè è âû÷èòàþùåãî óñòðîéñòâà íà âûõîäå ïîëó÷àþò ðàçíîñòü ñèãíàëîâ, ïðèíÿòûõ â ñîñåäíèõ ïåðèîäàõ ïîâòîðåíèÿ - îñóùåñòâëÿþò èõ ÷åðåñïåðèîäíîå âû÷èòàíèå, ê-ðîå âûïîëíÿþò íà ïðîìåæóòî÷íîé ÷àñòîòå ëèáî íà âèäåî÷àñòîòå.  ïîñëåäíåì ñëó÷àå ïåðåä âû÷èòàíèåì ïðèìåíÿþò ôàçîâîå äåòåêòèðîâàíèå ñèãíàëîâ, ïðè ê-ðîì âåëè÷èíà ñèãíàëà (íà âûõîäå äåòåêòîðà) çàâèñèò îò åãî ôàçû îòíîñèòåëüíî îïîðíûõ êîëåáàíèé; ôàçà ïîñëåäíèõ "ïðèâÿçàíà" ê ôàçå çîíäèðóþùèõ èìïóëüñîâ.

Ñèãíàëû îò öåëè íà âûõîäå âû÷èòàþùåãî óñòðîéñòâà ñèñòåìû ×ÏÊ îòñóòñòâóþò (áóäóò ñêîìïåíñèðîâàíû), åñëè öåëü íåïîäâèæíà (ò. å. ÿâëÿåòñÿ èñòî÷íèêîì ïàññèâíûõ ïîìåõ) èëè åñëè îíà äâèæåòñÿ ñ ò. í. "ñëåïîé" ñêîðîñòüþ (çà ïåðèîä ïîâòîðåíèÿ çîíäèðóþùèõ èìïóëüñîâ óäàëÿåòñÿ îò ðàäèîëîêàö. ñòàíöèè èëè ïðèáëèæàåòñÿ ê íåé íà ðàññòîÿíèå, ðàâíîå öåëîìó ÷èñëó ïîëóâîëí); ñèãíàëû æå îò öåëè, äâèæóùåéñÿ ñî ñêîðîñòüþ, îòëè÷íîé îò "ñëåïîé", íå ñêîìïåíñèðóþòñÿ è áóäóò çàðåãèñòðèðîâàíû. Åñëè äâèæåòñÿ èñòî÷íèê ïîìåõ, êîìïåíñàöèÿ ìåøàþùèõ ñèãíàëîâ ìîæåò áûòü äîñòèãíóòà ââåäåíèåì â ñèñòåìó ×ÏÊ íåîáõîäèìûõ äîïîëíèò. ôàçîâûõ ñäâèãîâ. Ê ôàêòîðàì, ñíèæàþùèì ýôôåêòèâíîñòü ×ÏÊ íà âèäåî÷àñòîòå, êðîìå ÿâëåíèÿ "ñëåïûõ" ñêîðîñòåé, îòíîñèòñÿ íåæåëàòåëüíàÿ àìïëèòóäíàÿ ìîäóëÿöèÿ èìïóëüñîâ íà âûõîäå ñèñòåìû (÷àñòîòà ìîäóëÿöèè ðàâíà ÷àñòîòå Äîïëåðà, åñëè ïîñëåäíÿÿ ìåíüøå ïîëîâèíû ÷àñòîòû ïîâòîðåíèÿ çîíäèðóþùèõ èìïóëüñîâ). Ýòó ìîäóëÿöèþ óñòðàíÿþò ñ ïîìîùüþ 2 "êâàäðàòóðíûõ" êàíàëîâ ñ îïîðíûìè êîëåáàíèÿìè, ðàçëè÷àþùèìèñÿ ïî ôàçå íà ÿ/2. Ñ ÿâëåíèåì "ñëåïûõ ñêîðîñòåé" áîðþòñÿ, ïðèìåíÿÿ èçìåíÿþùèéñÿ ïåðèîä ïîâòîðåíèÿ çîíäèðóþùèõ èìïóëüñîâ (âîáóëÿöèþ ÷àñòîòû ïîâòîðåíèÿ).

Ýôôåêòèâíîñòü ×ÏÊ, îöåíèâàåìàÿ óâåëè÷åíèåì îòíîøåíèÿ ñèãíàë/ïîìåõà, çàâèñèò îò ñêîðîñòè öåëè è îò ñïåêòðà ïîìåõè. Îíà ìîæåò áûòü óâåëè÷åíà (ïðè óçêèõ ñïåêòðàõ ïîìåõè) ïîñðåäñòâîì èñïîëüçîâàíèÿ íåñê. ñòóïåíåé êîìïåíñàöèè. Åù¸ áîëåå âûñîêóþ ýôôåêòèâíîñòü îáåñïå÷èâàþò ñèñòåìû, ñî÷åòàþùèå ìíîãîêðàòíîå âû÷èòàíèå è âåñîâóþ îáðàáîòêó ñèãíàëîâ.

Ëèò. ñì. ïðè ñò. Ðàäèîëîêàöèÿ.

Ë. H. Êèñëÿêîâ.

×ÅÐÅÑÑÒÐÎ×ÍÀß ÐÀǨÐÒÊÀ, ñïîñîá ðåàëèçàöèè òåëåâèçèîííîé ðàçâ¸ðòêè, ïðè ê-ðîì îäíîêðàòíàÿ ðàçâ¸ðòêà ïåðåäàâàåìîãî èçîáðàæåíèÿ íà ìèøåíè ïåðåäàþùåé òåëåâèç. òðóáêè è ïîëó÷åíèå òåëåâèç. êàäðà íà ýêðàíå êèíåñêîïà îñóùåñòâëÿþòñÿ â âèäå äâóõ ïîëóêàäðîâ (ïîëåé) òàê, ÷òî â ïåðâîì ïîëå ðàçâ¸ðòûâàþòñÿ è âîñïðîèçâîäÿòñÿ íå÷¸òíûå ñòðîêè, âî âòîðîì - ÷¸òíûå ñòðîêè, ðàñïîëàãàþùèåñÿ â ïðîìåæóòêàõ ìåæäó ñòðîêàìè ïåðâîãî ïîëÿ. Ïîñëå îêîí÷àíèÿ ðàçâ¸ðòêè âòîðîãî ïîëÿ ëó÷ âîçâðàùàåòñÿ â òî÷êó, ñîîòâåòñòâóþùóþ íà÷àëó ðàçâ¸ðòêè ïåðâîãî ïîëÿ, è ò. ä. Ïðèìåíåíèå ×. ð. âîçìîæíî â òåëåâèç. ñèñòåìàõ ñ íå÷¸òíûì ÷èñëîì ñòðîê ðàçëîæåíèÿ ã, ò. ê. òîëüêî â ýòîì ñëó÷àå â êàæäîì ïîëå ïîëó÷àåòñÿ íåöåëîå ÷èñëî ñòðîê ã/2, â ðåçóëüòàòå ÷åãî íà÷àëà ðàçâ¸ðòîê ïåðâîãî è âòîðîãî ïîëåé (è, ñëåäîâàòåëüíî, òåëåâèçèîííûå ðàñòðû ýòèõ ïîëåé) îêàçûâàþòñÿ ñìåù¸ííûìè ïî âåðòèêàëè íà ïîëîâèíó ñìåùåíèÿ ñîñåäíèõ ñòðîê â ïîëå. ×. ð. ïîçâîëÿåò âäâîå óìåíüøèòü ÷àñòîòó êàäðîâ, òðåáóåìóþ â ñëó÷àå ïðèìåíåíèÿ ñòðî÷íîé ðàçâ¸ðòêè (ò. ê. ïðè íåé ÷àñòîòà ìåëüêàíèé èçîáðàæåíèé íà ýêðàíå ðàâíà ÷àñòîòå ïîëåé), è òåì ñàìûì ñíèçèòü âäâîå âåðõíþþ ãðàíè÷íóþ ÷àñòîòó ñïåêòðà òåëåâèçèîííîãî ñèãíàëà.

Ëèò. ñì. ïðè ñò. Òåëåâèäåíèå.

H. Ã. Äåðþãèí.

×ÅШÕÀ, ðåêà â Ïñêîâñêîé îáë. ÐÑÔÑÐ, ïðàâ, ïðèòîê ð. Âåëèêàÿ. Äë. 145 êì, ïë. áàñå. 3230 êì2. Òå÷¸ò ïî çàáîëî÷. íèçèíå. Ïèòàíèå ñìåøàííîå, ñ ïðåîáëàäàíèåì ñíåãîâîãî. Ïîëîâîäüå ñ êîíöà ìàðòà ïî íà÷àëî ìàÿ. Cp. ðàñõîä âîäû â 14 êì îò óñòüÿ 16,3 ì3 /ñåê. Çàìåðçàåò âî âòîðîé ïîëîâèíå íîÿáðÿ - äåêàáðå, âñêðûâàåòñÿ â êîíöå ìàðòà - àïðåëå.

×ÅÐÅØÍß, âèøíÿ ïòè÷üÿ (Cerasus avium), ëèñòîïàäíîå äåðåâî ðîäà âèøíÿ ñåì. ðîçîöâåòíûõ. Êðîíà ÿéöåâèäíàÿ ñ ðåäêèìè âåòâÿìè. Ñòâîë äèàì. 50- 60 ñì, âûå. äî 35 ì. Ëèñòüÿ ÿéöåâèäíûå, îáðàòíîÿéöåâèäíûå èëè ýëëèïòè÷åñêèå, ïî êðàþ ãëóáîêîäâîÿêîïèëü÷àòûå, ñ äëèííûì ÷åðåøêîì.

×åðåøíÿ: / - âåòêà ñ öâåòêàìè; 2 - âåòêà ñ ëèñòüÿìè; 3 - ïëîäû.

Öâåòêè êðóïíûå, ëåïåñòêè áåëûå, ïðè îòöâåòàíèè ðîçîâåþò, ÷àøåëèñòèêè êðàñíîâàòûå. Ïëîä - ò¸ìíîêðàñíàÿ êîñòÿíêà. Ðàñïðîñòðàíåíà â Cp. è Þæ. Åâðîïå, Èðàíå; â ÑÑÑÐ - íà Êàâêàçå, â Êðûìó, â þãî-çàï. ð-íàõ Óêðàèíû, â Ìîëäàâèè. Îäèíî÷íûå äåðåâüÿ â îñíîâíîì â ñìåøàííûõ øèðîêîëèñòâåííûõ è õâîéíî-øèðîêîëèñòâåííûõ ëåñàõ. Êóëüòóðíàÿ ôîðìà ×.- ïëîäîâûå êîñòî÷êîâûå ðàñòåíèÿ (ðèñ.). Äîëãîâå÷íû - 100 è áîëåå ëåò, òåíåâûíîñëèâûå, íî ñëàáîçèìîñòîéêèå. Ïëîäîíîñÿò íà 7-8-é ãîä. Ïëîäû ñî÷íûå, ðîçîâûå, êðàñíûå, æ¸ëòûå èëè ïî÷òè ÷¸ðíûå, ñîçðåâàþò ñ êîí. ìàÿ - äî 1-é ïîëîâèíû ñåíòÿáðÿ. Ñîäåðæàò 7-15% Ñàõàðîâ (ãëþêîçà, ôðóêòîçà, ñàõàðîçà), 0,36-1,1% K-T (ÿáëî÷íàÿ è äð.), âèòàìèí Ñ. Èñïîëüçóþò â ñâåæåì âèäå, äëÿ ïðèãîòîâëåíèÿ êîìïîòîâ, âàðåíüÿ, öóêàòîâ, ñîêà, âèíà, äëÿ çàìîðàæèâàíèÿ.  ÿäðå êîñòî÷åê äî 30% ìàñëà, ïðèìåíÿåìîãî â ïàðôþìåðíîé ïðîì-ñòè.

Ìåäîíîñ. Äðåâåñèíó ïðèìåíÿþò â ñòîëÿðíîì äåëå, äëÿ èçãîòîâëåíèÿ ìóç. èíñòðóìåíòîâ.

Âîçäåëûâàþò ×. â åâðîï. ñòðàíàõ, Òóðöèè, Èðàíå, Àôãàíèñòàíå, Êèòàå, ßïîíèè è äð.  ÑÑÑÐ íàèáîëüøèå ïëîùàäè â Êðûìó, íà Êàâêàçå, íà Þ. Óêðàèíû, â Cp. Àçèè; âûðàùèâàþò òàêæå â Ëàòâèè, Êàëèíèíãðàäñêîé îáë. Ëó÷øèå ñîðòà: Äàéáåðà ÷¸ðíàÿ, Äðîãàíà æ¸ëòàÿ, Ãåäåëüôèíãåð, Ôðàíö Èîñèô (Ôðàíöèñ), Íàïîëåîí ðîçîâûé, Ðàííÿÿ Êàññèíà è äð.

×. ðàçìíîæàþò ãë. îáð. ïðèâèâêîé íà ïîäâîÿõ äèêîé ×. (â þæ. çîíå) è ìàãàëåáñêîé âèøíè (â áîëåå ñåâ. ð-íàõ). Ïëîùàäü ïèòàíèÿ äåðåâüåâ ×. 8 X 6 ë. Ëó÷øàÿ ôîðìà êðîíû êóëüòóðíûõ äåðåâüåâ - ÿðóñíàÿ. Óõîä: ðûõëåíèå ïî÷âû, ïîäêîðìêà îðãàíè÷. è ìèíåðàëüíûìè óäîáðåíèÿìè, ïîëèâû, îáðåçêà (ñì. Îáðåçêà ïëîäîâûõ è ÿãîäíûõ ðàñòåíèé). Ïî÷âó â ìåæäóðÿäüÿõ îáû÷íî ñîäåðæàò ïîä ÷¸ðíûì ïàðîì.

Ëèò.: Êîëåñíèêîâ M. À., ×åðåøíÿ, M., 1959; Ïëîäîâîäñòâî, 2 èçä., ïîä ðåä. Â. À. Êîëåñíèêîâà, M., 1966.

×ÅÐÈÁÎÍ (Tjeribon), × è ð å á î í, ãîðîä è ïîðò â Èíäîíåçèè, íà ñåâ. ïîáåðåæüå î. ßâà. 179 òûñ. æèò. (1971). Çíà÷èòåëüíûé òðàíñï. óçåë. Òàáà÷íàÿ, òåêñòèëüíàÿ, êîæåâåííàÿ ïðîì-ñòü, ïðîèçâîäñòâî ñòðîéìàòåðèàëîâ, îáîãàùåíèå ôîñôîðèòîâ.

×ÅÐÈÊÎÂ, ãîðîä, öåíòð ×åðèêîâñêîãî ð-íà Ìîãèë¸âñêîé îáë. ÁÑÑÐ. Ðàñïîëîæåí íà ð. Ñîæ, â 32 êì îò æåëåçíîäîðîæíîãî óçëà Êðè÷åâ (ëèíèè íà Ìîãèë¸â, Îðøó, Âîðîæáó, Ðîñëàâëü). Êîíñåðâíî-êðàõìàëüíûé êîìáèíàò, ôèëèàë ×àóññêîãî ìàñëîñûðçàâîäà, êèðïè÷íûé çàâîä.

×ÅÐÈÍÜÊÎ Èâàí Èâàíîâè÷ [22.7(4.8). 1908, ñ. Äåíüãè, íûíå Çîëîòîíîøñêîãî ð-íà ×åðêàññêîé îáë.,-6.10.1948, Àøõàáàä], ñîâåòñêèé æèâîïèñåö, çàñë. äåÿò. èñê-â Òóðêì. CCP (1945). Ó÷èëñÿ â Êèåâñêîì õóäîæåñòâ, èí-òå (1926-31) ó Á. Ô. Óèöà, M. Ä. Áåðíøòåéíà. Ïðåä, ïðàâëåíèÿ Ñîþçà õóäîæíèêîâ Òóðêìåíèñòàíà (1938, 1945-48). Ïðåïîäàâàë â Òóðêì. õóäîæåñòâ, ó÷-ùå èì. Ø. Ðóñòàâåëè (1933-36; 1938-40). Ñûãðàë âàæíóþ ðîëü â ïîäãîòîâêå ïðîô. òóðêì. õóäîæíèêîâ è óêðåïëåíèè ìåòîäà ñîöèàëèñòè÷. ðåàëèçìà â èñê-âå Ñîâ. Òóðêìåíèñòàíà. Àâòîð òåìàòè÷. êàðòèí, ïîðòðåòîâ, ïåéçàæåé, ïîñâ, ñîöèàëüíûì ïðåîáðàçîâàíèÿì â Ñîâ. Òóðêìåíèè: "Êóçíèöà" (1928), "Áàé, Âëàñòü èìóùåãî" (1940), "Äæèãèòû" (1944-46), "Âåñíà â Áàãèðå" (1947), âñå â Ìóçåå èçîáðàçèò, èñê-â Òóðêì. CCP, Àøõàáàä.

×ÅÐÊÀÑΠÍèêîëàé Êîíñòàíòèíîâè÷ [14(27).7.1903, Ïåòåðáóðã,-14.9.1966, Ëåíèíãðàä], ðóññêèé ñîâåòñêèé àêò¸ð, íàð. àðò. ÑÑÑÐ (1947). ×ë. ÊÏÑÑ ñ 1940.  1923-26 ó÷èëñÿ â Ëåíèíãð. èí-òå ñöåíè÷. èñê-â, çàòåì ðàáîòàë â Ëåíèíãð. ÒÞÇå, ñ 1933 â Ëåíèíãð. òåàòðå äðàìû èì. Ïóøêèíà. Âûñòóïàë íà ýñòðàäå (òðèî - "Ïàò, Ïàòàøîí è ×àðëè ×àïëèí"). Àêò¸ð íåîáû÷àéíî øèðîêîãî òâîð÷. äèàïàçîíà, õóäîæíèê âûñîêîãî ñîöèàëüíîãî îïòèìèçìà, ãëóáîêîé êîììóíèñòè÷. ïàðòèéíîñòè. Ñîçäàë ðÿä õóäîæåñòâ. ïîðòðåòîâ âûäàþùèõñÿ èñòîðè÷. äåÿòåëåé.

Í.Ê. ×åðêàñîâ.

Øèðîêóþ èçâåñòíîñòü ïîëó÷èë ïîñëå èñïîëíåíèÿ ðîëè ïðîôåññîðà Ïîëåæàåâà â ôèëüìå "Äåïóòàò Áàëòèêè" (1937), ñòàâøåì ýòàïíûì â ðàçâèòèè ñîâ. êèíî.  äàëüíåéøåì ñûãðàë â òåàòðå ðîëè: Ïåòðà I ("ϸòð Ïåðâûé" A. H. Òîëñòîãî), M. Ãîðüêîãî ("Ãðîçîâîé ãîä" Êàïëåðà è Çëàòîãîðîâîé), Èâàíà Ãðîçíîãî ("Âåëèêèé ãîñóäàðü" Ñîëîâü¸âà), È. Â. Ìè÷óðèíà ("Æèçíü â öâåòó" Äîâæåíêî), Â. Â. Ìàÿêîâñêîãî ("Îíè çíàëè Ìàÿêîâñêîãî" Êàòàíÿíà) è äð. Âûäàþùååñÿ ìåñòî â èñòîðèè êèíî çàíÿëè òàêæå îáðàçû öàðåâè÷à Àëåêñåÿ â ôèëüìå "ϸòð Ïåðâûé" (1937-1939), Àëåêñàíäðà Íåâñêîãî("Àëåêñàíäð Íåâñêèé", 1938), Èâàíà Ãðîçíîãî ("Èâàí Ãðîçíûé", 1945,1958). Àêò¸ðó áûëà ïðèñóùà è ÿðêàÿ êîìåäèéíîñòü, ïîðîé ãðîòåñê - â 1929 îí âûñòóïàë â Ìîñê. è Ëåíèíãð. ìþçèê-õîëëàõ, çàòåì â Ëåíèíãð. òåàòðå "Êîìåäèÿ". Îí ñîçäàë òðè ðàçíûå àêò¸ðñêèå ðåäàêöèè ðîëè Äîí Êèõîòà - â îäíîèì. ñïåêòàêëÿõ è (â 1957) ôèëüìå ïî Ñåðâàíòåñó.  êèíî áîëüøîé óñïåõ ïðèíåñëà àêò¸ðó ðîëü Ïàãàíåëÿ ("Äåòè êàïèòàíà Ãðàíòà", 1936). Ðîëü Äðîíîâà â ôèëüìå (1963) è ñïåêòàêëå "Âñ¸ îñòà¸òñÿ ëþäÿì" Àë¸øèíà

×åðêàñîâ â ðîëÿõ ïðîôåññîðà Ïîëåæàåâà (ôèëüì "Äåïóòàò Áàëòèêè", 1937, ðåæ. À. Ã. Çàðõè è È. Å. Õåéôèö) è àêàäåìèêà Äðîíîâà ("Âñ¸ îñòà¸òñÿ ëþäÿì" Ñ. È. Àë¸øèíà, Ëåíèíãðàäñêèé òåàòð äðàìû èì. Ïóøêèíà, 1959).

áûëà îäíîé èç âûäàþùèõñÿ ðàáîò àêò¸ðà, òàê æå êàê ðîëü ãåíåðàëà Õëóäîâà â ïüåñå Áóëãàêîâà "Áåã". ×. áûë ÷ëåíîì Ñîâåòñêîãî êîìèòåòà çàùèòû ìèðà. Àâòîð êíèã - " Èíäèè" (1952), "Çàïèñêè ñîâåòñêîãî àêò¸ðà" (1953), "×åòâ¸ðòûé Äîí Êèõîò" (1958), " òåàòðå è â êèíî" (1961). Äåï. Âåðõ. Ñîâåòà ÐÑÔÑÐ 1-ãî è 2-ãî ñîçûâîâ, äåï. Âåðõ. Ñîâåòà ÑÑÑÐ 3-ãî è 4-ãî ñîçûâîâ. Ëåíèíñêàÿ ïð. (1964), Ãîñ. ïð. ÑÑÑÐ (1941, 1946, 1950, 1951 - äâàæäû). Íàãðàæä¸í 2 îðäåíàìè Ëåíèíà, 3 äð. îðäåíàìè, à òàêæå ìåäàëÿìè.

Ëèò.: Äðåéäåí Ñ., Íèêîëàé ×åðêàñîâ, 2 èçä., M., 1939; Á å í ü ÿ ø Ð., Íèêîëàé Êîíñòàíòèíîâè÷ ×åðêàñîâ, M., 1952; Á å è ë è í À., Íèêîëàé ×åðêàñîâ, M., 1963; Çóáêîâ Þ., Òâîð÷åñòâî H. Ê. ×åðêàñîâà, M., 1964; Ãåðàñèìîâ Þ. Ê., Ñêâåð÷èí ñ ê à ÿ Æ. Ã., ×åðêàñîâ, M., 1976.

Þ. À. Çóáêîâ.

×ÅÐÊÀÑÑÊÀß ÎÁËÀÑÒÜ, â ñîñòàâå ÓÑÑÐ. Îáðàçîâàíà 7 ÿíâ. 1954. Ïë. 20,9 òûñ. êì2. Íàñ. 1552 òûñ. ÷åë. (íà 1 ÿíâ. 1977). Ðàçäåëåíà íà 20 ðàéîíîâ, èìååò 15 ãîðîäîâ è 19 ïîñ¸ëêîâ ãîð. òèïà. Öåíòð - ã. ×åðêàññû. ×. î. íàãðàæäåíà îðäåíîì Ëåíèíà (26 ôåâð. 1958). (Êàðòó ñì. íà âêëåéêå ê ñòð. 80.)

Ïðèðîäà. ×. î. ðàñïîëîæåíà ïî îáîèì áåðåãàì ñð. òå÷åíèÿ Äíåïðà. Áîëüøàÿ, ïðàâîáåðåæíàÿ ÷àñòü íàõîäèòñÿ â ïðåäåëàõ Ïðèäíåïðîâñêîé âîçâ. (âûñ. äî 270 ì); âäîëü äîëèíû Äíåïðà - Êàíåâñêèå ãîðû è Ìîøíîãîðñêèé êðÿæ, ïîäíèìàþùèéñÿ íàä óðîâíåì Äíåïðà äî 160-180 ì. Ìåíüøàÿ, ëåâîáåðåæíàÿ ÷àñòü - íà Ïðèäíåïðîâñêîé íèçì. (âûå. íå áîëåå 150 ì). Êëèìàò óìåðåííî êîíòèíåíòàëüíûé, ñ ìÿãêîé çèìîé è ò¸ïëûì ëåòîì. Cp. òåìï-pa ÿíâ. -5,9 0Ñ, èþëÿ 19,5 0C. Îñàäêîâ 450- 520 ìì â ãîä. Ïðîäîëæèòåëüíîñòü âåãåòàö. ïåðèîäà îê. 210 ñóò. Ðåêè ïðèíàäëåæàò áàññ. Äíåïðà è Þæ. Áóãà. Ãë. ðåêà - Äíåïð (â ïðåäåëàõ îáëàñòè äëèíà 150 êì), âîäíîå çåðêàëî ê-ðîãî â ñâÿçè ñ ñîçäàíèåì Êðåìåí÷óãñêîãî è Êàíåâñêîãî âîäîõðàíèëèù çíà÷èòåëüíî óâåëè÷èëîñü; ïðàâ. ïðèòîêè Äíåïðà - Ðîñü, Îëüøàíêà, Òÿñìèí, ëåâûå - Ñóïîé, Ñóëà. Ê áàññ. Þæ. Áóãà îòíîñÿòñÿ ðåêè Ãîðíûé Òèêè÷, Ãíèëîé Òèêè÷ è äð.  ïî÷âåííîì ïîêðîâå íà ïðàâîáåðåæüå ïðåîáëàäàþò ÷åðíîç¸ìû îïîäçîëåííûå è ñðåäíåãóìóñíûå, íà âîçâûøåííûõ ìåñòàõ - ñåðûå è ñâåòëî-ñåðûå îïîäçîëåííûå ïî÷âû. Íà ëåâîáåðåæüå ðàñïðîñòðàíåíû äåðíîâî-ãëååâûå, ìîùíûå ëóãîâûå è äåðíîâî-ïîäçîëèñòûå ïî÷âû. Ëåñíàÿ ðàñòèòåëüíîñòü çàíèìàåò îê. 1/6 òåðð. îáëàñòè; ïðåèì. äóáðàâû, âáëèçè ×åðêàññ ìàññèâ ñîñíû (ò. í. "×åðêàññêèé áîð"). Ñòåïíàÿ ðàñòèòåëüíîñòü ñîõðàíèëàñü íà îïóøêàõ ëåñîâ è ñêëîíàõ áàëîê.  ëåñàõ âîäÿòñÿ: ëîñü, îëåíü, êîñóëÿ, äèêèé êàáàí, áåëêà, âîëê, ëèñèöà, çàÿö, êóíèöà; ïî áåðåãàì ðåê, îç¸ð è ïðóäîâ - áîáð, âûäðà, äèêèå óòêè, êóëèêè.  âîäî¸ìàõ - ëåù, îêóíü, ùóêà, ñóäàê, êàðï.

Íàñåëåíèå.  1970 óêðàèíöû ñîñòàâëÿëè 92,8% íàñåëåíèÿ, ðóññêèå îê. 6%, åâðåè 0,7%. Cp. ïëîòíîñòü - 74,3 ÷åë. íà 1 êì2 (1977); âîêðóã ãîðîäîâ è ó Äíåïðà - äî 100 ÷åë. íà 1 êì2. Ãîð. íàñåëåíèÿ - 44% (1977). Âàæíåéøèå ãîðîäà: ×åðêàññû, Óìàíü, Ñìåëà, Çâåíèãîðîäêà, Çîëîòîíîøà, Êàíåâ, Øïîëà.

Õîçÿéñòâî. Îñíîâó ýëåêòðîýíåðãåòè÷. õ-âà ñîñòàâëÿåò ×åðêàññêàÿ ÒÝÖ; â 1972 âñòóïèëà â ñòðîé Êàíåâñêàÿ ÃÝÑ.  Çâåíèãîðîäñêîì ð-íå äîáûâàåòñÿ áóðûé óãîëü, â ×åðêàññêîì - òîðô. Îáëàñòü ñíàáæàåòñÿ ïðèðîäíûì ãàçîì èç Øåáåëèíêè, ÷åðåç å¸ òåðð. ïðîõîäèò ãàçîïðîâîä Îðåíáóðã - Çàï. ãðàíèöà ÑÑÑÐ, ñîîðóæàåìûé (1978) ñòðàíàìè- ÷ëåíàìè ÑÝÂ. Âåäóùåå ìåñòî ïî îáúåìó âàëîâîé ïðîäóêöèè ïðèíàäëåæèò ïèù. ïðîì-ñòè. Ñàõ. çàâîäû ðàñïîëîæåíû ãë. îáð. â ïðàâîáåðåæíîé ÷àñòè ×. î.  1976 ïðîèçâåäåíî 524 òûñ. ò ñàõàðà-ïåñêà è 254 òûñ. ò ñàõàðà-ðàôèíàäà. Îáùåñîþçíîå çíà÷åíèå èìåþò êîíñåðâíûé êîìáèíàò (ìîùíîñòüþ ñâûøå 100 ìëí. óñëîâíûõ áàíîê â ãîä) è òàáà÷íàÿ ôàáðèêà â ×åðêàññàõ. Ðàçâèòû òàêæå ìÿñíàÿ (×åðêàññû, Óìàíü, Âàòóòèíî), ìîëî÷íàÿ, ñïèðòî âîäî÷íàÿ, ìóêîìîëüíàÿ, ïèâîâàðåííàÿ è äð. îòðàñëè. Ìàøèíîñòðîèòåëüíûå ç-äû - â ×åðêàññàõ, Ñìåëå, Óìàíè, Êàìåíêå, Ìîíàñòûðèùå, ñòàíêîñòðîèòåëüíûé - â Êîðñóíü-Øåâ÷åíêîâñêîì, ýëåêòðîìåõàíè÷åñêèé - â Ñìåëå, ïðèáîðîñòðîåíèå - â Óìàíè è äð. Âûïóñê õèìè÷åñêîé ïðîäóêöèè çà ãîäû 9-é ïÿòèëåòêè (1971-75) âîçðîñ â 2,5 ðàçà.  ×åðêàññàõ ïîñòðîåíû êðóïíûé çàâîä õèìè÷åñêèõ âîëîêîí è íèòåé è õèìêîìáèíàò; ðàñøèðÿåòñÿ çàâîä õèìè÷åñêèõ ðåàêòèâîâ. ˸ãêàÿ ïðîìûøëåííîñòü ïðåäñòàâëåíà êîìáèíàòîì ø¸ëêîâûõ òêàíåé, øâåéíûì ïðîèçâîäñòâ, îáúåäèíåíèåì, ô-êàìè ãèãðîñêîïè÷. âàòû, òðèêîò., õóäîæåñòâ. èçäåëèé è âàëÿëüíî-âîéëî÷íîé (×åðêàññû), ïåíüêîçàâîäàìè (Çîëîòîíîøà, Èðêëèåâ), õë.-áóì. ô-êîé (Ñòåáëåâ); äåðåâîîáð. ïðîì-ñòü - ïðîèçâîäñòâ, îáúåäèíåíèåì "×åðêàññûìåáåëü" è äð. Áûñòðûìè òåìïàìè ðàçâèâàåòñÿ ñòðîèò. èíäóñòðèÿ. Èìåþòñÿ äîìîñòðîèò. êîìáèíàò, ç-äû ñèëèêàòíîãî êèðïè÷à, ñòðîèò. ìàøèí è ìåõàíèçìîâ â ×åðêàññàõ, êèðïè÷íûå ç-äû â Çîëîòîíîøñêîì, Óìàíñêîì, Ãîðîäèùåíñêîì, Æàøêîâñêîì è äð. ð-íàõ; ãðàíèòíûå êàðüåðû â Óìàíñêîì, Çâåíèãîðîäñêîì è Ãîðîäèùåíñêîì ð-íàõ. Íà áàçå Íîâîñåëèöêèõ çàëåæåé îãíåóïîðíûõ ãëèí ïîñòðîåí øàìîòíûé çàâîä, çàâåðøàåòñÿ ñòðîèòåëüñòâî (1978) êîìáèíàòà áåíòîíèòîâûõ ãëèí â Ëûñÿíñêîì ð-íå.

Ñ. õ-âî ñïåöèàëèçèðóåòñÿ íà ñâåêëîâè÷íî-çåðíîâîì õ-âå (ñ îâîùåâîäñòâîì è ñàäîâîäñòâîì), à òàêæå íà ìÿñî-ìîëî÷íîì æèâîòíîâîäñòâå.

×åðêàññêàÿ îáëàñòü. 1. Äíåïð â ðàéîíå ã. ×åðêàññû. 2. Ïàðê "Ñîôèåâêà" â ã. Óìàíü. 3. ×åðêàññêîå ïðîèçâîäñòâåííîå îáúåäèíåíèå "Àçîò". 4. Òåêñòèëüíûé öåõ ×åðêàññêîãî çàâîäà õèìè÷åñêèõ âîëîêîí è íèòåé. 5. Ïàëüìèðñêèé ñàõàðíûé çàâîä. Çîëîòîíîøñêèé ðàéîí. 6. Óáîðêà çåðíîâûõ â êîëõîçå èì. Øåâ÷åíêî. Äðàáîâñêèé ðàéîí.

 1976 áûëî 389 êîëõîçîâ è 58 ñîâõîçîâ. Ñ.-õ. óãîäüÿ çàíèìàþò (1976) 70% òåðð. îáëàñòè, èç íèõ ïàøíÿ - 91%, ïàñòáèùà è ñåíîêîñû - 7%. Âñÿ ïîñåâíàÿ ïëîùàäü â 1976 ñîñòàâèëà 1320,7 òûñ. ãà, â ò. ÷. ïîä çåðíîâûìè (îçèìàÿ ïøåíèöà, ÿðîâîé ÿ÷ìåíü, ãîðîõ, êóêóðóçà, ïðîñî è äð.) - 609 òûñ. ãà, òåõíè÷åñêèìè (ñàõ. ñâ¸êëà è äð.) - 201,7 òûñ. ãà, ïîä êàðòîôåëåì - 74,2 òûñ. ãà, îâîùíûìè êóëüòóðàìè - 21,8 òûñ. ãà è êîðìîâûìè êóëüòóðàìè - 410 òûñ. ãà. Ïëîùàäü ïëîäîâî-ÿãîäíûõ íàñàæäåíèé 48 òûñ. ãà. 34 òûñ. ãà çàíèìàþò îñóøåííûå ñ.-õ. óãîäüÿ.

 1976 íàñ÷èòûâàëîñü (òûñ. ãîëîâ): êð. ðîã. ñêîòà 887 (â ò. ÷. êîðîâ 320,8), ñâèíåé 936,4, îâåö è êîç 280,9. Ïòèöåâîäñòâî.  ð-íå Ìîøåí ñîçäàíî çâåðîõîçÿéñòâî (ðàçâåäåíèå íîðîê).

Äë. æåë. äîðîã (áåç ïîäúåçäíûõ ïóòåé) 605 êì. Âàæíåéøèå ìàãèñòðàëè: Êèåâ - Äíåïðîïåòðîâñê, Ìîñêâà - Îäåññà, Äîíåöê - Ëüâîâ. Îñí. æ.-ä. óçëû - èì. T. Ã. Øåâ÷åíêî è Õðèñòèíîâêà. Ïðîòÿæ¸ííîñòü àâòîìîá. äîðîã 6,5 òûñ. êì, â ò. ÷. ñ òâ¸ðäûì ïîêðûòèåì 4,7 òûñ. êì; îñí. àâòîìàãèñòðàëè: Êèåâ - Äíåïðîïåòðîâñê, Êèåâ - Îäåññà. Ñóäîõîäñòâî ïî Äíåïðó. ×åðêàññû èìåþò âîçä. ñîîáùåíèå ñ Êèåâîì, îáë. öåíòðàìè è ìíîãèìè ãîðîäàìè ÓÑÑÐ. Ýêîíîìè÷åñêóþ êàðòó ×. î. ñì. â ñò. Óêðàèíñêàÿ Ñîâåòñêàÿ Ñîöèàëèñòè÷åñêàÿ Ðåñïóáëèêà.

Êóëüòóðíîå ñòðîèòåëüñòâî è çäðàâîîõðàíåíèå.  1976/77 ó÷. ã. â 785 îáùåîáðàçîâàò. øêîëàõ âñåõ âèäîâ îáó÷àëîñü 241,7 òûñ. ó÷-ñÿ, â 25 ïðîô.-òåõíè÷. ó÷. çàâåäåíèÿõ - 12,8 òûñ. ó÷-ñÿ, â 20 ñð. ñïåö. ó÷. çàâåäåíèÿõ - 18,1 òûñ. ó÷-ñÿ, â 3 âóçàõ (ïåä. èí-òå â ×åðêàññàõ, ïåä. è ñ.-õ. èí-òàõ â Óìàíè) è íà îáùåòåõíè÷. ô-òå Êèåâñêîãî èíæ.-ñòðîèò, èí-òà â ×åðêàññàõ - 8,5 òûñ. ñòóäåíòîâ.  1976 â 821 äîøêîëüíîì ó÷ðåæäåíèè âîñïèòûâàëîñü îê. 71,7 òûñ. äåòåé.

 1976 â ×. î. ðàáîòàëè: 1045 ìàññîâûõ á-ê (ñâ. 13,6 òûñ. ýêç. êíèã è æóðíàëîâ), 7 ìóçååâ (êðàåâåä÷åñêèå ìóçåè â ×åðêàññàõ è Óìàíè, Ëèò.-ìåìîðèàëüíûé ìóçåé À. Ñ. Ïóøêèíà è Ï. È. ×àéêîâñêîãî â ã. Êàìåíêà, ê-ðûé îíè ïîñåùàëè, Ìóçåé èñòîðèè Êîðñóíü-Øåâ÷åíêîâñêîé áèòâû â Êîðñóíü-Øåâ÷åíêîâñêîì, Ìóçåé-çàïîâåäíèê "Ìîãèëà T. Ã. Øåâ÷åíêî" â Êàíåâå, Ëèò.-ìåìîðèàëüíûé ìóçåé T. Ã. Øåâ÷åíêî â ñ. Øåâ÷åíêîâî, Ëèò.-ìåìîðèàëüíûé äîì-ìóçåé È. Ñ. Íå÷óÿ-Ëåâèöêîãî â ñ. Ñòåáëåâå - íà ðîäèíå ïèñàòåëÿ); 2 òåàòðà (ìóçûêàëüíî-äðàìàòè÷åñêèé è êóêîëüíûé â ×åðêàññàõ); 948 êëóáíûõ ó÷ðåæäåíèé, 961 ñòàöèîíàðíàÿ êèíîóñòàíîâêà, 24 âíåøêîëüíûõ ó÷ðåæäåíèÿ.

Âûõîäÿò îáë. ãàçåòû "×åðêàñüêà ïðàâäà" ("×åðêàññêàÿ ïðàâäà", ñ 1918, íà óêð. ÿç.) è êîìñîìîëüñêàÿ "Ìîëîäü ×åðêàùèíè" ("Ìîëî䏿ü ×åðêàñùèíû", ñ 1960, íà óêð. ÿç.). Çâó÷àò 2 ïðîãðàììû Âñåñîþçíîãî ðàäèî (44 ÷ â ñóòêè), Èíôîðìàöèîííàÿ ðåñïóáëèêàíñêàÿ (19 ÷ â ñóòêè), îáúåäèí¸ííàÿ ñîþçíî-ðåñïóáëèêàíñêàÿ (19 ÷ â ñóòêè) è ìåñòíàÿ (1,1 ÷ â ñóòêè) ïðîãðàììû íà ðóñ. è óêð. ÿç. Òðàíñëèðóþòñÿ ïðîãðàììû Öåíòðàëüíîãî (13 ÷ â ñóòêè) è ðåñïóáëèêàíñêîãî (íà ðóñ. è óêð. ÿç.) òåëåâèäåíèÿ (11,2 ÷ â ñóòêè).

Ê 1 ÿíâ. 1977 áûëî 162 áîëüíè÷íûõ ó÷ðåæäåíèÿ íà 18,0 òûñ. êîåê (11,6 êîéêè íà 1 òûñ. æèò.); ðàáîòàëè 3,8 òûñ. âðà÷åé (1 âðà÷ íà 409 æèò.). Êëèìàòè÷. êóðîðò Ñîñíîâêà, ñàíàòîðèè, äîìà îòäûõà.

 ×. î. ðàçâèò òóðèçì. Îñí. òóðèñòñêèå ìàðøðóòû â ð-íàõ Êðåìåí÷óãñêîãî âîäîõðàíèëèùà, Äíåïðà, à òàêæå ãîðîäîâ ×åðêàññû, Êàíåâ, Êîðñóíü-Øåâ÷åíêîâñêèé, Óìàíü (äåíäðîïàðê "Ñîôèåâêà"). Òóðáàçû â ×åðêàññàõ, Êàíåâå è íà Êðåìåí÷óãñêîì âîäîõðàíèëèùå.

Ô. H. Íåïèéâîäà, Â. Ê. Ñîá÷åíêî.

×ÅÐÊÀÑÑÊÈÅ, êíÿæåñêèé ðîä, ñëîæèâøèéñÿ â Ðîññèè âî 2-é ïîë. 16 â. ïðåèì. èç âûåçæàâøèõ íà ðóñ. ñëóæáó ïðàâèòåëåé Êàáàðäû - ïîòîìêîâ Èäàðà-ìóðçû. ôàìèëèÿ ×. ïðîèñõîäèò îò ðàñïðîñòðàí¸ííîãî â ñð.-âåê. ëèò-ðå íàèìåíîâàíèÿ ñåâ.-êàâê. àäûãñêèõ ïëåì¸í (ñì. Àäûãè) - ÷åðêåñîâ (÷åðêàñû - â ðóñ. äîêóìåíòàõ).  Ðîññèè ×. ïðèíàäëåæàëè ê âåðõóøêå ïðàâÿùåãî êëàññà.  16- 19 ââ. íàèáîëåå èçâåñòíû: Ìèõàèë (Ñàëòàíêóë) Òåìðþêîâè÷ - ñûí êàáàðäèíñêîãî êí. Òåìðþêà Èäàðîâè÷à, âûåõàë â Ðîññèþ â 1558, óäåëüíûé ñëóæèëûé êíÿçü è âèäíûé îïðè÷íèê. Ïîãèá (èëè êàçí¸í) â 1571. Íà åãî ñåñòðå Ìàðèè (Êó÷åíåé) Òåìðþêîâíå âòîðûì áðàêîì áûë æåíàò öàðü Èâàí IV. Êí. Äìèòðèé (Êàíøîâ) Ìàìñòðþêîâè÷ ×. (óì. 1651), íà ðóñ. ñëóæáå ñ êîí. 16 â., â 1608-10 áëèçîê ê Ëæåäìèòðèþ II. ×ë. Çåìñêîãî ñîáîðà 1613, áîÿðèí ñ 1619. Ñ åãî ñìåðòüþ ïðåêðàòèëàñü ëèíèÿ Òåìðþêà. Áîðèñ (Xoðîøàé) Êàìáóëàòîâè÷ (óì. 1601) - ïëåìÿííèê Òåìðþêà. Íà ðóñ. ñëóæáå ñ 1577; â 80-õ - íà÷. 90-õ ãã. 16 â. çàíèìàë âûñøèå âîåí. äîëæíîñòè. Áîÿðèí ñ 1591. Êí. Èâàí Áîðèñîâè÷ - ñûí ïðåäøåñòâóþùåãî. Áîÿðèí ñ 1613. Ïîñëå ñìåðòè Ôèëàðåòà (1633) ôàêòè÷. ãëàâà ðóñ. ïð-âà.  ýòîé âåòâè ×. â ñåð. 17 â. èçâåñòåí ßêîâ (Óðóñêàí) Êóäåíåòîâè÷ (ñì. ß. Ê. ×åðêàññêèé). Ñî ñìåðòüþ Àëåêñåÿ Ìèõàéëîâè÷à â 1742 ýòà âåòâü ðîäà ïðåñåêëàñü. Êí. Ãðèãîðèé (Ñóí÷àëåé) Ñóí÷àëååâè÷ ×., â Ìîñêâå ñ 1642, ñ 1657 - áîÿðèí; â 1660-63 - âîåâîäà â Àñòðàõàíè (óáèò â ñâîåé âîò÷èíå â 1672). Åãî âíóê Ìèõàèë Àëåãóêîâè÷ (óì. â 1-é ÷åòâ. 18 â.) - áîÿðèí ñ 1677, çàíèìàë âèäíîå ïîëîæåíèå ïðè Ïåòðå I. Âíóê Ìèõàèëà ϸòð Áîðèñîâè÷ (óì. 1768) ïðè èìï. Åëèçàâåòå áûë ìîåê, ãóáåðíàòîðîì. Ïîòîìêîì Ìèõàèëà Àëåãóêîâè÷à áûë Âëàäèìèð Àëåêñàíäðîâè÷ ×åðêàññêèé (1824- 1878).

Ñóùåñòâîâàëè òàêæå âåòâè êíÿçåé ×., íå ïðèíàäëåæàâøèõ ê ïîòîìêàì Èäàðà: êí. Âàñèëèé (Êàçûé) Êàðäàíóêîâè÷ èç ðîäà àáàçèíñêèõ ìóðç (â Ðîññèè ñ êîí. 70-õ ãã. 16 â., ñëóæèëûé óäåëüíûé êíÿçü); Àãàìàøóêîâû-×. (ñ ñåð. 16 äî ñåð. 17 ââ., èç ðîäà áåñëåíååâñêèõ êíÿçåé); Åãóïîâû-×. (ñ íà÷. 17 äî ñåð. 19 ââ.); Áåêîâè÷è-×., ðîäîíà÷àëüíèêîì ê-ðûõ (â êîí. 17 â.) áûë Àëåêñàíäð Áåêîâè÷-×åðêàññêèé, è äðóãèå. Â. Ä. Íàçàðîâ.

×ÅÐÊÀÑÑÊÈÉ Àáðàì Ìàðêîâè÷ [25.6 (7.7).1886, Áåëàÿ Öåðêîâü,-30.11.1967, Àëìà-Àòà], ñîâåòñêèé æèâîïèñåö, íàð. êóä. Êàçàõ. CCP (1963). Ó÷èëñÿ â Êèåâñêîì õóäîæåñòâ, ó÷-ùå (1901-09) ó À. À. Ìóðàøêî è ïåòåðá. AX (1909-17) ó H. H. Äóáîâñêîãî, Â. E. Ñàâèíñêîãî, ß. Ô. Öèîíãëèíñêîãî. Îäíèì èç ïåðâûõ íà Óêðàèíå îáðàòèëñÿ ê òåìå æèçíè ñîâåòñêîãî êðåñòüÿíñòâà ("Ó òðàêòîðà", 1928, Ìóçåé óêð. èçîáðàçèò, èñê-âà ÓÑÑÐ, Êèåâ). Ñ 1941 ðàáîòàë â Êàçàõñòàíå. Êàê ïåäàãîã (â 1941-58 ïðåïîäàâàë â Õóäîæåñòâ, ó÷-ùå èì. H. Â. Ãîãîëÿ â Àëìà-Àòå) è õóäîæíèê ñûãðàë âàæíóþ ðîëü â ïîäãîòîâêå ïðîô. êàçàõ, õóäîæíèêîâ. Ñðåäè ó÷åíèêîâ - Ñ. Ìàìáååâ, Ê. Òåëúæàíîâ è äð. Àâòîð ëèðè÷. è ýïè÷. ïåéçàæåé, èñïîëíåííûõ íåðåäêî â ýíåðãè÷íîé, øèðîêîé ìàíåðå ïèñüìà, êîìïîçèö. ïîëîòåí, ïîðòðåòîâ ("Íàðîäíûé àðòèñò Êàçàõñêîé CCP Ê. Ó. Áàäûðîâ", èëë. ñì. ò. 11, òàáë. XIX, ñòð. 160-161), íàòþðìîðòîâ. Íàãðàæä¸í îðäåíîì "Çíàê Ïî÷¸òà" è ìåäàëüþ.

Ëèò.: Ðûáàêîâà È., A. M. ×åðêàññêèé, M., 1966.

×ÅÐÊÀÑÑÊÈÉ Àëåêñåé Ìèõàéëîâè÷ [28.9(8.10). 1680, Ìîñêâà,-4(15). 11.1742, òàì æå], êíÿçü, ðóññêèé ãîñ. äåÿòåëü (ñì. ×åðêàññêèå).  1719-24 ãóáåðíàòîð Ñèáèðè. Ñ 1726 ñåíàòîð è òàéíûé ñîâåòíèê. ×. ñûãðàë çàìåòíóþ ðîëü â óêðåïëåíèè ñàìîäåðæàâèÿ Àííû Èâàíîâíû, âûñòóïèâ ïðîòèâ Âåðõîâíîãî òàéíîãî ñîâåòà.  30-õ ãã. áûë ñòîðîííèêîì òåñíîãî ñîþçà ñ Àíãëèåé.  1740 áûë íàçíà÷åí âåëèêèì êàíöëåðîì - ôàêòè÷. ðóêîâîäèòåëåì ðóñ. âíåø. ïîëèòèêè.

×ÅÐÊÀÑÑÊÈÉ Âëàäèìèð Àëåêñàíäðîâè÷ [2(14).2.1824, ×åðíñêèé ó. Òóëüñêîé ãóá.,-19.2(3.3). 1878, Ñàí-Ñòåôàíî, íûíå Åøèëüê¸é, Òóðöèÿ], ðóññêèé îáùåñòâ, äåÿòåëü, êíÿçü. Îêîí÷èë þðèäè÷. ô-ò Ìîñê. óí-òà (1844). Áûë áëèçîê ê ñëàâÿíîôèëàì, ñîòðóäíè÷àë â æóðí. "Ðóññêàÿ áåñåäà". Êàê ÷ëåí Òóëüñêîãî ãóá. ê-òà è Ðåäàêöèîííûõ êîìèññèé ïðèíèìàë àêòèâíîå ó÷àñòèå â ïîäãîòîâêå îòìåíû êðåïîñòíîãî ïðàâà, ñòîðîííèê íàäåëåíèÿ êðåñòüÿí çåìë¸é çà âûêóï.  1861-63 ìèðîâîé ïîñðåäíèê Òóëüñêîé ãóá., äî 1866 ãë. äèðåêòîð ïðàâèòåëüñòâåííîé êîìèññèè âíóòð. è äóõîâíûõ äåë Öàðñòâà Ïîëüñêîãî. Âìåñòå ñ H. À. Ìèëþòèíûì è Þ. Ô. Ñàìàðèíûì ðàçðàáîòàë çàêîí î ïðåäîñòàâëåíèè â ñîáñòâåííîñòü êðåñòüÿíàì â Ïîëüøå íàõîäèâøèõñÿ â èõ ïîëüçîâàíèè çåìåëü.  íà÷. 70-õ ãã. ìîñê, ãîð. ãîëîâà, èíèöèàòîð ïîäà÷è ëèáåðàëüíîãî àäðåñà Àëåêñàíäðó II. Âî âðåìÿ ðóñ.-òóð. âîéíû 1877-78 óïîëíîìî÷åííûé Êðàñíîãî Êðåñòà ïðè äåéñòâóþùåé àðìèè è çàâ. ãðàæä. ÷àñòüþ â Áîëãàðèè. Ëèò.: Òðóáåöêàÿ Î., Ìàòåðèàëû äëÿ áèîãðàôèè êíÿçÿ Â. À. ×åðêàññêîãî, ò. 1, M., 1901; Êíÿçü Â. À. ×åðêàññêèé, åãî ñòàòüè, åãî ðå÷è è âîñïîìèíàíèÿ î í¸ì, M., 1879. Ï. À. Çàéîí÷êîâñêèé.

×ÅÐÊÀÑÑÊÈÉ ßêîâ (Óðóñêàí) Êóäåíåòîâè÷ [ã. è ìåñòî ðîæä. íåèçâ.,- óì. 8(18).7.1666, Ìîñêâà], ãîñ., ïîëèòè÷. è âîåí. äåÿòåëü â Ðîññèè 17 â., áîÿðèí ñ 1645, îäèí èç áîãàòåéøèõ çåìåëüíûõ ñîáñòâåííèêîâ. Ïðîèñõîäèë èç êàáàðä. êíÿçåé (ñì. ×åðêàññêèå), âûåõàë íà Ðóñü è êðåñòèëñÿ â 1624. Ó÷àñòâîâàë â áîðüáå çà âëàñòü â 1648 âî ãëàâå áîÿðñêîé ãðóïïèðîâêè, âðàæäåáíîé Á. È. Ìîðîçîâó. Ïîñëå ññûëêè ïîñëåäíåãî (12 èþíÿ 1648) ñòàë ãëàâîé ïð-âà, íî ïî âîçâðàùåíèè Ìîðîçîâà â Ìîñêâó (26 îêò. 1648) áûë îòñòðàí¸í îò âñåõ äîëæíîñòåé. Ïðèíèìàë àêòèâíîå ó÷àñòèå â ðóññêî-ïîëüñêîé (1654-67) è ðóññêî-øâåäñêîé (1656- 1658) âîéíàõ.

×ÅÐÊÀÑÑÊÎÅ, ïîñ¸ëîê ãîð. òèïà â Âîëüñêîì ð-íå Ñàðàòîâñêîé îáë. ÐÑÔÑÐ. Ðàñïîëîæåí â 15 êì îò æ.-ä. ñò. ×åðíàâêà (íà ëèíèè Ñàðàòîâ - Ñûçðàíü). Ïðîìêîìáèíàò, ìåõëåñõîç. Ïëîäîïèòîìíèê.

×ÅÐÊÀÑÑÊÎÅ, ïîñ¸ëîê ãîð. òèïà â Ñëàâÿíñêîì ð-íå Äîíåöêîé îáë. ÓÑÑÐ. Ðàñïîëîæåí âáëèçè æ.-ä. ñò. Øèäëîâñêàÿ (íà ëèíèè Ñëàâÿíñê - Ëîçîâàÿ). Meëîèçâåñòêîâûé çàâîä; êîíñåðâíûé öåõ Ñëàâÿíñêîãî ïèùåêîìáèíàòà.

×ÅÐÊÀÑÑÛ, ãîðîä, öåíòð ×åðêàññêîé îáë. ÓÑÑÐ. Óçåë æåëåçíûõ è øîññåéíûõ äîðîã; ïîðò íà ïðàâ. áåðåãó Êðåìåí÷óãñêîãî âîäîõðàíèëèùà. Íàñ. 229 òûñ. ÷åë. (1977; 52 òûñ. â 1939, 85 òûñ. â 1959, 158 òûñ. â 1970).  ×.- 2 ãîð. ð-íà. Èçâåñòíû ñ 1394 â ñîñòàâå Êèåâñêîãî êíÿæåñòâà, ïîäâëàñòíîãî Ëèòâå. Ïîñëå Ëþáëèíñêîé óíèè 1569 çàõâà÷åíû Ïîëüøåé. Íàñåëåíèå íåîäíîêðàòíî ó÷àñòâîâàëî â êðåñò.-êàçàöêèõ âîññòàíèÿõ 16- 17 ââ., ïîääåðæèâàëî Á. Õìåëüíèöêîãî. Ñ 1648 - öåíòð ×åðêàññêîãî êàçà÷üåãî ïîëêà. Ïî Àíäðóñîâñêîìó ïåðåìèðèþ 1667 îñòàëèñü çà Ïîëüøåé. Ñ 1793 â ñîñòàâå Ðîññ. èìïåðèè; ñ 1795 óåçäíûé ãîðîä, ñ 1797 â Êèåâñêîé ãóá. Ñîâ. âëàñòü óñòàíîâëåíà 16(29) ÿíâ. 1918. Âî âðåìÿ Ãðàæäàíñêîé âîéíû çàõâàòûâàëèñü íåì. âîéñêàìè è äåíèêèíöàìè. Ñîâ. âëàñòü âîññòàíîâëåíà â äåê. 1919. Ñ 1932 ðàéîííûé öåíòð Êèåâñêîé îáë. Ñ 22 àâã. 1941 ïî 14 äåê. 1943 ×. áûëè îêêóïèðîâàíû íåì.-ôàø. âîéñêàìè. Ñ 1954 - îáëàñòíîé öåíòð. Îñí. îòðàñëè ïðîì-ñòè: ìàøñòðîèòåëüíàÿ (îáîðóäîâàíèå äëÿ ïèù. ïðîì-ñòè), õèì. (õèìêîìáèíàò; ç-äû õèì. âîëîêîí è íèòåé, õèì. ðåàêòèâîâ), ë¸ãêàÿ (êîìáèíàò ø¸ëêîâûõ òêàíåé; ôàáðèêè: ãèãðîñêîïè÷. âàòû; òðèêîòàæíàÿ; øâåéíàÿ- øâåéíîãî ïðîèçâîäñòâ, îáúåäèíåíèÿ), ïèùåâàÿ (ñàõàðî-ðàôèíàäíûé, ìîëîêîçàâîä, ïèâîâàðåííûé çàâîä; êîíå, è ìÿñíîé êîìáèíàòû).  ïîñëåâîåííûå ãîäû ñîîðóæåíû çàâîäû: òåëåãð. àïïàðàòóðû, ñèëèêàòíîãî êèðïè÷à, ñòðîèò.ìàøèí è ìåõàíèçìîâ, äîìîñòðîèòåëüíûé êîìáèíàò è äð.; ðåêîíñòðóèðîâàíû ïðåäïðèÿòèÿ ïèùåâîé, ë¸ãêîé, õèìè÷åñêîé, ìåòàëëîîáðàáàòûâàþùåé ïðîì-ñòè è ïðîì-ñòè ñòðîéìàòåðèàëîâ.

Ãîðîä ñîõðàíÿåò ðåãóëÿðíóþ ïëàíèðîâêó (1828, àðõ. Â. È. Ãåñòå).  ñîâ. âðåìÿ çàñòðîåí ìíîãîýòàæíûìè æèëûìè äîìàìè è êðóïíûìè îáùåñòâ, çäàíèÿìè: Äîì Ñîâåòîâ (1959, àðõ. Â. È. Øòîêìàí), æ.-ä. âîêçàë (1965, àðõ. Ë. M. ×óïðèí è äð.), ìóç.-äðàìàòè÷. òåàòð èì. T. Ã. Øåâ÷åíêî (1964), ãîñòèíèöà "Òóðèñò" (1970, àðõ. H. Á. ×ìóòèíà è äð., èíæ. À. Â. Ëîçîâñêèé), êðûòûé ðûíîê (1971) è äð.; ïàì. Â. È. Ëåíèíó (1969, ñêóëüïòîð Ê. À. Êóçíåöîâ), T. Ã. Øåâ÷åíêî (1964, ñêóëüïòîðû M. Ê. Âðîíñêèé, À. Ï. Îëåéíèê), ìîíóìåíò âå÷íîé Ñëàâû (1975, ñêóëüïòîðû Ã. H. Êàëü÷åíêî, Ý. M. Êóíöåâè÷, Á. Ï. Ìèêèòåíêî, àðõ. À. Ô. Èãíàùåíêî, À. Ñ. Ðåíüêàñ).

 ×.- ïåä. èí-ò, îáùåòåõíè÷. ô-ò Êèåâñêîãî èíæåíåðíî-ñòðîèò. èí-òà; òåõíèêóìû: ýëåêòðèôèêàöèè è ñ.-õ. ñòð-âà.

×åðêàññû. Óëèöà Øåâ÷åíêî.

ôèíàíñîâûé, ñîâ. òîðãîâëè, êîîï., ó÷-ùà: ìåä., ìóç., ïîæàðíî-òåõíè÷åñêîå. Ìóç.-äðàìàòè÷. è êóêîëüíûé òåàòðû, ôèëàðìîíèÿ, ïëàíåòàðèé. Êðàåâåä÷. ìóçåé.

×ÅÐÊÅÇ, êóñòàðíèê ñåì. ìàðåâûõ èç ðîäà ñîëÿíêà.

×ÅÐÊÅÑÊÀ, ðóñ. íàçâ. âåðõíåé ìóæñêîé îäåæäû, ðàñïðîñòðàí¸ííîé â ïðîøëîì ó MH. íàðîäîâ Êàâêàçà (ãðóçèíû, ÷åðêåñû, àáõàçû, öàõóðû è äð.); áûëà çàèìñòâîâàíà òåðñêèìè è êóáàíñêèìè êàçàêàìè.

×.- ðàñïàøíîé îäíîáîðòíûé êàôòàí áåç âîðîòà, èç äîìîòêàíîãî èëè ôàáðè÷íîãî ñóêíà, ÷àùå âñåãî ÷¸ðíîãî, áóðîãî èëè ñåðîãî. Îáû÷íî íåìíîãî íèæå êîëåí, êðîèòñÿ â òàëèþ, ñî ñáîðàìè è ñêëàäêàìè, ïîäïîÿñûâàåòñÿ óçêèì ðåìí¸ì. Ðóêàâà äëèííûå, øèðîêèå. Ïî îáåèì ñòîðîíàì ãðóäè íà ×. íàøèâàþòñÿ ãàçûðè - êîæàíûå ãí¸çäà äëÿ äåðåâÿííûõ òðóáî÷åê, êóäà ðàíüøå âêëàäûâàëèñü ðóæåéíûå ïàòðîíû (ïî 4-8 øò. ñ êàæäîé ñòîðîíû). Ñîõðàíÿåòñÿ â îñíîâíîì êàê ïàðàäíàÿ îäåæäà íà ïðàçäíèêàõ, ïðè âûñòóïëåíèÿõ õóäîæåñòâ, ñàìîäåÿòåëüíîñòè è ò. ï.

×ÅÐÊÅÑÑÊ (â 1825-1931-ñòàíèöà Á àòàëïàøèíñêàÿ, â 1931 - 39 - ã. Áàòàëïàøèíñê), ãîðîä, öåíòð Êàðà÷àåâî-×åðêåññêîé ÀÎ Ñòàâðîïîëüñêîãî êðàÿ ÐÑÔÑÐ. Ðàñïîëîæåí íà ïðàâ. áåðåãó ð. Êóáàíü. Æ.-ä. ñòàíöèÿ íà âåòêå Íåâèííîìûññêàÿ - Äæåãóòà, îòõîäÿùåé îò ëèíèè Àðìàâèð - Áàêó. 85 òûñ. æèò. â 1977 (29 òûñ. â 1939, 42 òûñ. â 1959, 67 òûñ. â 1970). Îñí. â 1804 êàê âîåí. óêðåïëåíèå íà Êóáàíñêîé ïîãðàíè÷íîé ëèíèè, íà òîì ìåñòå, ãäå â 1790 ðóñ. âîéñêà îäåðæàëè ïîáåäó íàä òóð. âîåíà÷àëüíèêîì Áàòàë-ïàøîé. Ñ 1860 - àäì. öåíòð óåçäà (ñ 1886 - îòäåëà) Êóáàíñêîé îáë. ×.- íà÷àëüíûé ïóíêò Âîåííî-Ñóõóìñêîé äîðîãè (ñòðîèëàñü â 1828-78). Ñ 1922 öåíòð Êàðà÷àåâî-×åðêåññêîé àâòîíîìíîé îáëàñòè. Ðàçâèòà ìàø.-ñòðîèò., õèìè÷., ýëåêòðîòåõíè÷., ñòðîéìàòåðèàëîâ, ë¸ãêàÿ è ïèù. ïðîì-ñòü. 3-äû: õîëîäèëüíîãî ìàøèíîñòðîåíèÿ, õèìè÷., ðåçèíîòåõíè÷. èçäåëèé, íèçêîâîëüòíîé àïïàðàòóðû, öåìåíòíûé.  ×.- ôèëèàë Ñòàâðîïîëüñêîãî ïîëèòåõíè÷. èí-òà; àâòîìîáèëüíî-äîðîæíûé òåõíèêóì, ïåä., ìåä. è ìóç. ó÷-ùà. ÍÈÈ ýêîíîìèêè, èñòîðèè, ÿçûêà è ëèò-ðû. Êðàåâåä÷. ìóçåé. Äðàìàòè÷. òåàòð.

Ëèò.: Á ó ð à å â P. À., ×åðêåññê. Ýêîíîìèêî-ãåîãðàôè÷åñêèé î÷åðê, ×åðêåññê, 1969.

×ÅÐÊÅÑÑÊÀß ËÈÒÅÐÀÒÓÐÀ, ñì. Êàðà÷àåâî-×åðêåññêàÿ àâòîíîìíàÿ îáëàñòü, Ëèòåðàòóðà.

×ÅÐÊÅÑÛ, îáùåå íàèìåíîâàíèå àäûãîâ, ïîÿâèâøååñÿ â ïèñüì. èñòî÷íèêàõ â 13 â. è óïîòðåáëÿâøååñÿ â ðóññêîé ëèòåðàòóðå âïëîòü äî ïåðâûõ ëåò Ñîâåòñêîé âëàñòè. ×. â ÑÑÑÐ (39,8 òûñ. ÷åë.; 1970, ïåðåïèñü) íàç. àäûãñêîå íàñåëåíèå Êàðà÷àåâî-×åðêåññêîé ÀÎ (â ò. ÷. ïîòîìêè êàáàðäèíöåâ, ïåðåñåëèâøèõñÿ íà Êóáàíü â 1-é òðåòè 19 â.). ×. ãîâîðÿò íà êàáàðäèíî-÷åðêåññêîì ÿç., îòíîñÿùåìñÿ ê àáõàçî-àäûãñêîé ãðóïïå êàâêàçñêèõ ÿçûêîâ. ×. èìåíóþò ñåáÿ òàêæå ïîòîìêè ïåðåñåëèâøèõñÿ â 19 â. â Òóðöèþ êàâê. ãîðöåâ - àäûãîâ, àáõàçîâ, îñåòèí è äð. (íûíå æèâóò â Òóðöèè, Ñèðèè è äð. ñòðàíàõ Áë. Âîñòîêà, îê. 150 òûñ. ÷åë.).  çàðóáåæíîé ëèò-ðå ýòíîíèì ×. äî ñèõ ïîð åù¸ óïîòðåáëÿåòñÿ äëÿ îáîçíà÷åíèÿ âñåõ àäûãîâ.

Ëèò.: Î÷åðêè èñòîðèè Êàðà÷àåâî-×åðêåñèè, ò. 1, [Ñòàâðîïîëü], 1967; Íàðîäû Êàâêàçà, ò. 1, M., 1960.

×ÅÐËÀÊ, ïîñ¸ëîê ãîð. òèïà, öåíòð ×åðëàêñêîãî ð-íà Îìñêîé îáë. ÐÑÔÑÐ. Ïðèñòàíü íà ïðàâ, áåðåãó ð. Èðòûø. Ðàñïîëîæåí â 41 êì îò æ.-ä. ñò. ×åðëàê è â 140 êì ê Þ.-Â. îò Îìñêà. Îòäåëåíèå Îìñêîãî ìÿñîêîìáèíàòà.

×ÅÐÌÀÊ, ×åðìàê-Çåéçåíåãã (Tschermak-Seysenegg) Ãóñòàâ (19.4.1836, Ëèòòàó, áëèç Îëüìþöà,-4.5.1927, Âåíà), àâñòðèéñêèé ìèíåðàëîã è ïåòðîãðàô, äåéñòâèò. ÷ë. ÀÍ â Âåíå (1875). Îêîí÷èë Âåíñêèé óí-ò, äîêòîð ôèëîñîôèè (1860), ñ 1861 ïðåïîäàâàòåëü (ïðîô. â 1868- 1906), äèðåêòîð Ìèíåðàëîãè÷. êàáèíåòà (1868-77) Âåíñêîãî óí-òà. Îñí. òðóäû ïî ìèíåðàëîãèè ñëîæíûõ ñèëèêàòîâ (ïîëåâûõ øïàòîâ, ïèðîêñåíîâ, àìôèáîëîâ, õëîðèòîâ, ñëþä è äð.). ×. âûÿñíèë äâîéñòâåííóþ ðîëü àëþìèíèÿ â ñèëèêàòàõ, èçó÷àë ÿâëåíèÿ èçîìîðôèçìà; èññëåäîâàë ìåòåîðèòû è ïðåäëîæèë òåîðèþ èõ ãåíåçèñà, ñîãëàñíî ê-ðîé ìåòåîðèòû îáðàçîâàëèñü â ðåçóëüòàòå âóëêàíè÷. âçðûâîâ, ïðîèñõîäÿùèõ íà àñòåðîèäàõ. Àâòîð "Êóðñà ìèíåðàëîãèè" (1881) è îñíîâàòåëü æóðíàëà, âïîñëåäñòâèè íàçâàííîãî åãî èìåíåì, "Tschermaks mineralogische und petrographische Mitteilungen" (ñ 1871).

×.- ïî÷¸òíûé ÷ë. Ïåòåðá. ÀÍ (1912). Èìåíåì ×. íàçâàí ãèïîòåòè÷. ñèëèêàò, âõîäÿùèé â ñîñòàâ ïèðîêñåíîâ (àâãèòîâ).

Ëèò.: Òèõîìèðîâ Â. Â., Âîñêðåñåíñêàÿ H. À., Ïàìÿòíûå äàòû, "Ñîâåòñêàÿ ãåîëîãèÿ", 1961, ¹ 4, ñ. 141 - 42.

H. À. Âîñêðåñåíñêàÿ.

×ÅÐÌÀÊ (Cermak) ßðîñëàâ (1.8.1830, Ïðàãà,-23.4.1878, Ïàðèæ), ÷åøñêèé æèâîïèñåö.  1847-50 ó÷èëñÿ â Ïðàãå, Ìþíõåíå, Àíòâåðïåíå è Áðþññåëå. Ñ 1850-õ ãã. æèë ïðåèì. â Ïàðèæå, ñîâåðøàÿ ïîåçäêè ïî ñòðàíàì Åâðîïû (â 1858 áûë â Äàëìàöèè è ×åðíîãîðèè).
ß. × å ð ì à ê. "Ðàíåíûé ÷åðíîãîðåö".Âàðèàíò 1874. Íàöèîíàëüíàÿ ãàëåðåÿ. Ïðàãà.

Òâîð÷åñòâî ×. ðàçâèâàëîñü îò àêàäåìè÷. ïðè¸ìîâ ê ðåàëèñòè÷. óáåäèòåëüíîñòè, âûñîêîé èäåéíîé íàñûùåííîñòè îáðàçîâ; ïèñàë èñò. êàðòèíû, ïîåâ, ãóñèòñêèì âîéíàì ("Ãóñèòû, çàùèùàþùèå ãîðíûé ïåðåâàë", 1857, Íàö. ãàë., Ïðàãà), æèçíè ñëàâ, íàðîäîâ è èõ áîðüáå çà ñâîáîäó, áûòó íîðìàíäñêèõ ðûáàêîâ, ìíîãî÷èñë. ïåéçàæè. Áûë òàêæå êðóïíûì ïîðòðåòèñòîì, äîñòèãàâøèì â ëó÷øèõ ðàáîòàõ ïðîíèêíîâåííîñòè è ïñèõîëîãè÷. ãëóáèíû ("ß. Ý. Ïóðêèíå", 1857, òàì æå).

Ëèò.: Ñ à ï å ã î È. Ã., ×åðìàê, M., 1957; [MokryF. V.], Jaroslav Cermak, Praha,

×ÅÐÌÀÑÀÍ, ðåêà â Áàøê. ÀÑÑÐ, ëåâûé ïðèòîê ð. Áåëîé (áàñå. Âîëãè). Äë. 186 êì, ïë. áàñå. 3970 êì2. Áåð¸ò íà÷àëî íà Áóãóëüìèíñêî-Áåëåáååâñêîé âîçâ. Ïèòàíèå ïðåèì. ñíåãîâîå. Cp. ðàñõîä âîäû 10 ì3/ñåê. Çàìåðçàåò â íîÿáðå, âñêðûâàåòñÿ â àïðåëå.

×EPMOEB Àáäóë Ìåäæèä Îðöóåâè÷ [3(15).3.1882-1936, Ïàðèæ], ÷å÷åíñêèé áóðæ.-íàöèîíàëèñòè÷. äåÿòåëü â 1917- 1919, íåôòåïðîìûøëåííèê. Îêîí÷èë Íèêîëàåâñêîå êàâàëåðèéñêîå ó÷-ùå (1901), ñëóæèë â êàâàëåðèè, â ò. ÷. â ñîáñòâåííîì êîíâîå Íèêîëàÿ II.  1908 âûøåë â îòñòàâêó. Âî âðåìÿ 1-é ìèðîâîé âîéíû 1914-18 îôèöåð Êàâê. òóçåìíîé êîííîé äèâèçèè (ò. í. "Äèêîé äèâèçèè"). Ïîñëå Ôåâð. ðåâîëþöèè 1917 - îäèí èç îðãàíèçàòîðîâ êîíòððåâîëþö. "Ñîþçà îáúåäèí¸ííûõ ãîðöåâ" è ðóêîâîäèòåëü áóðæ."Òåð-ñêî-Äàãåñòàíñêîãî ïðàâèòåëüñòâà". Ïîääåðæèâàë èíòåðâåíöèþ òóð. âîéñê â Äàãåñòàí. Ïîñëå óñòàíîâëåíèÿ Ñîâ. âëàñòè â Äàãåñòàíå (êîí. 1919)-â ýìèãðàöèè, ãäå ïðîäîëæàë àíòèñîâ. äåÿòåëüíîñòü.

Ëèò.: Àáàçàòîâ M. À., Áîðüáà òðóäÿùèõñÿ ×å÷åíî-Èíãóøåòèè çà Ñîâåòñêóþ âëàñòü Ñ1917-1920), 2 èçä., Ãðîçíûé, 1969.

×EPMÎ3, ãîðîä Èëüèíñêîãî ð-íà Ïåðìñêîé îáë. ÐÑÔÑÐ. Ïðèñòàíü íà áåðåãó Êàìñêîãî âîäîõðàíèëèùà, â 60 êì îò æ.-ä. ñò. Äîáðÿíêà è â 212 êì ê Ñ. îò ã. Ïåðìü. Ñïëàâíîé ðåéä. 3-ä ýëåêòðîóñòàíîâî÷íûõ èçäåëèé. Ñîâõîç ÷×åðìîçñêèé" ìÿñî-ìîëî÷íîãî è çåðíîâîãî íàïðàâëåíèÿ.

×ÅÐÍÀÂÎÄÀ (Cernavoda), ãîðîä íà Þ.-Â. Ðóìûíèè, â óåçäå Êîíñòàíöà, ïîðò íà Äóíàå. 13 òûñ. æèò. (1975). Öåì. ïðîì-ñòü, ïðîèç-âî ìåòèçîâ, âèíîäåëèå. Íà÷àëüíûé ïóíêò êàíàëà Äóíàé - ׸ðíîå ì.

רÐÍÀß, ðåêà â Êðûìó, íà ê-ðîé 4(16) àâã. 1855 âî âðåìÿ Êðûìñêîé âîéíû 1853-56 â 8-12 êì þãî-âîñòî÷íåå Ñåâàñòîïîëÿ ïðîèçîøëî ñðàæåíèå ìåæäó ðóñ. è ñîþçíûìè (àíãë., ôðàíö., ñàðäèíñêèìè è òóð.) âîéñêàìè.  êîí. èþíÿ 1855 èìï. Àëåêñàíäð II ïîòðåáîâàë îò ãëàâíîêîìàíä. ðóñ. Êðûìñêîé àðìèåé ãåí. M. Ä. Ãîð÷àêîâà ðåøèòåëüíûõ íàñòóïàò. äåéñòâèé äëÿ îêàçàíèÿ ïîìîùè Ñåâàñòîïîëþ. 28 èþíÿ (10 èþëÿ) íà âîåí. ñîâåòå áûëî ðåøåíî àòàêîâàòü ïðîòèâíèêà íà ð. ×. Ïîäãîòîâêà ê íàñòóïëåíèþ âåëàñü ìåäëåííî, áåç ñîáëþäåíèÿ ñêðûòíîñòè. Äëÿ íàñòóïëåíèÿ áûëî âûäåëåíî îê. 58 òûñ. ÷åë., â ò. ÷. 10 òûñ. êîííèöû, è 272 îðóäèÿ; ïðîòèâíèê èìåë îê. 60 òûñ. ÷åë. Íàñòóïëåíèå íà÷àëîñü íà ðàññâåòå 4(16) àâã. äâóìÿ êîëîííàìè (ëåâàÿ - ãåí. Ï. Ï. Ëèïðàíäè è ïðàâàÿ - ãåí. H. À. Ðåàäà). Èç-çà ìàëî÷èñëåííîñòè ââåä¸ííûõ â áîé ðóñ. âîéñê, íåñîãëàñîâàííîñòè èõ äåéñòâèé è íåóäîâëåòâîðèò. ðóêîâîäñòâà (ðàçâèòü íàñòóïëåíèå íå óäàëîñü. Ïîäõîäèâøèå ðåçåðâû ââîäèëèñü ïî ÷àñòÿì è íåñëè áîëüøèå ïîòåðè. Ñðàæåíèå ñâåëîñü ê ðàçðîçíåííûì áîÿì, âåñüìà îæåñòî÷¸ííûì íà îòä. ó÷àñòêàõ. Ê 10 ÷ óòðà ðóñ. âîéñêà, ïîòåðÿâøèå ñâ. 8 òûñ. ÷åë., áûëè îòâåäåíû îò ×. Ñîþçíèêè ïîòåðÿëè îê. 2 òûñ. ÷åë. Ïîðàæåíèå íà ×. óõóäøèëî ïîëîæåíèå ðóñ. âîéñê ïîä Ñåâàñòîïîëåì.

"רÐÍÀß ÀÔÐÈÊÀ", òåðìèí, óïîòðåáëÿåìûé âî ôðàíö. íàó÷., ïîëèòè÷. è õóäîæåñòâ, ëèò-ðå ("L'Arrique Noire") äëÿ îáîçíà÷åíèÿ àôð. ñòðàí, íàñåë¸ííûõ íåãðîèäíûìè íàðîäàìè. Ïîÿâèëñÿ âî 2-é ïîë. 19 â., êîãäà ñòàëà ñîçäàâàòüñÿ ôðàíö. êîëîí, èìïåðèÿ â Çàï. è Ýêâàòîðèàëüíîé Àôðèêå.  íåì. íàó÷. ëèò-ðå ("Schwarz-afrika") øèðîêîãî ðàñïðîñòðàíåíèÿ íå ïîëó÷èë.  àíãë, ëèò-ðå óïîòðåáëÿþòñÿ òåðìèíû "Íåãðñêàÿ Àôðèêà" ("Negro Africa"), à òàêæå ÷ Àôðèêà þæíåå Ñàõàðû" ("Africa South of the Sahara"), ê-ðûé ïðîíèêàåò è âî ôðàíêîÿçû÷íóþ ëèò-ðó. Ýòîò æå òåðìèí ïðèíÿò è â ñîâ. ëèò-ðå.

"רÐÍÀß ÄÛÐÀ", êîñìè÷. îáúåêò, âîçíèêàþùèé â ðåçóëüòàòå ðåëÿòèâèñòñêîãî êîëëàïñà ãðàâèòàöèîííîãî ìàññèâíûõ òåë. Êàòàñòðîôè÷. ãðàâèòàö. ñæàòèåì (êîëëàïñîì) ìîæåò çàêàí÷èâàòüñÿ, â ÷àñòíîñòè, ýâîëþöèÿ çâ¸çä, ìàññà ê-ðûõ ê ìîìåíòó ñæàòèÿ ïðåâûøàåò íåê-ðóþ êðèòè÷åñêóþ âåëè÷èíó. Çíà÷åíèå êðèòè÷åñêîé ìàññû òî÷íî íå îïðåäåëåíî è â çàâèñèìîñòè îò ïðèíÿòîãî óðàâíåíèÿ ñîñòîÿíèÿ âåùåñòâà ìåíÿåòñÿ îò 1,5 M äî 3 M (ãäå M - ìàññà Ñîëíöà). Ïðè ëþáîì óðàâíåíèè ñîñòîÿíèÿ âåùåñòâà îáùàÿ òåîðèÿ îòíîñèòåëüíîñòè ïðåäñêàçûâàåò îòñóòñòâèå óñòîé÷èâîãî ðàâíîâåñèÿ äëÿ õîëîäíûõ çâ¸çä â íåñê. ñîëíå÷íûõ ìàññ. Åñëè ïîñëå ïîòåðè óñòîé÷èâîñòè â çâåçäå íå ïðîèñõîäèò îñâîáîæäåíèÿ ýíåðãèè, äîñòàòî÷íîé äëÿ îñòàíîâêè ñæàòèÿ èëè äëÿ ÷àñòè÷íîãî âçðûâà, ïðè ê-ðîì îñòàâøàÿñÿ ïîñëå âçðûâà ìàññà ñòàëà áû ìåíüøå êðèòè÷åñêîé, òî öåíòð, ÷àñòè çâåçäû êîëëàïñèðóþò è çà êîðîòêîå âðåìÿ äîñòèãàþò ãðàâèòàöèîííîãî ðàäèóñà r9. Íèêàêèå ñèëû íå ìîãóò âîñïðåïÿòñòâîâàòü äàëüíåéøåìó ñæàòèþ çâåçäû, åñëè å¸ ðàäèóñ óìåíüøèòñÿ äî r9 (äî ðàäèóñà ò. í. ñôåðû Øâàðöøèëüäà). Îñí. ñâîéñòâî ñôåðû Øâàðöøèëüäà ñîñòîèò â òîì, ÷òî íèêàêèå ñèãíàëû, èñïóñêàåìûå ñ ïîâåðõíîñòè çâåçäû, äîñòèãøåé ýòîé ñôåðû, íå ìîãóò âûéòè íàðóæó. T. î., â ðåçóëüòàòå ãðàâèòàöèîííîãî ñæàòèÿ ìàññèâíûõ çâ¸çä ïîÿâëÿåòñÿ îáëàñòü ïðîñòðàíñòâà-âðåìåíè, èç êîòîðîé íå ìîæåò âûéòè íèêàêàÿ èíôîðìàöèÿ î ôèçè÷åñêèõ ïðîöåññàõ, ïðîèñõîäÿùèõ âíóòðè íå¸.

"×. ä." îáëàäàåò âíåøíèì ãðàâèòàöèîííûì ïîëåì, ñâîéñòâà ê-ðîãî îïðåäåëÿþòñÿ ìàññîé, ìîìåíòîì âðàùåíèÿ è, âîçìîæíî, ýëåêòðè÷. çàðÿäîì, åñëè êîëëàïñèðóþùàÿ çâåçäà áûëà ýëåêòðè÷åñêè çàðÿæåíà. Íà áîëüøèõ ðàññòîÿíèÿõ ïîëå "×. ä." ïðàêòè÷åñêè íå îòëè÷àåòñÿ îò ïîëåé òÿãîòåíèÿ îáû÷íûõ çâ¸çä, è äâèæåíèå äð. òåë, âçàèìîäåéñòâóþùèõ ñ "×. ä." íà áîëüøîì ðàññòîÿíèè, ïîä÷èíÿåòñÿ çàêîíàì ìåõàíèêè Íüþòîíà. Êàê ïîêàçûâàþò ðàñ÷¸òû, ó âðàùàþùåéñÿ "×. ä." âíå å¸ ïîâåðõíîñòè äîëæíà ñóùåñòâîâàòü îáëàñòü, îãðàíè÷. ïîâåðõíîñòüþ ñòàòè÷. ïðåäåëà, - ò. í. ýðãîñôåðà. Ñèëà ïðèòÿæåíèÿ ñî ñòîðîíû "×: ä.", äåéñòâóþùàÿ íà íåïîäâèæíîå òåëî, ïîìåù¸ííîå â ýðãîñôåðó, îáðàùàåòñÿ â áåñêîíå÷íîñòü. Îäíàêî ýòà ñèëà êîíå÷íà, åñëè òåëî îáëàäàåò ìîìåíòîì âðàùåíèÿ, ñîâïàäàþùèì ïî íàïðàâëåíèþ ñ óãëîâûì ìîìåíòîì "×. ä.", ïîýòîìó ëþáûå ÷àñòèöû, îêàçàâøèåñÿ â ýðãîñôåðå, áóäóò âðàùàòüñÿ âîêðóã "×. ä.". Íàëè÷èå ýðãîñôåðû ìîæåò ïðèâåñòè ê ïîòåðå ýíåðãèè âðàùàþùåéñÿ "×. ä.". Ýòî âîçìîæíî, â ÷àñòíîñòè, â òîì ñëó÷àå, åñëè íåê-ðîå òåëî, âëåòåâ â ýðãîñôåðó, ðàñïàäàåòñÿ (íàïð., â ðåçóëüòàòå âçðûâà) îêîëî ïîâåðõíîñòè "×. ä." íà äâå ÷àñòè, ïðè÷¸ì îäíà èç íèõ ïðîäîëæàåò ïàäåíèå íà "×. ä.", à âòîðàÿ âûëåòàåò èç ýðãîñôåðû. Ïàðàìåòðû âçðûâà ìîãóò áûòü òàêèìè, ÷òî ýíåðãèÿ âûëåòåâøåé èç ýðãîñôåðû ÷àñòè áîëüøå ýíåðãèè ïåðâîíà÷àëüíîãî òåëà. Äîïîëíèò, ýíåðãèÿ ïðè ýòîì ÷åðïàåòñÿ èç ýíåðãèè âðàùåíèÿ "×. ä.". Ñ óìåíüøåíèåì ìîìåíòà âðàùåíèÿ "×. ä." ïîâåðõíîñòü ñòàòè÷. ïðåäåëà ñëèâàåòñÿ ñ ïîâåðõíîñòüþ "×. ä." è ýðãîñôåðà èñ÷åçàåò. Áûñòðîå âðàùåíèå êîëëàïñèðóþùåãî òåëà ïðåïÿòñòâóåò îáðàçîâàíèþ "×. ä." âñëåäñòâèå äåéñòâèÿ öåíòðîáåæíûõ ñèë âðàùåíèÿ. Ïîýòîìó "×. ä." íå ìîæåò èìåòü ìîìåíò âðàùåíèÿ áîëüøèé íåê-ðîãî ýêñòðåìàëüíîãî çíà÷åíèÿ. Êàê ïîêàçûâàþò êâàíòîâîìåõàíè÷. ðã.ñ÷¸òû, â ñèëüíîì ãðàâèòàöèîííîì ïîëå "×. ä." ìîãóò ðîæäàòüñÿ ÷àñòèöû - ôîòîíû, íåéòðèíî, ãðàâèòîíû, ýëåêòðîí-ïîçèòðîííûå ïàðû è äð.; â ðåçóëüòàòå"×. ä." èçëó÷àåò êàê ÷¸ðíîå òåëî ñ ýôôåêòèâíîé

òåìïåðàòóðîé
2904-4.jpg

äàæå òîãäà, êîãäà íèêàêîå âåùåñòâî íà íå¸ íå ïàäàåò. Ýíåðãèÿ ýòîãî èçëó÷åíèÿ ÷åðïàåòñÿ èç ýíåðãèè ãðàâèòàö. ïîëÿ "×. ä.", ÷òî ñî âðåìåíåì ïðèâîäèò ê óìåíüøåíèþ ìàññû "×. ä.". Îäíàêî èç-çà íèçêîé ýôôåêòèâíîñòè ïðîöåññû êâàíòîâîãî èçëó÷åíèÿ íåñóùåñòâåííû äëÿ ìàññèâíûõ "×. ä.", âîçíèêàþùèõ â ðåçóëüòàòå êîëëàïñà çâ¸çä. Íà ðàííèõ (ãîðÿ÷èõ è ñâåðõïëîòíûõ) ýòàïàõ ðàçâèòèÿ Âñåëåííîé â íåé èç-çà íåîäíîðîäíîãî ðàñïðåäåëåíèÿ âåùåñòâà ìîãëè îáðàçîâàòüñÿ "×. ä." ñ ðàçëè÷íîé ìàññîé -îò 10-5 ã äî ìàññû Ñîëíöà è áîëüøå.  îòëè÷èå îò "×. ä." - ñêîëëàïñèðîâàâøèõ çâ¸çä ýòè "×. ä." ïîëó÷èëè íàçâ. ïåðâè÷íûõ. Ïðîöåññû êâàíòîâîãî èçëó÷åíèÿ óìåíüøàþò ìàññó "×. ä.", è ê íàñòîÿùåìó âðåìåíè âñå ïåðâè÷íûå "×. ä." ñ ìàññîé ìåíüøå 1015 ã äîëæíû áûëè "èñïàðèòüñÿ". Èíòåíñèâíîñòü è ýôôåêòèâíàÿ òåìï-ðà èçëó÷åíèÿ "×. ä." óâåëè÷èâàþòñÿ ñ óìåíüøåíèåì å¸ ìàññû, ïîýòîìó íà ïîñëåäíåé ñòàäèè (äëÿ ìàññû ïîðÿäêà 3· 109 ã) "èñïàðåíèå" "×. ä." ïðåäñòàâëÿåò ñîáîé âçðûâ ñ âûäåëåíèåì 1030 ýðã çà 0,1 ñåê. Ïåðâè÷íûå "×. ä." ìàññîé áîëüøåé ÷åì 1015 ã îñòàëèñü ïðàêòè÷åñêè íåèçìåííûìè. Îáíàðóæåíèå ïåðâè÷íûõ "×. ä." ïî èõ èçëó÷åíèþ ïîçâîëèëî áû ñäåëàòü âàæíûå âûâîäû î ôèçè÷. ïðîöåññàõ, ïðîòåêàâøèõ íà ðàííèõ ñòàäèÿõ ýâîëþöèè Âñåëåííîé.

Ïîèñêè "×. ä." âî Âñåëåííîé ïðåäñòàâëÿþò ñîáîé îäíó èç àêòóàëüíûõ çàäà÷ ñîâð. àñòðîíîìèè. Ïðåäïîëàãàåòñÿ, ÷òî "×. ä." ìîãóò áûòü íåâèäèìûìè êîìïîíåíòàìè íåê-ðûõ äâîéíûõ çâ¸çäíûõ ñèñòåì. Îäíàêî ýòîò âûâîä íå äîñòîâåðåí, ò. ê. îäíà èç çâ¸çä äâîéíîé ñèñòåìû, áóäó÷è íîðìàëüíîé çâåçäîé, ìîæåò îêàçàòüñÿ íåâèäèìîé íà ôîíå áîëåå ñèëüíîãî ñâå÷åíèÿ âòîðîé êîìïîíåíòû. Äð. ìåòîä îòîæäåñòâëåíèÿ "×. ä." â äâîéíûõ ñèñòåìàõ îñíîâûâàåòñÿ íà èçó÷åíèè ñâå÷åíèÿ âåùåñòâà, ê-ðîå ïåðåòåêàåò ê "×. ä." ñ ñîñåäíåé (îáû÷íîé) çâåçäû. Âáëèçè "×. ä." èç ïåðåòåêàþùåãî âåùåñòâà îáðàçóåòñÿ äèñê, åãî ñëîè äâèæóòñÿ âîêðóã "×. ä." ñ ðàçëè÷íûìè ñêîðîñòÿìè (ñì. ðèñ.). Èç-çà òðåíèÿ ìåæäó ñîñåäíèìè ñëîÿìè âåùåñòâî â äèñêå íàãðåâàåòñÿ äî äåñÿòêîâ ìèëëèîíîâ ãðàäóñîâ, è âíóòðåííèå îáëàñòè äèñêà èçëó÷àþò ýíåðãèþ â ðåíòãåíîâñêîì äèàïàçîíå ýëåêòðîìàãíèòíîãî ñïåêòðà. Àíàëîãè÷íîå èçëó÷åíèå áóäåò ðîæäàòüñÿ è â òîì ñëó÷àå, åñëè íà ìåñòå "×. ä." â äâîéíîé ñèñòåìå áóäåò íàõîäèòüñÿ íåéòðîííàÿ çâåçäà, íî ïîñëåäíÿÿ íå ìîæåò èìåòü ìàññó áîëüøå íåê-ðîãî ïðåäåëüíîãî çíà÷åíèÿ.  ðåçóëüòàòå êîñìè÷. èññëåäîâà-

"׸ðíàÿ äûðà" â äâîéíîé çâ¸çäíîé ñèñòåìå.

íèé îòêðûòî áîëüøîå ÷èñëî èñòî÷íèêîâ ðåíòãåíîâñêîãî èçëó÷åíèÿ â äâîéíûõ çâ¸çäíûõ ñèñòåìàõ. Íàèáîëåå âåðîÿòíûì êàíäèäàòîì â "×. ä." ÿâëÿåòñÿ ðåíòãåíîâñêèé èñòî÷íèê Ëåáåäü X-1. Ìàññà èñòî÷íèêà â ýòîé äâîéíîé ñèñòåìå, ê-ðóþ ìîæíî îöåíèòü èç íàáëþäàåìîé ñêîðîñòè äâèæåíèÿ îïòè÷. çâåçäû ïî îðáèòå è çàêîíîâ Êåïëåðà, ïðåâûøàåò 5 M, ò. å. áîëüøå ïðåäåëüíîãî çíà÷åíèÿ ìàññû äëÿ íåéòðîííîé çâåçäû. Ïðåäïîëàãàåòñÿ òàêæå, ÷òî â ÿäðàõ àêòèâíûõ ãàëàêòèê è êâàçàðàõ ìîãóò íàõîäèòüñÿ ñâåðõìàññèâíûå "×. ä." (M =: 106-108 M ) è íàáëþäàåìàÿ àêòèâíîñòü ýòèõ îáúåêòîâ îáóñëîâëåíà ïàäåíèåì íà "×. ä." îêðóæàþùåãî èõ ãàçà.

Ëèò,: Çåëüäîâè÷ ß. Á., Íîâèêîâ È. Ä., Òåîðèÿ òÿãîòåíèÿ è ýâîëþöèÿ çâ¸çä, M., 1971; Ï å í ð î ó ç Ð., "×åðíûå äûðû", "Óñïåõè ôèçè÷åñêèõ íàóê", 1973, ò. 109, â. 2; Ø ê ë î â ñ ê è è È. Ñ., Çâåçäû: èõ ðîæäåíèå, æèçíü è ñìåðòü, M., 1975; Òîðí Ê., Ïîèñêè ÷åðíûõ äûð, ïåð. ñ àíãë., "Óñïåõè ôèçè÷åñêèõ íàóê", 1976, ò. 118, â. 3;Ôðîëîâ Ï., ×åðíûå äûðû è êâàíòîâûå ïðîöåññû â íèõ, òàì æå; Ø à ê ó ð à H. È., Íåéòðîííûå çâåçäû è "÷åðíûå äûðû" â äâîéíûõ çâåçäíûõ ñèñòåìàõ, M., 1976; Íîâèêîâ È. Ä., ×åðíûå äûðû âî Âñåëåííîé, M., 1977; Ìèçíåð ×., Òîðí Ê., Óèëåð Äæ., Ãðàâèòàöèÿ, ïåð. ñ àíãë., ò. 1-3, M., 1977. H. È. Øàêóðà.

רÐÍÀß ÊÎÑÀÒÊÀ, âîäíîå ìëåêîïèòàþùåå; òî æå, ÷òî ìàëàÿ êîñàòêà.

"רÐÍÀß ÌÀÍÅÐÀ", âèä ãðàâþðû íà ìåòàëëå; òî æå, ÷òî ìåööî-òèíòî.

רÐÍÀß ÌÅÒÀËËÓÐÃÈß, îòðàñëü òÿæ¸ëîé èíäóñòðèè, âêëþ÷àþùàÿ êîìïëåêñ âçàèìîñâÿçàííûõ ïîäîòðàñëåé: ñîáñòâåííî ìåòàëëóðãè÷åñêîå (äîìåííîå, ñòàëåïëàâèëüíîå, ïðîêàòíîå), òðóáíîå è ìåòèçíîå ïðîèç-âà, äîáû÷ó, îáîãàùåíèå è îêóñêîâàíèå ðóäíîãî ñûðüÿ, êîêñîõèìè÷åñêîå ïðîèç-âî; ïðîèç-âî ôåððîñïëàâîâ è îãíåóïîðîâ, äîáû÷ó íåðóäíîãî ñûðüÿ äëÿ ×. ì. è âòîðè÷íóþ îáðàáîòêó ÷¸ðíûõ ìåòàëëîâ. Âàæíåéøèå âèäû ïðîäóêöèè ×. ì.: ãîðÿ÷åêàòàíûé è õîëîäíîêàòàíûé ïðîêàò, ñòàëüíûå òðóáû è ìåòàëëîèçäåëèÿ.

×. ì.- îñíîâà ðàçâèòèÿ áîëüøèíñòâà îòðàñëåé íàð. õ-âà. Íåñìîòðÿ íà áóðíûé ðîñò ïðîäóêöèè õèìè÷. ïðîì-ñòè, öâåòíîé ìåòàëëóðãèè, ïðîì-ñòè ñòðîéìàòåðèàëîâ, ÷¸ðíûå ìåòàëëû îñòàþòñÿ ãë. êîíñòðóêöèîííûì ìàòåðèàëîì â ìàøèíîñòðîåíèè è ñòð-âå. Òàê. óä. âåñ ÷¸ðíûõ ìåòàëëîâ â îáùåì îáú¸ìå êîíñòðóêöèîííûõ ìàòåðèàëîâ, ïîòðåáëÿåìûõ âåäóùèìè îòðàñëÿìè ìàøèíîñòðîåíèÿ ÑÑÑÐ, ïðåâûøàë â 197696%. Îòðàñëü ïîòðåáëÿåò ïðèìåðíî 20% òîïëèâíî-ýíåðãåòè÷. ðåñóðñîâ ñòðàíû.

Íà ïðîòÿæåíèè òûñÿ÷åëåòèé ðàçâèòèå ÷åëîâå÷åñêîãî îáùåñòâà íåðàçðûâíî ñâÿçàíî ñ èñïîëüçîâàíèåì æåëåçà êàê îñí. ìàòåðèàëà äëÿ èçãîòîâëåíèÿ îðóäèé òðóäà. Â. È. Ëåíèí íàçûâàë æåëåçî îäíèì èç ôóíäàìåíòîâ öèâèëèçàöèè, îäíèì èç ãëàâíûõ ïðîäóêòîâ ñîâðåìåííîé ïðîìûøëåííîñòè (ñì. Ïîëè. ñîáð. ñî÷., 5 èçä., ò. 23, ñ. 377).

Ïðîèç-âî æåëåçà íà òåðð. Ðîññèè èçâåñòíî ñ äðåâíåéøèõ âðåì¸í. Æåë. ðóäû ïëàâèëè âíà÷àëå â ñûðîäóòíûõ ãîðíàõ, çàòåì (ïðèìåðíî ñ 9 â.) â ñïåöèàëüíûõ íàçåìíûõ ïå÷àõ-äîìíèöàõ ñ äóòü¸ì ðó÷íûìè ìåõàìè. Çàâîäñêîå ïðîèç-âî ÷óãóíà è æåëåçà íà÷àëîñü â 1632-37, êîãäà áëèç Òóëû áûë ïîñòðîåí ïåðâûé çàâîä ñ äîìåííîé ïå÷üþ, âûïëàâëÿâøåé äî 120 ïóäîâ ÷óãóíà â ñóòêè.  1700 áûëî âûïëàâëåíî îê. 150 òûñ. ïóäîâ ÷óãóíà. Óâåëè÷èâ çà ïåðâóþ ÷åòâåðòü 18 â. åãî âûïëàâêó â 5 ðàç, Ðîññèÿ çàíÿëà ïî ïðîèç-âó ÷¸ðíûõ ìåòàëëîâ 1-å ìåñòî â ìèðå è äî íà÷. 19 â. óäåðæèâàëà åãî. Îäíàêî â ïîñëåäóþùèå ãîäû òåìï ðîñòà ×. ì. ñíèçèëñÿ, è ê 1913 ñòðàíà çàíèìàëà ëèøü 5-å ìåñòî â ìèðå, à å¸ äîëÿ â ìèðîâîé âûïëàâêå ÷óãóíà è ñòàëè ñîñòàâëÿëà 5,3%.

 ðåçóëüòàòå Ãðàæä. âîéíû è âîåí. èíòåðâåíöèè 1918-20 âûïëàâêà ñòàëè â ñòðàíå ñîñòàâëÿëà (1920) ëèøü 4,5% îò óðîâíÿ 1913. Íî óæå ê 1928 îíà äîñòèãëà äîâîåí. óðîâíÿ.  ãîäû äîâîåí. ïÿòèëåòîê ðåêîíñòðóèðîâàíû ñòàðûå è ïîñòðîåíû íîâûå ìåòàëëóðãè÷. ïðåäïðèÿòèÿ, ñîçäàíà óãîëüíî-ìåòàëëóðãè÷. áàçà - Óðàëî-Êóçáàññ. Âñòóïèëè â ñòðîé ãèãàíòû ñîâ. ìåòàëëóðãèè - Ìàãíèòîãîðñêèé è Êóçíåöêèé ìåòàëëóðãè÷. êîìáèíàòû, Êðèâîðîæñêèé, Íîâîòàãèëüñêèé ìåòàëëóðãè÷. ç-äû, ç-äû "Çàïîðîæñòàëü", "Àçîâñòàëü", íîâûå ìàðòåíîâñêèå öåõè íà çàâîäàõ èì. Äçåðæèíñêîãî, Ìàêååâñêîì, "Êðàñíûé Îêòÿáðü", Çëàòîóñòîâñêîì è äð.

Âî âðåìÿ Âåëèêîé Îòå÷åñòâ, âîéíû 1941-45 íåì.-ôàø. çàõâàò÷èêè âûâåëè èç ñòðîÿ çàâîäû, äàâàâøèå îê. 60% îáùåãî ïðîèç-âà ñòàëè â ñòðàíå. Ìåòàëë ôðîíòó ïîñòàâëÿëè ìåòàëëóðãè÷. ïðåäïðèÿòèÿ Óðàëà è Ñèáèðè, ãäå âûïëàâêà ñòàëè ïîâûñèëàñü â 1,5 ðàçà. Ïîñòðîåíû çàâîäû â ðåñïóáëèêàõ, ðàíåå íå èìåâøèõ ñâîåé ×. ì.: â Êàçàõñòàíå è Óçáåêèñòàíå.

Ïîñëå âîéíû â êðàò÷àéøèå ñðîêè áûëè âîññòàíîâëåíû ðàçðóøåííûå ìåòàëëóðãè÷. ç-äû.  50-70-å ãã. ïîñòðîåíû íîâûå êðóïíûå ïðåäïðèÿòèÿ: Îðñêî-Õàëèëîâñêèé è Êàðàãàíäèíñêèé ìåòàëëóðãè÷. êîìáèíàòû, ×åðåïîâåöêèé è Çàïàäíî-Ñèáèðñêèé ìåòàëëóðãè÷. ç-äû, ðÿä êðóïíûõ æåëåçîðóäíûõ ãîðíî-îáîãàòèòåëüíûõ êîìáèíàòîâ, òðóáíûõ, ôåððîñïëàâíûõ, ìåòèçíûõ, îãíåóïîðíûõ è äðóãèõ ïðåäïðèÿòèé. Ìîäåðíèçàöèÿ óñòàðåâøèõ àãðåãàòîâ ïîçâîëèëà ñóùåñòâåííî óâåëè÷èòü èõ ïðîèçâîäèòåëüíîñòü. Íàðÿäó ñî çíà÷èòåëüíûì óâåëè÷åíèåì îáú¸ìîâ ïðîèç-âà çàìåòíî ïîâûñèëîñü êà÷åñòâî è ðàñøèðèëñÿ ñîðòàìåíò ìåòàëëîïðîäóêöèè, îïåðåæàþùèìè òåìïàìè ðàçâèâàëîñü ïðîèç-âî ïðîãðåññèâíûõ âèäîâ ìåòàëëà, äàþùèõ íàèáîëüøèé ýêîíîìè÷. ýôôåêò â íàð. õ-âå: ëèñòîâîãî ïðîêàòà, õîëîäíîêàòàíîãî ëèñòà, õîëîäíîêàòàíîé òðàíñôîðìàòîðíîé ñòàëè, ãíóòûõ ïðîôèëåé, ôàñîííûõ ïðîôèëåé âûñîêîé òî÷íîñòè, íèçêîëåãèðîâàííîé ñòàëè, à òàêæå âûñîêîïðî÷íûõ òðóá, æåë. ïîðîøêîâ, ìåòàëëîêåðàìèêè. Óëó÷øåíèå êà÷åñòâà ìåòàëëîïðîäóêöèè, ðàñøèðåíèå è ñîâåðøåíñòâîâàíèå å¸ ñîðòàìåíòà îáåñïå÷èëè ýêîíîìèþ â íàð. õ-âå â 1971-75 áîëåå 2 ìëí. ò ìåòàëëà.

Ïî îáú¸ìàì ïðîèç-âà áîëüøèíñòâà âàæíåéøèõ âèäîâ ïðîäóêöèè ×. ì. (ñòàëè, ÷óãóíà, æåë. ðóäû, ñòàëüíûõ òðóá, êîêñà, îãíåóïîðîâ) ÑÑÑÐ çàíèìàåò 1-å ìåñòî â ìèðå. (Äèíàìèêà ïðîèç-âà ÷¸ðíûõ ìåòàëëîâ çà 1928-76 îòðàæåíà â òàáë. 1.)  ðåçóëüòàòå ñèñòåìàòè÷. íàðàùèâàíèÿ îáú¸ìîâ ïðîèç-âà ñóùåñòâåííî âîçðîñëà âûïëàâêà ñòàëè íà äóøó íàñåëåíèÿ - ñ 305 êã â 1960 äî 564 êã â 1976.

Òàáë. 1. - Ïðîèçâîäñòâî ÷óãóíà, ñòàëè, ïðîêàòà ÷¸ðíûõ ìåòàëëîâ è ñòàëüíûõ òðóá â ÑÑÑÐ, ìëí. ò
 
 
1928
1940
1960
1970
1976
×óãóí
3,3
14,9
46,8
85,9
105,4
Ñòàëü 
4,8
18,3
65,3
115,9
144,8
Ãîòîâûé ïðîêàò
3,2
11,4
43,7
80,6
101,4
Ñòàëüíûå òðóáû
0,2
1,0
5,8
12,4
16,8

׸ðíûå ìåòàëëû ïðîèçâîäÿòñÿ â ðÿäå ýêîíîìè÷. ð-íîâ ÐÑÔÑÐ (Öåíòð, ×åðíîç¸ìíûé öåíòð, Óðàë, Ïîâîëæüå, Çàï. è Âîñò. Ñèáèðü, Ñåâåðî-Çàïàä, Ä. Âîñòîê), íà Óêðàèíå (Äîíåöêî-Ïðèäíåïðîâñêèé ýêîíîìè÷. ð-í), â Êàçàõñòàíå, Çàêàâêàçüå, Cp. Àçèè, Ïðèáàëòèêå.

Äëÿ ×. ì. õàðàêòåðåí âûñîêèé óðîâåíü êîíöåíòðàöèè ïðîèç-âà, ê-ðàÿ ñâÿçàíà ñ óâåëè÷åíèåì åäèíè÷íîé ìîùíîñòè îòä. àãðåãàòîâ. Ýêñïëóàòèðóþòñÿ: äîìåííàÿ ïå÷ü ïîëåçíûì îáú¸ìîì 5000 ì3(Êðèâîðîæñêèé ìåòàëëóðãè÷. ç-ä), êèñëîðîäíûå êîíâåðòåðû ¸ìêîñòüþ 300-350 ò, òîëñòîëèñòîâîé ñòàí 3600, íåïðåðûâíûå øèðîêîïîëîñíûå ñòàíû ãîðÿ÷åé ïðîêàòêè 2000 ìîùíîñòüþ 6 ìëí. ò â ãîä , 5-êëåòüåâûå ñòàíû õîëîäíîé ïðîêàòêè 1700 ìîùíîñòüþ áîëåå 1 ìëí. òî â ãîä è äð.  îòðàñëè äåéñòâóþò æåëåçîðóäíûå ïðåäïðèÿòèÿ ìîùíîñòüþ (ïî ñûðîé ðóäå) 30 ìëí. ò â ãîä è áîëåå, êðóïíûå òðóáîïðîêàòíûå è ìåòèçíûå ç-äû.

Äëÿ ïðåäïðèÿòèé ×. ì. òèïè÷íû ðàçëè÷íûå ôîðìû êîìáèíèðîâàíèÿ ïðîèçâîäñòâà. Îê. 80% ñòàëè âûïëàâëÿåòñÿ íà ïðåäïðèÿòèÿõ ñ ïîëíûì ìåòàëëóðãè÷. öèêëîì, ñî÷åòàþùèõ äîìåííîå, ñòàëåïëàâèëüíîå è ïðîêàòíîå ïðîèç-âà. Ðÿä ïðåäïðèÿòèé (êîìáèíàòû) èìååò â ñâî¸ì ñîñòàâå, ïîìèìî ñîáñòâåííî ìåòàëëóðãè÷åñêîãî, æåëåçîðóäíîå ïðîèç-âî. ×. ì.- îòðàñëü ñ âûñîêèì óðîâíåì ñïåöèàëèçàöèè. Òàê, íà ñïåöèàëèçèð. ïðåäïðèÿòèÿõ ïðîèçâîäèòñÿ áîëåå 85% ñòàëüíûõ òðóá, 90% òîâàðíîé æåë. ðóäû è ò. ä.

ÑÑÑÐ îáëàäàåò âñåìè íåîáõîäèìûìè ðåñóðñàìè äëÿ ðàçâèòèÿ ×. ì. (ðóäàìè ÷¸ðíûõ è ëåãèðóþùèõ ìåòàëëîâ, òîïëèâîì, ýíåðãîðåñóðñàìè), çàíèìàÿ ïî çàïàñàì è îáú¸ìàì äîáû÷è æåë. ðóäû è äîáû÷è òîâàðíîãî óãëÿ 1-å ìåñòî â ìèðå. Ðàçìåðû äîáû÷è æåë. ðóäû ïîçâîëÿþò íå òîëüêî ïîëíîñòüþ óäîâëåòâîðÿòü ïîòðåáíîñòè îòå÷åñòâåííîé ×. ì., íî è ýêñïîðòèðîâàòü çíà÷èò, êîëè÷åñòâî ðóäíîãî êîíöåíòðàòà, â îñíîâíîì â ñòðàíû- ÷ëåíû ÑÝÂ. ÑÑÑÐ - òàêæå êðóïíåéøèé ïðîèçâîäèòåëü è ýêñïîðò¸ð ìàðãàíöåâûõ è õðîìîâûõ ÐÓÄ. Îñí. çàïàñû æåë. ðóäû ñîñðåäîòî÷åíû â áàññåéíàõ Êóðñêîé ìàãíèòíîé àíîìàëèè è Êðèâîðîæñêîì, â Êàçàõñòàíå, íà Óðàëå, â Ñèáèðè, íà Êîëüñêîì ï-îâå (ñì. Æåëåçîðóäíàÿ ïðîìûøëåííîñòü).

Òîïëèâíàÿ áàçà ×. ì. ïðåäñòàâëåíà ìåñòîðîæäåíèÿìè êîêñóþùèõñÿ óãëåé, ñîñðåäîòî÷åííûìè â îñíîâíîì â Êóçíåöêîì, Äîíåöêîì, Êàðàãàíäèíñêîì è Ïå÷îðñêîì áàññåéíàõ, è ïðèðîäíîãî ãàçà â Åâðîï. ÷àñòè ÑÑÑÐ, Ñèáèðè è Cp. Àçèè.

Ñîâ. ×. ì. èìååò âûñîêèé òåõíè÷. ïîòåíöèàë. Çíà÷èò, ïðîãðåññ äîñòèãíóò â òåõíîëîãèè ïðîèç-âà â îòä. ïîäîòðàñëÿõ è ïåðåäåëàõ ×. ì. Òàê, äîáû÷à æåë. ðóäû â îñíîâíîì âåä¸òñÿ ïðîãðåññèâíûì îòêðûòûì ñïîñîáîì; â êîêñîâîì ïðîèç-âå âíåäðåíû áåçäûìíàÿ çàãðóçêà øèõòû è ñóõîå òóøåíèå êîêñà (ñì. Êîêñîõèìè÷åñêàÿ ïðîìûøëåííîñòü); â äîìåííîì ïðîèçâîäñòâå â ïå÷àõ ñ ïîâûøåííûì äàâëåíèåì ãàçà ïîä êîëîøíèêîì âûïëàâëÿåòñÿ 97%, à ñ âäóâàíèåì ïðèðîäíîãî ãàçà -84% âñåãî ÷óãóíà (1976); â ñòàëåïëàâèëüíîì ïðîèçâîäñòâå ðàñòåò âûïëàâêà ñòàëè â êèñëîðîäíûõ êîíâåðòåðàõ è ýëåêòðîïå÷àõ, âíåäðåíû âíåïå÷íàÿ îáðàáîòêà ñòàëè ïîä âàêóóìîì, ñèíòåòè÷. øëàêàìè, èíåðòíûìè ãàçàìè, ïåðåïëàâíûå ïðîöåññû (ýëåêòðîøëàêîâûé, âàêóóìíî-äóãîâîé, âàêóóìíî-èíäóêöèîííûé, ýëåêòðîííîëó÷åâîé, ïëàçìåííûé); óâåëè÷èâàåòñÿ äîëÿ íåïðåðûâíîé ðàçëèâêè ñòàëè; â ïðîêàòíîì ïðîèçâîäñòâå ýôôåêòèâíî ïðèìåíÿþòñÿ òåðìè÷. îáðàáîòêà ìåòàëëîïðîäóêöèè, ñðåäñòâà íåðàçðóøàþùåãî àâòîìàòè÷. êîíòðîëÿ; â òðóáíîì - ñîâåðøåíñòâóåòñÿ òåõíîëîãèÿ ïðîèç-âà ñâàðíûõ òðóá áîëüøîãî äèàìåòðà, áåñøîâíûõ òðóá (ñì. Òðóáîïðîêàòíîå ïðîèçâîäñòâî, Òðóáíàÿ ïðîìûøëåííîñòü); â ìåòèçíîì ïðîèç-âå âíåäðÿþòñÿ àâòîìàòèçèð. ïîòî÷íûå ëèíèè. Îñóùåñòâëÿåòñÿ ðàçðàáîòêà ïðîì. ñïîñîáîâ ïðÿìîãî ïîëó÷åíèÿ æåëåçà. Âåäóòñÿ ðàáîòû ïî ñîçäàíèþ àâòîìàòèçèð. ñèñòåìû óïðàâëåíèÿ ×. ì.

Áîëüøîå âíèìàíèå â ×. ì. óäåëÿåòñÿ ìåõàíèçàöèè è àâòîìàòèçàöèè ïðîèçâîäñòâ, ïðîöåññîâ, ñîâåðøåíñòâîâàíèþ îðãàíèçàöèè ïðîèç-âà è òðóäà, âîïðîñàì ñîöèàëèñòè÷. ñîðåâíîâàíèÿ. Çà 9-þ ïÿòèëåòêó (1971-75) ïðàêòè÷åñêè âåñü ïðèðîñò îáú¸ìîâ ïðîèç-âà â ×. ì. ïîëó÷åí çà ñ÷¸ò ðîñòà ïðîèçâîäèòåëüíîñòè òðóäà, ò. å. áåç óâåëè÷åíèÿ ÷èñëåííîñòè ðàáîòàþùèõ.

 çàðóáåæíûõ ñîöèàëèñòè÷. ñ ò ð à í à õ ×. ì. òàêæå óñïåøíî ðàçâèâàåòñÿ.  ðåçóëüòàòå íàðàùèâàíèÿ îáú¸ìîâ ïðîèç-âà äîëÿ ñòðàí - ÷ëåíîâ ÑÝ â ìèðîâîé âûïëàâêå ñòàëè (âìåñòå ñ ÑÑÑÐ) âîçðîñëà ñ 24,9% â 1960 äî 28,8% â 1976.  òàáë. 2 ïðèâåäåíû äàííûå î âûïëàâêå ñòàëè â ñòðàíàõ - ÷ëåíàõ ÑÝÂ.

Òàáë. 2. -Âûïëàâêà ñòàëè â ñòðàíàõ - ÷ëåíàõ ÑÝÂ, ìëí. m
 
 
1960
1970
1976
Áîëãàðèÿ
0,3
1.8
2,5
Âåíãðèÿ 
1,9
3,1
3,7
ÃÄР
3,8
5,1
6,7
Êóáà 
 
0,1
0,3
Ïîëüøà 
6,7
11,8
15,6
Ðóìûíèÿ 
1,8
6,5
10,7
×åõîñëîâàêèÿ
6,8
11,5
14,7

Âûïëàâêà ÷óãóíà (1976) è ïðîèç-âî ïðîêàòà ÷¸ðíûõ ìåòàëëîâ (1975) ñîñòàâèëè ñîîòâåòñòâåííî (ìëí. ò): â ×åõîñëîâàêèè 9,5 è 10,0, Ïîëüøå 7,9 è 11,1, Ðóìûíèè 7,4 è 6,8, ÃÄÐ 2,5 è 5,2.

Ñîöèàëèñòè÷. ñòðàíû îêàçûâàþò àêòèâíîå ñîäåéñòâèå ðàçâèâàþùèìñÿ ñòðàíàì â ñîçäàíèè è ðàçâèòèè ×. ì. Ê 1977 ïîñòðîåííûå â öåëîì ðÿäå ñòðàí (â ò. ÷. â Èíäèè, Åãèïòå, Èðàíå) ñ ïîìîùüþ ÑÑÑÐ ìåòàëëóðãè÷. ïðåäïðèÿòèÿ èìåëè ãîäîâóþ ìîùíîñòü (ìëí. ò) ïî ïðîèçâîäñòâó ÷óãóíà 7,2, ñòàëè 5,3, ïðîêàòà 4,1, ïî äîáû÷å æåë. ðóäû 6,7. Ïðîåêòèðóþòñÿ è ñòðîÿòñÿ ìåòàëëóðãè÷. êîìïëåêñû íà 11 - 14 ìëí. ò ñòàëè è ïðîêàòà â ãîä.

 êàïèòàëèñòè÷. ñòðàíàõ ×. ì. íàèáîëåå ðàçâèòà â ÑØÀ è ßïîíèè. Êðóïíûìè ïðîèçâîäèòåëÿìè ÷¸ðíûõ ìåòàëëîâ âûñòóïàþò òàêæå ÔÐÃ, Âåëèêîáðèòàíèÿ, Ôðàíöèÿ, Èòàëèÿ (ñì. òàáë. 3).

Òàáë. 3.- Ïðîèçâîäñòâî ñòàëè â ïðîìûøëåííî ðàçâèòûõ êàïèòàëèñòè÷åñêèõ ñòðàíàõ, ìëí. m
 
 
1960
1970
1976
ÑØÀ
92,1
122
120
ßïîíèÿ
22,1
93,3
107
ÔÐÃ
34,1
45
42,4
Âåëèêîáðèòàíèÿ
24,7
28,3
22,7
Ôðàíöèÿ
17,3
23,8
23,0
Èòàëèÿ 
8.2
17,3
23,3

Ïðîèçâåäåíî ÷óãóíà (1976) è ïðîêàòà ÷¸ðíûõ ìåòàëëîâ (1975) ñîîòâåòñòâåííî (ìëí. ò): â ßïîíèè 86,0 è 86,3, ÑØÀ 79,8 è 72,5, ÔÐà 32,3 è 33,0.

×. ì. â êàïèòàëèñòè÷. ñòðàíàõ õàðàêòåðèçóåòñÿ âûñîêîé ñòåïåíüþ ìîíîïîëèçàöèè ïðîèç-âà. Òàê, íà äîëþ ïÿòè êîìïàíèé â ßïîíèè ïðèõîäèòñÿ 80% âûïëàâêè ñòàëè, â ÑØÀ - îê. 60%; íà äîëþ øåñòè êîìïàíèé â ÔÐà - ñâ. 75% , äâóõ êîìïàíèé âî Ôðàíöèè - 65%, îäíîé â Âåëèêîáðèòàíèè - ñâ. 85% ïðîèç-âà ñòàëè â ñòðàíå (ñì. ׸ðíîé ìåòàëëóðãèè ìîíîïîëèè).

Ìèðîâàÿ âûïëàâêà ñòàëè ñîñòàâèëà (ìëí. ò): ý 1950- 192, â 1965-463, â 1976- 690. ×èñëî ñòðàí, ïðîèçâîäÿùèõ ñòàëü, âîçðîñëî ïðèìåðíî ñ 50 â 1965 äî 65 â 1976. Õàðàêòåðíîé îñîáåííîñòüþ ðàçâèòèÿ ×, ì. ÿâëÿåòñÿ áûñòðûé ðîñò ìàñøòàáîâ ìèðîâîãî ðûíêà ÷¸ðíûõ ìåòàëëîâ. Òàê, ýêñïîðò ìåòàëëîïðîäóêöèè èç ñòðàí -ïðîäóöåíòîâ ÷¸ðíûõ ìåòàëëîâ âîçðîñ â 1965-76 áîëåå ÷åì â 2 ðàçà.

Ëèò.: Ñ ò ð ó ì è ë è í Ñ. Ã., Èñòîðèÿ ÷åðíîé ìåòàëëóðãèè ÑÑÑÐ, ò. 1, M., 1954; ×åðíàÿ ìåòàëëóðãèÿ êàïèòàëèñòè÷åñêèõ ñòðàí, M., 1958; Ìåòàëëóðãèÿ ÑÑÑÐ. 1917 - 1957, ïîä ðåä. È. Ï. Áàðäèíà, ò. 1-2, M., 1958 - 59; ×åðíàÿ ìåòàëëóðãèÿ ÑÑÑÐ, M., 1967; Êàçàíåö È. Ï., ×åðíàÿ ìåòàëëóðãèÿ â äåâÿòîé ïÿòèëåòêå, M., 1972; "Ìèðîâàÿ ýêîíîìèêà è ìåæäóíàðîäíûå îòíîøåíèÿ", 1977, ¹ 8, ïðèëîæåíèå. È. Ï. Êàçàíåö.

רÐÍÀß ÌÎÃÈËÀ, äð.-ðóñ. êóðãàí êîí. 10 â. â ×åðíèãîâå. Âûå. 11ë, îêðóæíîñòü 125 ì. Ðàñêîïàí â 1872-73 Ä. ß. Ñàìîêâàñîâûì. Ñîäåðæàë òðóïîñîææåíèå, âåðîÿòíî, äâóõ çíàòíûõ âîèíîâ ñ ðàáàìè, æåðòâåííûìè æèâîòíûìè, ïîñóäîé, îðóæèåì, îðóäèÿìè, óêðàøåíèÿìè è äð. Ïîñëå êðåìàöèè äëÿ ñîâåðøåíèÿ òðèçíû áûëà âîçâåäåíà ïåðâè÷íàÿ íàñûïü (âûñ. 7 ì), íà âåðøèíó ê-ðîé ïîìåñòèëè êîëü÷óãè è øëåìû (ñíÿòûå ñ êîñòðà), êîò¸ë ñ êîñòÿìè áàðàíà, 2 æåðòâåííûõ íîæà, 2 çîëîòûå âèçàíò. ìîíåòû, áðîíç, èäîëà è 2 òóðüèõ ðîãà. Ñåðåáðÿíûå îêîâêè ðîãîâ óêðàøåíû ÷åêàííûì ðàñòèò, îðíàìåíòîì, íà áîëüøîì ðîãå èçîáðàæåíû ìóæ÷èíà è æåíùèíà ñ ëóêàìè, ñòðåëÿþùèå â ïòèöó, ôàíòàñòè÷. æèâîòíûå è äð. Ïî îêîí÷àíèè òðèçíû êóðãàí áûë äîñûïàí, íà âåðøèíå óñòàíîâëåíà ñòåëà. ×. M. ïðèíàäëåæàëà ïðåäñòàâèòåëÿì äðóæèííûõ âåðõîâ Êèåâñêîé Ðóñè (àíàëîãèÿ - áîëüøèå Ãí¸çäîâñêèå êóðãàíû).

Ëèò.: Ðûáàêîâ Á. À., Äðåâíîñòè ×åðíèãîâà, â ñá.: Ìàòåðèàëû è èññëåäîâàíèÿ ïî àðõåîëîãèè ÑÑÑÐ, ¹ 11, M.- Ë., 1949.

רÐÍÀß ÍÎÆÊÀ, áîëåçíü ñ.-õ. ðàñòåíèé, ïðè ê-ðîé ÷åðíåþò è çàãíèâàþò êîðíåâàÿ øåéêà è îñíîâàíèå ñòåáëÿ. Âîçáóäèòåëè - ïàðàçèòè÷. ãðèáû è áàêòåðèè. ×. í. êàïóñòû (âîçáóäèòåëè - ïàðàçèòè÷. ãðèáû) ïîðàæàåò ðàññàäó êî÷àííîé è öâåòíîé êàïóñòû, êîëüðàáè, ðåäèñ è äð. Áîëüíûå ðàñòåíèÿ òåðÿþò òóðãîð, æåëòåþò è ïîíèêàþò. Âñòðå÷àåòñÿ ïîâñåìåñòíî. Ìåðû áîðüáû: ñìåíà è äåçèíôåêöèÿ ïî÷âû â ïàðíèêàõ, ïðîòðàâëèâàíèå ñåìÿí, ïðàâèëüíûé óõîä çà ðàñòåíèÿìè. ×. í. êàðòîôåëÿ (âîçáóäèòåëè - ïî÷â, áàêòåðèè) ïðîÿâëÿåòñÿ â ïîæåëòåíèè, ñêðó÷èâàíèè è óâÿäàíèè ëèñòüåâ, â ïî÷åðíåíèè è çàãíèâàíèè îñíîâàíèÿ ñòåáëåé áîëüíûõ ðàñòåíèé. Ïðè çàáîëåâàíèè äî öâåòåíèÿ êàðòîôåëü íå îáðàçóåò êëóáíåé, ïðè áîëåå ïîçäíåì - ïîðàæàþòñÿ òàêæå è êëóáíè. Ìåðû áîðüáû: óäàëåíèå áîëüíûõ ðàñòåíèé, ïîñàäêà çäîðîâûõ êëóáíåé, äåçèíôåêöèÿ ñåìåííûõ êëóáíåé. ×. í. ïîðàæàåò òàêæå ìîðêîâü, êîðìîâûå áîáû, ñåÿíöû ïëîäîâûõ êóëüòóð è äð. Î ×. í. ïðîðîñòêîâ è âñõîäîâ ñâ¸êëû ñì. ñò. Êîðíååä ñâ¸êëû.

"רÐÍÀß ÏßÒÍÈÖÀ" (Black Friday; ïÿòíèöà 15 àïð. 1921), äåíü ñðûâà îïïîðòóíèñòè÷. ëèäåðàìè îáúåäèí¸ííîãî ïðîôñîþçà ãîðíÿêîâ, æåëåçíîäîðîæíèêîâ è òðàíñïîðòíèêîâ â Âåëèêîáðèòàíèè ñòà÷êè ñîëèäàðíîñòè æåëåçíîäîðîæíèêîâ è òðàíñïîðòíûõ ðàáî÷èõ ñ ãîðíÿêàìè âî âðåìÿ ëîêàóòà â óãîëüíîé ïðîì-ñòè. Çà íåñê. ÷àñîâ äî íà÷àëà ñòà÷êè ëèäåðû ñîþçà, âîïðåêè ïîçèöèè ðÿäîâûõ ðàáî÷èõ, îáúÿâèëè î å¸ îòìåíå. Âûíóæäåííûå áàñòîâàòü â îäèíî÷êó, ãîðíÿêè ïîòåðïåëè ïîðàæåíèå. Ïîñëå "×. ï." áóðæóàçèÿ ïåðåøëà â øèðîêîå íàñòóïëåíèå ïðîòèâ òðóäÿùèõñÿ, àííóëèðîâàâ ìíîãèå çàâîåâàíèÿ, äîñòèãíóòûå èìè â ïåðèîä ïîäú¸ìà êëàññîâîé áîðüáû 1918-21.

Ëèò.: Ãóðîâè÷ Ï. Â., Ïîäúåì ðàáî÷åãî äâèæåíèÿ â Àíãëèè â 1918 - 1921 ãã., M., 1956.

"רÐÍÀß ÐÀÄÀ", óêðàèíñêàÿ îáùåêàçàöêàÿ ðàäà, ïðîõîäèâøàÿ îê. ã. Íåæèíà 17-18 (27-28) èþíÿ 1663. Ñîçâàíà äëÿ èçáðàíèÿ ãåòìàíà Ëåâîáåðåæíîé Óêðàèíû (íà Ïðàâîáåðåæíîé Óêðàèíå ãåòìàíîì áûë èçáðàí ïîëüñêèé ñòàâëåííèê Ï. Òåòåðÿ). Íàçâ. ïîëó÷èëà â ñâÿçè ñ ó÷àñòèåì â ðàäå, êðîìå êàçàêîâ, "÷åðíè"- êðåñòüÿíñòâà è ãîð. íèçîâ. Ñòàðøèíà âûäâèãàëà íà ãåòìàíñòâî ñâîèõ ïðåäñòàâèòåëåé - Â. H. Çîëîòàðåíêî è ß. Ñ. Ñîìêî. Íî ðÿäîâîå çàïîðîæñêîå êàçà÷åñòâî è ïðåäñòàâèòåëè êðåñòüÿíñòâà è ãîð. áåäíîòû èçáðàëè ãåòìàíîì ïîääåðæàííîãî öàðñêèì ïð-âîì È. M. Áðþõîâåöêîãî, ê-ðûé äàâàë äåìàãîãè÷åñêèå îáåùàíèÿ óìåíüøèòü íàëîãè è îãðàíè÷èòü çàõâàòû çåìåëü ñòàðøèíîé. Íåäîâîëüñòâî íàðîäà êàçàöêîé ñòàðøèíîé âî âðåìÿ âûáîðîâ âûëèëîñü â ðàçãðîì ñòàðøèíñêèõ è êóïå÷åñêèõ äâîðîâ â Íåæèíå è Ïåðåÿñëàâå. Îäíàêî íîâàÿ ñòàðøèíñêàÿ ãðóïïèðîâêà, âîçãëàâëÿâøàÿñÿ Áðþõîâåöêèì, ïðîäîëæàëà óãíåòàòü íàð. ìàññû, ÷òî âûçâàëî â 1666 è 1668 íàð. âîññòàíèÿ íà Ëåâîáåðåæíîé Óêðàèíå ïðîòèâ ñòàðøèíû è öàðñêèõ âîåâîä.

רÐÍÀß ÐÀÑÀ, óñòàðåâøåå è íåòî÷íîå íàçâ. íåãðîèäíîé ðàñû. Ñì. òàêæå ñò. Ðàñû.

רÐÍÀß ÐÅÊÀ, ðåêà â Êèòàå è Âüåòíàìå; ñì. Äà.

רÐÍÀß ÐÓÑÜ, íàçâ. òåððèòîðèè â áàññ, âåðõ, òå÷åíèÿ ð. Íåìàí ñ ãîðîäàìè Ãðîäíî, Íîâãîðîäêîì, Ñëîíèìîì, Heñâèæåì, Çäèòîâîì è äð. Äî 13 â. ×. P. ÷àñòè÷íî âõîäèëà â ñîñòàâ Ïîëîöêîãî êíÿæåñòâà.  40-60-õ ãã. 13 â. íåîäíîêðàòíî íàõîäèëàñü ïîä âëàñòüþ ëèòîâ. êí. Ìèíäîâãà è ãàëèöêî-âîëûíñêèõ êíÿçåé.  14 â. ×. P. íàðÿäó ñ ëèòîâ. çåìëÿìè ñîñòàâëÿëà îñí. ÿäðî Âåëèêîãî êíÿæåñòâà Ëèòîâñêîãî.

רÐÍÀß PÛÁA, ðûáà îòðÿäà ùóêîîáðàçíûõ; òî æå, ÷òî äàëëèÿ.

"רÐÍÀß ÑÌÅÐÒÜ", íàçâ., äàííîå ñîâðåìåííèêàìè ÷óìå, ðàñïðîñòðàíèâøåéñÿ â Åâðîïå â 1347-53. Çà ýòî âðåìÿ ïîãèáëî îê. 25 ìëí. ÷åë. (ïî÷òè ïîëîâèíà íàñåëåíèÿ Åâðîïû); ïàíäåìèÿ ïîâòîðèëàñü, õîòÿ è â ìåíüøèõ ìàñøòàáàõ, â 1361 è 1369. Ñîêðàùåíèå ÷èñëà ðàáî÷èõ ðóê è èõ âçäîðîæàíèå âûçâàëè â ðÿäå ñòðàí èçäàíèå ïðàâèòåëüñòâ, àêòîâ, íàïðàâëåííûõ íà îáåñïå÷åíèå ôåîäàëîâ è ãîð. ïàòðèöèàòà äåø¸âîé ðàáî÷åé ñèëîé ïðè ñîõðàíåíèè ïëàòû çà òðóä íà óðîâíå, ñóùåñòâîâàâøåì äî ÷óìû. Ýòè ìåðû ïîâëåêëè çà ñîáîé óñèëåíèå êëàññîâîé áîðüáû, âûëèâàâøåéñÿ â îòêàç îò íåñåíèÿ ôåîä, ïîâèííîñòåé, áåãñòâî êðåñòüÿí îò ôåîäàëîâ, âîññòàíèÿ.

רÐÍÀß ÕÎËÓÍÈÖÀ, ïîñ¸ëîê ãîð. òèïà â Îìóòíèíñêîì ð-íå Êèðîâñêîé îáë. ÐÑÔÑÐ. Ðàñïîëîæåí íà ð. ׸ðíàÿ Xoëóíèöà (ïðèòîê ð. Âÿòêè), â 47 êì ê Ñ.-Ç. îò æåëåçíîäîðîæíîé ñòàíöèè Ñòàëüíàÿ (íà ëèíèè ßð - Ëåñíàÿ). Ïåðåðàáîòêà äðåâåñèíû.

×EPHÅËÈÖÀ, ïîñ¸ëîê ãîð. òèïà â Ãîðîäåíêîâñêîì ð-íå Èâàíî-Ôðàíêîâñêîé îáë. ÓÑÑÐ. Ðàñïîëîæåí â 27 êì îò æ.-ä. ñò. Ãîðîäåíêà. Ïðåäïðèÿòèÿ ïèùåâîé ïðîì-ñòè.

×ÅÐÍÅÍÈÅ, ðàçíîâèäíîñòü îêñèäèðîâàíèÿ æåëåçíûõ è ñòàëüíûõ èçäåëèé. Ïðèìåíÿåòñÿ äëÿ çàùèòû îò êîððîçèè è â äåêîðàòèâíûõ öåëÿõ. Íàèáîëåå ðàñïðîñòðàí¸í ñïîñîá ïîãðóæåíèÿ èçäåëèé â êîíöåíòðèð. ðàñòâîðû ù¸ëî÷è, ñîäåðæàùèå â êà÷åñòâå îêèñëèòåëÿ íèòðàò èëè íèòðèò íàòðèÿ. Ñ óâåëè÷åíèåì êîíöåíòðàöèè ù¸ëî÷è (ïðè ïðî÷èõ ðàâíûõ óñëîâèÿõ) òîëùèíà îêèñíîé ïë¸íêè âîçðàñòàåò. Òîíêèå ñëîè (20-40 À) ïë¸íêè íå ìåíÿþò âíåø. âèäà ïîâåðõíîñòè è ïðàêòè÷åñêè íå çàùèùàþò ìåòàëë îò êîððîçèè; òîëñòûå (2,5 ìêì) ïë¸íêè, îêðàøåííûå â ÷¸ðíûé ëèáî â ñåðîâàòî-÷¸ðíûé öâåò, èìåþò íèçêóþ ìåõàíè÷. ïðî÷íîñòü. Îïòèìàëüíàÿ òîëùèíà ïë¸íêè 0,6-0,8 ìêì. ×.- ÷àñòíûé ñëó÷àé âîðîíåíèÿ.

×ÅÐÍÅÍÊÎ Êîíñòàíòèí Óñòèíîâè÷ [ð. 11(24).9.1911, ñ. Áîëüøàÿ Òåñü, íûíå Íîâîñ¸ëîâñêîãî ð-íà Êðàñíîÿðñêîãî êðàÿ], ñîâåòñêèé ïàðò, è ãîñ. äåÿòåëü, Ãåðîé Ñîöèàëèñòè÷. Òðóäà (1976). ×ë. ÊÏÑÑ ñ 1931. Ðîä. â êðåñò, ñåìüå. Îêîí÷èë Âûñøóþ øêîëó ïàðò, îðãàíèçàòîðîâ ïðè ÖÊ ÂÊÏ(á) (1945), Êèøèí¸âñêèé ïåä. èí-ò (1953). Ñ 1929 íà êîìñîìîëüñêîé, ñîâ. è ïàðò, ðàáîòå.  1941-43 ñåêðåòàðü Êðàñíîÿðñêîãî êðàéêîìà, â 1945-48- Ïåíçåíñêîãî îáêîìà ïàðòèè. Ñ 1948 çàâ. àãèòïðîïîòäåëîì ÖÊ ÊÏ Ìîëäàâèè.  1956-60 çàâ. ñåêòîðîì îòäåëà àãèòàöèè è ïðîïàãàíäû ÖÊ ÊÏÑÑ.  1960-65 íà÷. ñåêðåòàðèàòà Ïðåçèäèóìà Âåðõ. Ñîâåòà ÑÑÑÐ, â 1965-76 çàâ. îáùèì îòäåëîì ÖÊ ÊÏÑÑ. Ñ 1976 ñåêðåòàðü ÖÊ ÊÏÑÑ. Êàíä. â ÷ë. ÖÊ ÊÏÑÑ ñ 1966. ×ë. ÖÊ ÊÏÑÑ ñ 1971. Êàíä. â ÷ë. Ïîëèòáþðî ÖÊ ÊÏÑÑ ñ 1977. Äåï. Âåðõ. Ñîâåòà ÑÑÑÐ 7-9-ãî ñîçûâîâ. Íàãðàæä¸í 2 îðäåíàìè Ëåíèíà, 3 äð. îðäåíàìè, à òàêæå ìåäàëÿìè. Ïîðòðåò ñòð. 87.